Field-Scale Experiment on Deformation Characteristics and Bearing Capacity of Tunnel-Type Anchorage of Suspension Bridge
Abstract
:1. Introduction
2. Engineering Overview
2.1. Overview of Engineering Site
2.2. Engineering Geological Conditions
3. Field-Scale Experiment
3.1. Test Basis and Site Conditions
3.2. Model Construction and Measuring Point Layout
3.2.1. Layout of Measuring Points
3.2.2. Model Building
3.3. Test Procedure
- Design load test (1P)
- 1.
- Load test. The single cycle method of step loading (unloading) is adopted. Firstly, the apparatus is loaded from zero and added to 1P in 5 steps (P is double the design load, the same below) and then decompressed to 0 in 5 steps. Each stage forms a pressurization and relief cycle. Stability criteria: Read immediately after the load is added, and then every 10 min. When the deformation difference of two consecutive times is less than 0.002 mm, it is considered that the deformation under this level of the load has been stable. The first level load can be applied (unloaded), and the reading method in the unloading process is the same as that in loading. Among them, the most advanced stabilization time is 20 min. If necessary, repeat the above steps 1~2 times, and the interval between the two times shall not be less than 60 min.
- 2.
- Load rheological test. After loading to 1p load in a large cycle step-by-step, keep the load unchanged, and measure the readings of all instruments at 5 min, 10 min, 15 min, 20 min, 25 min, 30 min, 1 h, 2 h, 4 h, 8 h, 16 h, and 24 h, respectively. After 24 h, read twice a day. Rheological stability standard: the difference between two readings in 24 h shall not be greater than 0.002 mm, and the loading duration shall not be less than 5 days.
- Overload test (3.5P, 7P)
- 1.
- Overload test. Using graded loading (unloading) large cycle method, respectively, use 3.5P, 7P overload test each time. The load is applied in 5~7 levels, each level is stabilized for 20 min, and the difference between two readings is not more than 0.002 mm, then unloaded to 0 in 5 levels.
- 2.
- Rheology test. The rheological observations were carried out under 3.5P and 7P loads, respectively, and the observation time and stability criteria were the same as those in Figure 4.
- Destruction test
4. Field-Scale Experiment Results
4.1. Design Load (1P) Test Results
4.1.1. Test Results of Multipoint Displacement Meter
4.1.2. Test Results of Sliding Micrometer
4.1.3. Test Results of Dislocation Meter
4.1.4. Test Results of Strain Gauge
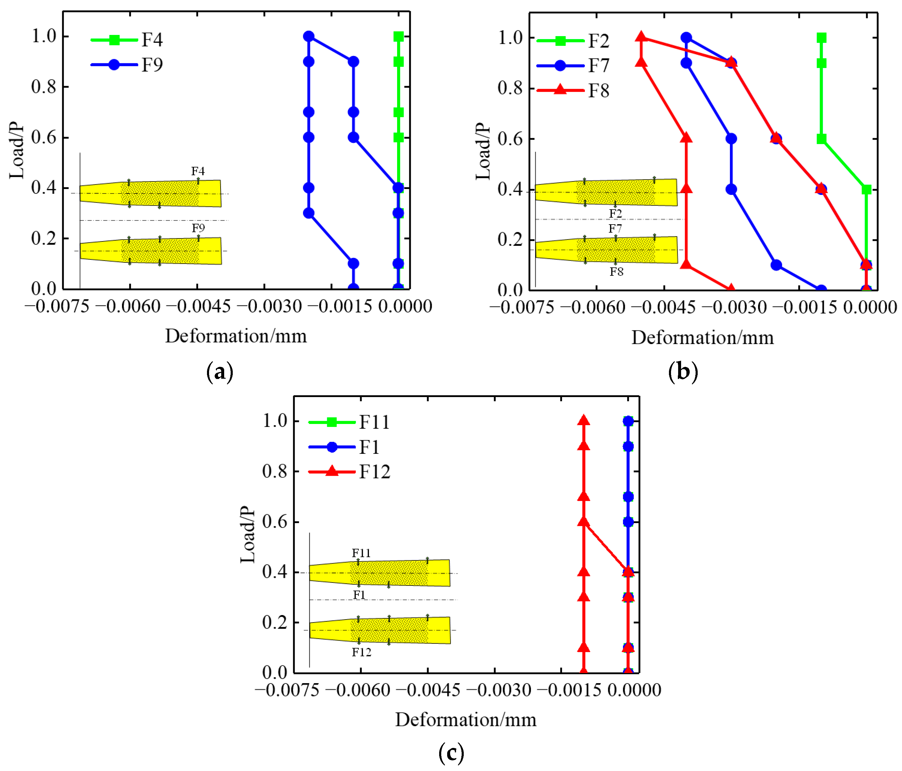
4.2. Stepwise Loading and Failure Test Results
4.2.1. Test Results of Multipoint Displacement Meter
4.2.2. Test Results of Sliding Micrometer
4.2.3. Test Results of Dislocation Meter
4.2.4. Test Results of Strain Gauge
4.3. Rheological Experiment Results
4.3.1. Anchor Plug and Rock Mass of Middle Partition Wall
4.3.2. Contact Surface between Anchor Plug Body and Surrounding Rock
4.3.3. Internal Strain of Anchor Plug
5. Discussion
5.1. Deformation Characteristics of Surrounding Rock of Anchoring Tunnel
5.2. Relative Deformation Characteristics of Anchor Plug and Surrounding Rock
5.3. Tunnel Anchoring Bearing Capacity and Failure Mode
6. Conclusions
- 1.
- The 1:12 scale model experiment and the solid tunnel anchor meet the geometric similarity and geological similarity conditions, and the lithology of the model experiment site is the same as the solid anchor site.
- 2.
- According to the model experiment results, under the design load of 1P, the deformation of the rock mass at the top of the anchor tunnel is the largest, which is 0.005 mm followed by the deformation of the rock mass at the front anchor surface, and the deformation of the rock mass at the rear anchor surface is the smallest, which is 0.001 mm. According to the similarity principle, it is speculated that the maximum deformation of the front anchor surface of the solid anchor is about 1.2 mm under 1P load.
- 3.
- In the step-by-step loading process, the deformation at the back of the anchor plug is the largest, which is 2.76 mm, followed by the middle of the anchor plug, and the deformation at the front of the anchor plug is small, which is 0.33 mm. According to the similarity principle, the bearing capacity of the current design scheme of tunnel anchors on the north side of the Yangtze River of Wujiagang Bridge is determined to be 8P. The failure load test results show that under the action of a large load, the anchor plug body drives the surrounding rock mass to produce pull-out failure, and its potential failure mode is that the anchor plug body and the surrounding rock mass of the anchor plug body are pulled out as a whole.
- 4.
- Rheological test results show that the long-term rheological characteristics of tunnel anchorage are not obvious under the action of design load and step-by-step overload load, and the anchorage can be in a long-term stable state under rheological load. The scheme of tunnel anchorage on the north side of Wujiagang Yangtze River Bridge in Yichang can meet the engineering requirements.
Author Contributions
Funding
Conflicts of Interest
References
- Gosteev, Y.; Konovalov, I.; Lebedev, A.; Obukhovskiy, A.; Salenko, S.; Yashnov, A. Numerical and Experimental Studies of the Use of Fiber-Reinforced Polymers in Long-Span Suspension Bridges. Energies 2022, 15, 1864. [Google Scholar] [CrossRef]
- Zhao, K.; Jiang, N.; Zhou, C.; Li, H.; Cai, Z.; Zhu, B. Dynamic behavior and failure of buried gas pipeline considering the pipe connection form subjected to blasting seismic waves. Thin-Walled Struct. 2022, 170, 108495. [Google Scholar] [CrossRef]
- Wu, T.; Jiang, N.; Zhou, C.; Luo, X.; Li, H.; Zhang, Y. Experimental and numerical investigations on damage assessment of high-density polyethylene pipe subjected to blast loads. Eng. Fail. Anal. 2022, 131, 105856. [Google Scholar] [CrossRef]
- Gwon, S.G.; Choi, D.H. Continuum model for static and dynamic analysis of suspension bridges with a floating girder. J. Bridge Eng. 2018, 23, 04018079. [Google Scholar] [CrossRef]
- Fenerci, A.; Øiseth, O.; Rønnquist, A. Long-term monitoring of wind field characteristics and dynamic response of along-span suspension bridge in complex terrain. Eng. Struct. 2017, 147, 269–284. [Google Scholar] [CrossRef]
- Li, D.; Liu, X.; Wu, X.; Li, W. Three-dimensional elastoplastic analysis on the stability of tunnel anchorage in soft rock. Geo-China 2016, 2016, 166–175. [Google Scholar]
- Larsen, A.; Larose, G.L. Dynamic wind effects on suspension and cable-stayed bridges. J. Sound Vib. 2015, 334, 2–28. [Google Scholar] [CrossRef]
- Chen, S.R.; Wu, J. Modeling stochastic live load for longspan bridge based on microscopic traffic flow simulation. Comput. Struct. 2011, 89, 813–824. [Google Scholar] [CrossRef]
- Chen, G.S.; Xiao, F.; Zatar, W.; Hulsey, J.L. Characterization of nonstationary mode interaction of bridge by considering deterioration of bearing. Adv. Mater. Sci. Eng. 2018, 2018, 5454387. [Google Scholar] [CrossRef] [Green Version]
- Xu, Y.-L.; Zhang, C.D.; Zhan, S.; Spencer, B.F. Multi-level damage identification of a bridge structure: A combined numerical and experimental investigation. Eng. Struct. 2018, 156, 53–67. [Google Scholar] [CrossRef]
- Matarazzo, T.J.; Santi, P.; Pakzad, S.N.; Carter, K.; Ratti, C.; Moaveni, B.; Osgood, C.; Jacob, N. Crowdsensing framework for monitoring bridge vibrations using moving smartphones. Proc. IEEE 2018, 106, 577–593. [Google Scholar] [CrossRef]
- Seo, S.; Park, J.; Lee, S.; Chung, M. Analysis of pull-out behavior of tunnel-type anchorage for suspended bridge using 2-D model experiments and numerical analysis. J. Korean Geotech. Soc. 2018, 34, 61–74. [Google Scholar]
- Yu, Z.; Jun, W.; Manjuan, Y.; Hao, L.; Hongqing, L. Analysis on Bearing Capacity of Tunnel Type Anchorage of a Long Span Suspension Bridge. J. Earth Sci. 2005, 16, 277–282. [Google Scholar]
- Seo, S.; Lim, H.; Chung, M. Evaluation of failure mode of tunnel-type anchorage for a suspension bridge via scaled model experiments and image processing. Geomech. Eng. 2021, 24, 457–470. [Google Scholar]
- Liu, Y.; Ji, F.Q.; Chen, P.S. Analysis of Space-Time Effect for Footage of Tunnel-type Anchorage by Tunneling Cycle. Appl. Mech. Mater. 2014, 501, 1749–1752. [Google Scholar]
- Seo, S.; Chung, M. Analysis of Pull-out Behavior of Tunnel-type Anchorage for Suspended Bridge using Scaled Model experiment. In Proceedings of the 29th International Ocean and Polar Engineering Conference, Honolulu, HI, USA, 16–21 June 2019. [Google Scholar]
- Jiang, N.; Wang, D.; Feng, J.; Zhang, S.-L.; Huang, L. Bearing mechanism of a tunnel-type anchorage in a railway suspension bridge. J. Mt. Sci. 2021, 18, 2143–2158. [Google Scholar] [CrossRef]
- Liu, X.; Han, Y.; Yu, C.; Xiong, F.; Zhou, X.; Deng, Z. Reliability assessment on stability of tunnel-type anchorages. Comput. Geotech. 2020, 125, 103661. [Google Scholar] [CrossRef]
- Zhou, H.; Li, W.; Wang, S.; Wu, X.C.; Wang, Z.H. Scale Model experiment on the Deformation and Failure Mechanism of Tunnel-type Anchorage Surrounded by Soft Rock. J. Yangtze River Sci. Res. Inst. 2016, 33, 67. [Google Scholar]
- Li, Y.; Luo, R.; Zhang, Q.; Xiao, G.; Zhou, L.; Zhang, Y. Model experiment and numerical simulation on the bearing mechanism of tunnel-type anchorage. Geomech. Eng. 2017, 12, 139–160. [Google Scholar] [CrossRef]
- Liu, X.; Han, Y.; Li, D.; Tu, Y.; Deng, Z.; Yu, C.; Wu, X. Anti-pull mechanisms and weak interlayer parameter sensitivity analysis of tunnel-type anchorages in soft rock with underlying weak interlayers. Eng. Geol. 2019, 253, 123–136. [Google Scholar] [CrossRef]
- Lim, H.; Seo, S.; Ko, J.; Chung, M. Effect of Joint Characteristics and Geometries on Tunnel-Type Anchorage for Suspension Bridge. Appl. Sci. 2021, 11, 11688. [Google Scholar] [CrossRef]
- Wang, D.-Y.; Tang, H.; Yin, X.T.; Qin, Y.-Q.; Deng, Q. Uplift Bearing Capacity and Safety Assessment Method of Tunnel-type Anchorage. China J. Highw. Transp. 2018, 31, 95. [Google Scholar]
- Xu, D.; Wu, A.; Lu, B.; Wang, B.; Hu, W.; Xiang, Q.; Wang, S.; Yi, T. Study on Failure Mechanism of Tunnel-Type Anchorage Using Discontinuous Deformation Analysis Method; IOP Conference Series: Earth and Environmental Science; IOP Publishing: Bristol, UK, 2021; Volume 861, p. 032017. [Google Scholar]
- Han, Y.; Liu, X.; Li, D.; Tu, Y.; Deng, Z.; Liu, D.; Wu, X. Model experiment on the bearing behaviors of the tunnel-type anchorage in soft rock with underlying weak interlayers. Bull. Eng. Geol. Environ. 2020, 79, 1023–1040. [Google Scholar] [CrossRef]
- GBT50218-2014; Standard for Engineering Classification of Rock Mass. Standardization Administration of China: Beijing, China, 2014; pp. 4–15.
- Li, N.; Zhou, Y.; Zhao, Y.; Li, G. Analysis of suspension bridge tunnel-type anchorage construction on the stability of surrounding rock. EDP Sci. 2020, 198, 02006. [Google Scholar] [CrossRef]
- Sedov, L.I.; Volkovets, A.G. Similarity and Dimensional Methods in Mechanics; CRC Press: Boca Raton, FL, USA, 2018. [Google Scholar]
- Zhu, J.B.; Wu, A.Q.; Huang, Z.J.; Peng, Y.C.; Zhong, Z.W. Pulling test of anchorage model of Siduhe suspension bridge. J. Yangtze River Sci. Res. Inst. 2006, 23, 51. [Google Scholar]
- Li, C.; Feng, Z.; Pan, R.; Ke, L.; He, J.; Dong, S. Experimental and numerical investigation on the anchorage zone of prestressed UHPC box-girder bridge. J. Bridge Eng. 2020, 25, 04020028. [Google Scholar] [CrossRef]

























| Load | 1.0P/mm | 3.5P/mm | 7.0P/mm | |
|---|---|---|---|---|
| Position | ||||
| Middle division pier | Palm face | 0.010 | 0.144 | 0.155 |
| Front anchor surface | 0.048 | 0.134 | 0.243 |
| Load | 1.0P/mm | 3.5P/mm | 7.0P/mm | ||
|---|---|---|---|---|---|
| Position | |||||
| Left anchor | Left wall | F4 | 0.001 | 0.006 | 0.008 |
| F11 | 0.002 | 0.003 | 0.001 | ||
| Right wall | F2 | 0 | 0.004 | 0.003 | |
| F1 | 0.002 | 0.006 | 0.001 | ||
| Right anchor | Left wall | F9 | 0.001 | 0.006 | 0.002 |
| F7 | 0.002 | 0.007 | 0.004 | ||
| Right wall | F8 | 0.002 | 0.006 | 0.006 | |
| F12 | 0.003 | 0.004 | 0.001 |
| Load | 1.0P/µε | 3.5P/µε | 7.0P/µε | ||
|---|---|---|---|---|---|
| Location | |||||
| Left anchor plug body | Back anchor surface | Y11 | −4.739 | −11.89 | −15.982 |
| Y5 | −2.004 | −14.015 | −25.577 | ||
| Central | Y7 | −5.455 | −8.568 | −7.734 | |
| Y4 | −1.809 | −5.733 | −11.097 | ||
| Front anchor surface | Y9 | −1.528 | −0.805 | −0.085 | |
| Y8 | −1.834 | −2.749 | −1.133 | ||
| Right anchor plug body | Back anchor surface | Y12 | −4.331 | −5.536 | −5.656 |
| Y10 | 1.418 | −1.84 | 2.899 | ||
| Central | Y3 | −2.076 | −3.822 | −4.669 | |
| Front anchor surface | Y1 | −2.272 | −3.896 | 3.166 | |
| Y2 | −2.103 | −1.769 | 0.041 |
Publisher’s Note: MDPI stays neutral with regard to jurisdictional claims in published maps and institutional affiliations. |
© 2022 by the authors. Licensee MDPI, Basel, Switzerland. This article is an open access article distributed under the terms and conditions of the Creative Commons Attribution (CC BY) license (https://creativecommons.org/licenses/by/4.0/).
Share and Cite
Shen, Z.; Jia, J.; Jiang, N.; Zhu, B.; Sun, W. Field-Scale Experiment on Deformation Characteristics and Bearing Capacity of Tunnel-Type Anchorage of Suspension Bridge. Energies 2022, 15, 4772. https://doi.org/10.3390/en15134772
Shen Z, Jia J, Jiang N, Zhu B, Sun W. Field-Scale Experiment on Deformation Characteristics and Bearing Capacity of Tunnel-Type Anchorage of Suspension Bridge. Energies. 2022; 15(13):4772. https://doi.org/10.3390/en15134772
Chicago/Turabian StyleShen, Zhijin, Jianhong Jia, Nan Jiang, Bin Zhu, and Wenchang Sun. 2022. "Field-Scale Experiment on Deformation Characteristics and Bearing Capacity of Tunnel-Type Anchorage of Suspension Bridge" Energies 15, no. 13: 4772. https://doi.org/10.3390/en15134772
APA StyleShen, Z., Jia, J., Jiang, N., Zhu, B., & Sun, W. (2022). Field-Scale Experiment on Deformation Characteristics and Bearing Capacity of Tunnel-Type Anchorage of Suspension Bridge. Energies, 15(13), 4772. https://doi.org/10.3390/en15134772

