A New Relative Permeability Characterization Method Considering High Waterflooding Pore Volume
Abstract
:1. Introduction
2. Experiments
2.1. Experimental Design
2.2. Sample and Devices
2.3. Experimental Procedure
3. Experimental Result
3.1. High Waterflooding PVs Relative Permeability
3.2. Relationship between Residual Oil Saturation and Waterflooding PVs
3.3. Mechanism Analysis
4. Numerical Simulation
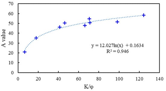
4.1. High Water Waterflooding PVs Relative Permeability Characterization
4.2. Numerical Simulation with High Waterflooding PVs Relative Permeability
5. Simulation Validations
6. Conclusions
Author Contributions
Funding
Institutional Review Board Statement
Informed Consent Statement
Data Availability Statement
Conflicts of Interest
Nomenclature
| Ed | oil displacement efficiency, % |
| Sor | residual oil saturation, % |
| Swirr | irreducible water saturation, % |
| PV | pore volume, mL |
| A | coefficient |
| B | coefficient |
| K | permeability, mD |
| φ | porosity, % |
| μ | viscosity, mpa·s |
| kro | oil relative permeability, decimal |
| krw | water relative permeability, decimal |
| Sorjx | ultimate residual oil saturation, % |
Appendix A. Relative Permeability Curves of No. 1–No. 3 and No. 5–No. 9 Cores

References
- You, Q.; Wang, H.; Zhang, Y.; Liu, Y.; Fang, J.; Dai, C. Experimental study on spontaneous imbibition of recycled fracturing flow-back fluid to enhance oil recovery in low permeability sandstone reservoirs. J. Pet. Sci. Eng. 2018, 166, 375–380. [Google Scholar] [CrossRef]
- You, Q.; Wen, Q.; Fang, J.; Guo, M.; Zhang, Q.; Dai, C. Experimental study on lateral flooding for enhanced oil recovery in bottom-water reservoir with high water cut. J. Pet. Sci. Eng. 2019, 174, 747–756. [Google Scholar] [CrossRef]
- Hou, X.; Wang, Y.; Yang, Q. A new calculation method for unstable state oil/water relative permeability curve. Pet. Geol. Oilfield Dev. Daqing 2008, 27, 54–56. [Google Scholar]
- Li, L.; Song, K.; Gao, L.; Wang, P. Water Flooding Behavior of High Water-Cut Oilfield. Pet. Drill. Tech. 2009, 37, 91–94. [Google Scholar]
- Shahvali, M.; Mallison, B.; Wei, K.; Gross, H. An alternative to streamlines for flow diagnostics on structured and unstructured grids. SPE J. 2012, 17, 768–778. [Google Scholar] [CrossRef]
- Chen, R. Streamline Tracing and Time of Flight Diagnostics for Waterflooding Optimization: Theory and Application. 2015. Available online: https://hdl.handle.net/1969.1/156392 (accessed on 13 October 2021).
- Møyner, O.; Krogstad, S.; Lie, K.-A. The application of flow diagnostics for reservoir management. SPE J. 2015, 20, 306–323. [Google Scholar] [CrossRef] [Green Version]
- Lie, K.A.; Møyner, O.; Krogstad, S. Application of flow diagnostics and multiscale methods for reservoir management. In Proceedings of the SPE Reservoir Simulation Symposium OnePetro, Houston, TX, USA, 23–25 February 2015. [Google Scholar]
- Zhang, Z.; Geiger, S.; Rood, M.; Jacquemyn, C.; Jackson, M.; Hampson, G.; De Carvalho, F.M.; Marques Machado Silva, C.C.; Machado Silva, J.D.; Costa Sousa, M. A tracing algorithm for flow diagnostics on fully unstructured grids with multipoint flux approximation. SPE J. 2017, 22, 1946–1962. [Google Scholar] [CrossRef]
- Zhou, F.; Liu, Z.; Zhang, C. A practical method for determining the relative permeability of oil and water by steady-state method. Pet. Geol. Eng. 2009, 23, 105–106. [Google Scholar]
- Bing, S. Study on Water Drive Development Characteristics Based on the Oil-Water Two Phase Flow of Ultra-High Water Cut Stage; Southwest Petroleum University: Chengdu, China, 2013. [Google Scholar]
- Wu, Z.; Cui, C.; Hao, Y.; Sun, Y.; Lv, G.; Sun, D.; Zhang, Z. Relative permeability model taking the roughness and actual fluid distributions into consideration for water flooding reservoirs. Arab. J. Sci. Eng. 2019, 44, 10513–10523. [Google Scholar] [CrossRef]
- Zhang, W.; Cao, R.; Luo, D.; Sun, C.; Li, W. Displacement characteristics of high-multiple water drive in marine sandstone reservoirs in the Pearl River Mouth Basin, South China Sea. Pet. Geol. Recovery Effic. 2018, 25, 64–71. [Google Scholar]
- Hu, Z.; Ma, K.; Liu, Z.; Huang, K.; Zhang, J. Research and Application of the Properties Variation Regularity of Water Injection Reservoirs in S Offshore Oilfield. Sci. Technol. Eng. 2014, 14, 164–168. [Google Scholar]
- Wang, X. Influence of Water Injection Multiple on Displacement Efficiency. Henan Sci. 2017, 35, 139–143. [Google Scholar]
- Deng, S.; Wang, N.; Meng, L.; Wu, Z.; Chen, Z. Establishment and Application of The New Two-type Water-Flooding Characteristic Curves at High Water Cut Stage. Pet. Geol. Oilfield Dev. Daqing 2017, 36, 58–63. [Google Scholar] [CrossRef]
- Ji, S.; Tian, C.; Shi, C.; Ye, J.; Zhang, Z.; Fu, X. New understanding on water-oil displacement efficiency in a high water-cut stage. Pet. Explor. Dev. 2012, 39, 362–370. [Google Scholar] [CrossRef]
- Yu, C. A New Prediction Method of Relative Permeability to Reflect Waterflooding Limitation. Spec. Oil Gas Reserv. 2014, 21, 4. [Google Scholar] [CrossRef]
- Chen, D.; Li, J.; Zhu, W.; Xin, Z. Experimental Research on Reservor Parameters Variation After Water Flooding for Offshore Unconsolidated Sandstone Heavy Oil Reservoirs. China Offshore Oil Gas 2016, 28, 54–60. [Google Scholar] [CrossRef]
- Wen, X.; Dai, Z.; Wang, H.; Zhang, X.; Li, H. Physical Properties of Marine Sandstone Reservoir after Long-Term Waterflooding. Spetial Oil Gas Reserv. 2017, 24, 157–161. [Google Scholar] [CrossRef]
- Nie, F. Comparative study on seepage characteristics of core before and after high multiple water flooding in Different facies zones of Dongpu Oilfield. Pet. Geol. Eng. 2017, 31, 87–90. [Google Scholar]
- Jiang, R.; Qiao, X.; Teng, W.; Xu, J.; Sun, Z.; Xie, L. Impact of physical properties time variation on waterflooding reservoir development. Fault-Block Oil & Gas Field 2016, 23, 768–771. [Google Scholar] [CrossRef]
- Ma, K.; Cai, H.; Sun, Z. Nuclear Magnetic Resonance-based Experiment on the Effects of Displacement Velocity and Multiple on the Pore Throat Characteristics and Recovery Factor of Unconsolidated Sandstone Reservoirs. China Offshore Oil Gas 2019, 31, 86–91. [Google Scholar] [CrossRef]
- Tao, S.; Wang, Y.; Tang, D.; Xu, H.; Lv, Y.; He, W.; Li, Y. Dynamic variation effects of coal permeability during the coalbed methane development process in the Qinshui Basin, China. Int. J. Coal Geol. 2012, 93, 16–22. [Google Scholar] [CrossRef]
- Andersen, P.Ø.; Walrond, K.; Nainggolan, C.K.; Pulido, E.Y.; Askarinezhad, R. Simulation interpretation of capillary pressure and relative permeability from laboratory waterflooding experiments in preferentially oil-wet porous media. SPE Reserv. Eval. Eng. 2020, 23, 230–246. [Google Scholar] [CrossRef]
- Dai, Z.; Jiang, J.; Li, H.; Cao, R.; Xin, J.; Luo, D. Wettability experiment of core and mico-mechanism during high-multiple water flooding in heavy oil reservoir. Sci. Technol. Eng. 2019, 33, 1671–1815. [Google Scholar]
- Fang, Y.; Li, H.; Yu, C.; Fan, S.; Hou, X. Seepage characteristics of oil-water two-phase with high injection ratio. Pet. Geol. Eng. 2019, 33, 4. [Google Scholar]
- Yu, H.; Wang, Y.; Nie, J.; Lv, C.; Cui, W.; Zhang, L. Sdudy and Application of a Correction Method for the Relative Permeability Curve of a High Water Injection Multiple. Pet. Drill. Tech. 1900, 46, 104–108. [Google Scholar] [CrossRef]
- Yu, C.; Mi, L.; Wang, C.; Zhao, Y.; Jiang, H.; Tian, Y. Percolation characteristics investigation of microscopic remaining oil in water flooding reservoir with ultra-high water cut. Fault-Block Oil Gas Field 2016, 23, 592–594. [Google Scholar] [CrossRef]
- Li, C.; Wang, S.; You, Q.; Yu, C. A New Measurement of Anisotropic Relative Permeability and Its Application in Numerical Simulation. Energies 2021, 14, 4731. [Google Scholar] [CrossRef]
- Wang, S.; Yu, C.; Sang, G.; Zhao, Q. A new numerical simulator considering the effect of enhanced liquid on relative permeability. J. Pet. Sci. Eng. 2019, 177, 282–294. [Google Scholar] [CrossRef]
- Gram, T.B.; Ditlevsen, F.P.; Mosegaard, K.; Fabricius, I.L. Water-flooding and consolidation of reservoir chalk–effect on porosity and Biot’s coefficient. Geophys. Prospect. 2021, 69, 495–513. [Google Scholar] [CrossRef]
- Cao, R.-Y.; Dai, Z.; Wang, Z.-K.; Wang, Y.-H.; Jiang, J.; Jia, Z.-H. Displacement behavior and mechanism of long-term water flooding in sandstone oil reservoirs. J. Cent. South Univ. 2021, 28, 834–847. [Google Scholar] [CrossRef]
- Zhang, W.-Q.; Wang, Y.-N.; Liu, D.-W.; Deng, Y.; Xu, J.-C.; Gu, F.; Yang, Y.; Dong, R.-J. Water Flooding Characteristics of Carbonate Reservoirs with High Permeability Layer. In Proceedings of the International Field Exploration and Development Conference, Chengdu, China, 23–25 September 2020; Springer: Berlin/Heidelberg, Germany, 2020; pp. 3168–3175. [Google Scholar] [CrossRef]
- Mohammad, R.S.; Tareen, M.Y.K.; Mengel, A.; Shah, S.A.R.; Iqbal, J. Simulation study of relative permeability and the dynamic capillarity of waterflooding in tight oil reservoirs. J. Pet. Explor. Prod. Technol. 2020, 10, 1891–1896. [Google Scholar] [CrossRef] [Green Version]
- Mahmoudzadeh, A.; Fatemi, M.; Masihi, M. Microfluidics experimental investigation of the mechanisms of enhanced oil recovery by low salinity water flooding in fractured porous media. Fuel 2022, 314, 123067. [Google Scholar] [CrossRef]
- Hu, J.; Li, A. Experimental Investigation of Factors Influencing Remaining Oil Distribution under Water Flooding in a 2-D Visualized Cross-Section Model. ACS Omega 2021, 6, 15572–15579. [Google Scholar] [CrossRef]
- Sun, P.; Xu, H.; Zhu, H.; Jia, L.; Hu, X.; Fang, H.; Jiang, H.; Xu, Z.; Jiang, T.; Jiang, X. Investigation of pore-type heterogeneity and its control on microscopic remaining oil distribution in deeply buried marine clastic reservoirs. Mar. Pet. Geol. 2021, 123, 104750. [Google Scholar] [CrossRef]
- Cheng, B.; Li, J.; Jiang, S.; Lu, C.; Su, H.; Yu, F.; Jiang, H. Pore-Scale Investigation of Microscopic Remaining Oil Variation Characteristic in Different Flow Rates Using Micro-CT. Energies 2021, 14, 3057. [Google Scholar] [CrossRef]
- Ge, L.; Meng, Z.; Zhu, Z.; Zhu, X.; Wang, Y. Three-dimensional physical simulation experiment of reasonable initial oil recovery rate for the gas/edge water reservoirs. China Offshore Oil Gas 2019, 31, 99–105. [Google Scholar] [CrossRef]
- Shi, D.; Yue, X.; Ling, S.; Dong, M.; Kong, B. Physical simulation on system of deep profile control and flooding on high water cut reservoir. J. Shenzhen Univ. Sci. Eng. 2018, 35, 179–186. [Google Scholar] [CrossRef]
- Wu, Y. Experimental Research on Interlayer Interference of Thin Iterbed Reservoirs by 3-D Physical Simulation. Res. Explor. Lab. 2017, 36, 25–29. [Google Scholar]














| Core No. | Core Length (cm) | Core Diameter (cm) | Porosity (f) | Permeability (md) | Irreducible Water Saturation (%) | Residual Oil Saturation (%) |
|---|---|---|---|---|---|---|
| 1 | 5.96 | 2.502 | 37.5 | 244.4 | 28.8 | 25.99 |
| 2 | 5.88 | 2.51 | 37 | 659.4 | 27.3 | 24.72 |
| 3 | 6.04 | 2.498 | 37.3 | 1536.6 | 25.6 | 23.21 |
| 4 | 6.33 | 2.5 | 38.9 | 1793.1 | 22.1 | 24.79 |
| 5 | 6.24 | 2.496 | 38.3 | 2531.1 | 20.9 | 21.99 |
| 6 | 5.97 | 2.492 | 38 | 2681.3 | 24.4 | 18.37 |
| 7 | 6.25 | 2.506 | 39.5 | 2811.5 | 24.2 | 18.87 |
| 8 | 5.76 | 2.504 | 41.1 | 4035.3 | 19.3 | 20.26 |
| 9 | 6.14 | 2.497 | 38.7 | 4814.8 | 19.6 | 18.89 |
| Grid node | 40 × 40 × 1 | Dx (m) | 10 |
| Dy (m) | 10 | Dz (m) | 10 |
| Top deep (m) | 1000 | Initial water saturation (f) | 0.205 |
| Porosity (f) | 0.35 | Permeability (10−3 μm2) | 300/3000 (high permeability band) |
| Water viscosity (mPa·s) | 1 | Oil viscosity (mPa·s) | 28 |
| Exploit scheme | Water flooding | Well pattern | One injection well and one production well |
Publisher’s Note: MDPI stays neutral with regard to jurisdictional claims in published maps and institutional affiliations. |
© 2022 by the authors. Licensee MDPI, Basel, Switzerland. This article is an open access article distributed under the terms and conditions of the Creative Commons Attribution (CC BY) license (https://creativecommons.org/licenses/by/4.0/).
Share and Cite
Qi, G.; Zhao, J.; He, H.; Sun, E.; Yuan, X.; Wang, S. A New Relative Permeability Characterization Method Considering High Waterflooding Pore Volume. Energies 2022, 15, 3868. https://doi.org/10.3390/en15113868
Qi G, Zhao J, He H, Sun E, Yuan X, Wang S. A New Relative Permeability Characterization Method Considering High Waterflooding Pore Volume. Energies. 2022; 15(11):3868. https://doi.org/10.3390/en15113868
Chicago/Turabian StyleQi, Guangfeng, Jingang Zhao, Hu He, Encheng Sun, Xin Yuan, and Shuoliang Wang. 2022. "A New Relative Permeability Characterization Method Considering High Waterflooding Pore Volume" Energies 15, no. 11: 3868. https://doi.org/10.3390/en15113868
APA StyleQi, G., Zhao, J., He, H., Sun, E., Yuan, X., & Wang, S. (2022). A New Relative Permeability Characterization Method Considering High Waterflooding Pore Volume. Energies, 15(11), 3868. https://doi.org/10.3390/en15113868
