Integration of Electromagnetic Geophysics Forward Simulation in Coupled Flow and Geomechanics for Monitoring a Gas Hydrate Deposit Located in the Ulleung Basin, East Sea, Korea
Abstract
:1. Introduction
2. Mathematical Formulations
2.1. Governing Equations for Coupled Flow and Geomechanics
2.2. Multiple Porosity (MP) Materials and Constitutive Relations
2.2.1. MP Materials and Geomechanics Constitutive Relation
2.2.2. MP Materials and Flow and Heat Constitutive Relations
2.3. Governing Equations for Electromagnetic Geophysics
2.3.1. Electromagnetic Methods
2.3.2. Electrical Conductivity Model
2.4. Porosity-Dependent Permeability
3. Numerical Methods
3.1. Coupled Flow and Geomechanics
3.1.1. Spatial and Temporal Discretizations
3.1.2. Fixed-Stress Sequential Method
3.2. Electrical and EM Geophysical Modeling
4. Numerical Experiments
4.1. Gas Hydrate Deposit Located near the Site of the UBGH2-6 in the Ulleung Basin
4.2. Evolution of Field Variables
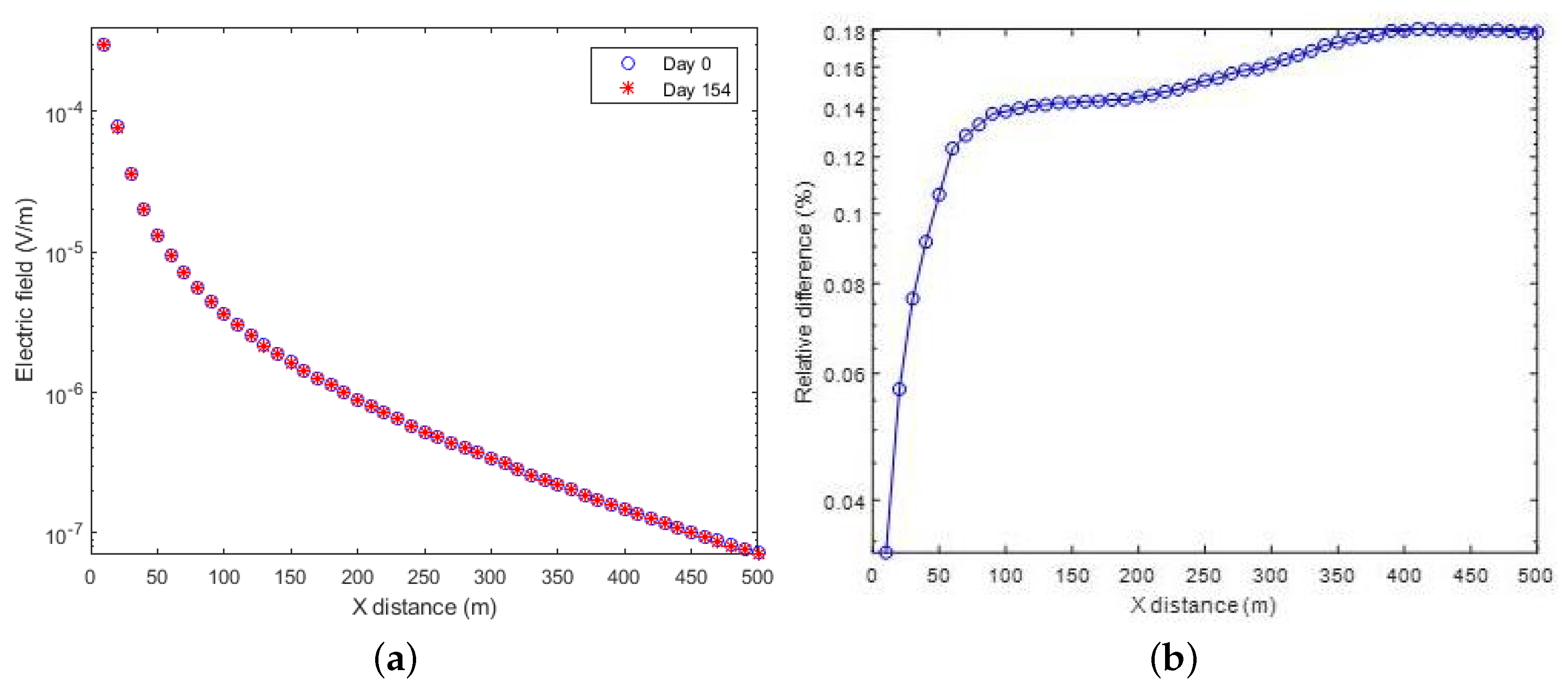
4.3. EM Monitoring Results and Detectability of Gas Flow
5. Conclusions
- Volume fraction of fluid phase and porosity change.
- EM survey configuration.
- Dissociation pattern of gas hydrates.
Author Contributions
Funding
Conflicts of Interest
References
- Makogon, Y. Gas hydrates: Frozen energy. Recherche 1987, 18, 1192–1200. [Google Scholar]
- Makogon, Y. Hydrates of Hydrocarbons; Penn Well Publishing Co.: Tulsa, OK, USA, 1997. [Google Scholar]
- Yoon, H.; Yoon, S.; Lee, J.; Kim, J. Multiple porosity model of a heterogeneous layered gas hydrate deposit in Ulleung Basin, East Sea, Korea: A study on depressurization strategies, reservoir geomechanical response, and wellbore stability. J. Nat. Gas Sci. Eng. 2021, 96, 104321. [Google Scholar] [CrossRef]
- Patti, G.; Grassi, S.; Morreale, G.; Corrao, M.; Imposa, S. Geophysical surveys integrated with rainfall data analysis for the study of soil piping phenomena occured in a densely urbanized area in eastern Sicily. Nat. Hazards 2021, 108, 2467–2492. [Google Scholar] [CrossRef]
- Bretaudeau, F.; Dubois, F.; Kassa, S.G.; Coppo, N.; Wawrzyniak, P.; Darnet, M. Time-lapse resistivity imaging: CSEM-data 3-D double-difference inversion and application to the Reykjanes geothermal field. Geophys. J. Int. 2021, 226, 1764–1782. [Google Scholar] [CrossRef]
- Yari, M.; Nabi-Bidhendi, M.; Ghanati, R.; Shomali, Z.H. Hidden layer imaging using joing inversion of P-wave trave-time and electrical resistivity data. Near Surf. Geophys. 2021, 19, 297–313. [Google Scholar] [CrossRef]
- González, J.; Comte, J.C.; Legchenko, A.; Ofterdinger, U.; Healy, D. Quatification of groundwater storage heterogeneity in weathered/fractured basement rock aquifers using electrical resistivity tomography: Sensitivity and uncertainty associated with petrophysical modelling. J. Hydrol. 2021, 593, 125637. [Google Scholar] [CrossRef]
- Glaser, D.; Burch, K.; Brinkley, D.; Reppert, P. Localization of deep voids through geophysical signatures of secondary dewatering features. Geophysics 2021, 86, WA139–WA152. [Google Scholar] [CrossRef]
- Weitemeyer, K.; Constable, S.; Key, K.; Behrens, J. First results from a marine controlled-source electromagnetic survey to detect gas hydrates offshore Oregon. Geophys. Res. Lett. 2006, 33. [Google Scholar] [CrossRef] [Green Version]
- Weitemeyer, K.; Constable, S.; Tréhu, A. A marine electromagnetic survey to detect gas hydrate at Hydrate Ridge, Oregon. Geophys. J. Int. 2011, 187, 45–62. [Google Scholar] [CrossRef] [Green Version]
- Attias, E.; Weitemeyer, K.; Hölz, S.; Naif, S.; Minshull, T.; Best, A.; Haroon, A.; Jegen-Kulcsar, M.; Berndt, C. High-resolution resistivity imaging of marine gas hydrate structures by combined inversion of CSEM towed and ocean-bottom receiver data. Geophys. J. Int. 2018, 214, 1701–1714. [Google Scholar] [CrossRef]
- Vermylen, J.; Zoback, M. Hydraulic Fracturing, Microseismic Magnitudes, and Stress Evolution in the Barnett Shale, Texas, USA. In Proceedings of the SPE Hydraulic Fracturing Technology Conference, The Woodlands, TX, USA, 24–26 January 2011. [Google Scholar]
- Um, E.; Kim, J.; Wilt, M.; Commer, M.; Kim, S.S. Finite element analysis of top-casing electric source method for imaging hydraulically active fracture zones. Geophysics 2019, 84, E23–E35. [Google Scholar] [CrossRef] [Green Version]
- Kim, J.; Um, E.; Moridis, G. Integrated simulation of vertical fracture propagation induced by water injection and its borehole electromagentic responses in shale gas systems. J. Pet. Sci. Eng. 2018, 165, 13–27. [Google Scholar] [CrossRef]
- Moridis, G.J.; Kim, J.; Reagan, M.T.; Kim, S. Feasibility of gas production from a gas hydrate accumulation at the UBGH2-6 site of the Ulleung Basin in the Korean East Sea. J. Pet. Sci. Eng. 2013, 108, 180–210. [Google Scholar] [CrossRef]
- Ryu, B.; Collett, T.; Riedel, M.; Kim, G.; Chun, J.; Bahk, J.; Lee, J.; Kim, J.; Yoo, D. Scientific results of the second gas hydrate drilling expedition in the Ulleung basin (UBGH2). Mar. Pet. Geol. 2013, 47, 1–20. [Google Scholar] [CrossRef]
- Kim, J.; Sonnenthal, E.; Rutqvist, J. Formulation and sequential numerical algorithms of coupled fluid/heat flow and geomechanics for multiple porosity materials. Int. J. Numer. Methods Eng. 2012, 92, 425–456. [Google Scholar] [CrossRef] [Green Version]
- Kurihara, M.; Ouchi, H.; Masuda, Y.; Narita, H.; Okada, Y. Assessment of Gas Productivity of Natural Methane Hydrates Using MH21 Reservoir Simulator. In Proceedings of the AAPG Hedberg Research Conference, Gas Hydrates: Energy Resource Potential and Associated Geologic Hazards, Vancouver, BC, Canada, 12–16 September 2004. [Google Scholar]
- Kurihara, M.; Ouchi, H.; Masuda, Y.; Narita, H.; Okada, Y. Impact of Kinetics on the Injectivity of Liquid CO2 into Arctic Hydrates. In Proceedings of the OTC Arctic Offshore Technology Conference, Houston, TX, USA, 2–5 May 2011. [Google Scholar]
- Moridis, G.J.; Kowalsky, M.B.; Pruess, K. TOUGH+HYDRATE v1.0 User’s Manual: A Code for the Simulation of System Behavior in Hydrate-Bearing Geologic Media; Report Number LBNL-00149E; Lawrence Berkeley National Lab.: Berkeley, CA, USA, 2008. [Google Scholar]
- Kim, J.; Lee, J.; Ahn, T.; Yoon, H.; Lee, J.; Yoon, S.; Moridis, G. Validation of strongly coupled geomechanics and gas hydrate reservoir simulation with multiscale laboratory tests. Int. J. Rock Mech. Min. Sci. 2022, 149, 104958. [Google Scholar] [CrossRef]
- Kim, J.; Moridis, G.J. Development of the T+M coupled flow-geomechanical simulator to describe fracture propagation and coupled flow-thermal-geomechanical processes in tight/shale gas systems. Comput. Geosci. 2013, 60, 184–198. [Google Scholar] [CrossRef]
- Yoon, H.; Kim, J. Spatial stability for the monolithic and sequential methods with various space discretizations in poroelasticity. Int. J. Numer. Methods Eng. 2018, 114, 684–718. [Google Scholar] [CrossRef]
- Kim, J.; Tchelepi, H.A.; Juanes, R. Stability and convergence of sequential methods for coupled flow and geomechanics: Fixed-stress and fixed-strain splits. Comput. Methods Appl. Mech. Eng. 2011, 200, 1591–1606. [Google Scholar] [CrossRef]
- Um, E.; Commer, M.; Newman, G.; Hoversten, M. Finite element modeling of transient electromagnetic fields near steel-cased wells. Geophys. J. Int. 2015, 202, 901–913. [Google Scholar] [CrossRef] [Green Version]
- Hughes, T.J.R. The Finite Element Method: Linear Static and Dynamic Finite Element Analysis; Prentice-Hall: Englewood Cliffs, NJ, USA, 1987. [Google Scholar]
- Um, E.; Kim, J.; Wilt, M. 3D borehole-to-surface and surface electromagnetic modeling and inversion in the presence of steel infrastructure. Geophysics 2020, 85, E139–E152. [Google Scholar] [CrossRef]
- Kim, J.; Moridis, G.J.; Yang, D.; Rutqvist, J. Numerical Studies on Two-way Coupled Fluid Flow and Geomechanics in Hydrate Deposits. SPE J. 2012, 17, 485–501. [Google Scholar] [CrossRef] [Green Version]
- Kim, J.; Lee, J. Wellbore stability and possible geomechanical failure in the vicinity of the well during pressurization at the gas hydrate deposit in the Ulleung Basin. In Proceedings of the 53rd US Rock Mechanics/Geomechanics Symposium, New York, NY, USA, 26 June 2019. [Google Scholar]
- Yoon, S.; Um, E.; Kim, J. Development of an integrated simulator for coupled flow, geomechanics and geophysics based on sequential approaches. J. Korean Soc. Miner. Energy Resour. Eng. 2020, 57, 309–317. [Google Scholar] [CrossRef]
- Fawad, M.; Mondol, N. Monitoring geological storage of CO2: A new approach. Sci. Rep. 2021, 11, 5942. [Google Scholar] [CrossRef]
- Coussy, O. Mechanics of Porous Continua; John Wiley and Sons: Chichester, UK, 1995. [Google Scholar]
- Kim, J.; Tchelepi, H.A.; Juanes, R. Rigorous coupling of geomechanics and multiphase flow with strong capillarity. SPE J. 2013, 18, 1591–1606. [Google Scholar] [CrossRef]
- Coussy, O. Poromechanics; John Wiley and Sons: Chichester, UK, 2004. [Google Scholar]
- Commer, M.; Newman, G. New advances in three-dimensional controlled-source electromagnetic inversion. Geophys. J. Int. 2008, 172, 513–535. [Google Scholar] [CrossRef]
- Um, E.; Kim, S.; Fu, H. A tetrahedral mesh generation approach for 3D marine controlled-source electromagnetic modeling. Comput. Geosci. 2017, 100, 1–9. [Google Scholar] [CrossRef]
- Jin, J. The Finite Element Method in Electromagnetics, 2nd ed.; John Wiley and Sons: Hoboken, NJ, USA, 2002. [Google Scholar]
- Si, H. TetGen, a Delaunay-Based Quality Tetrahedral Mesh Generator. ACM Trans. Math. Softw. 2015, 41, 11. [Google Scholar] [CrossRef]
- Amestoy, P.; Duff, I.; L’Excellent, J.Y.; Koster, J. A fully asynchronous multifrontal solver using distributed dynamic scheduling. SIAM J. Matrix Anal. Appl. 2017, 23, 15–41. [Google Scholar] [CrossRef] [Green Version]
- Archie, G. The electrical resistivity log as an aid in determining some reservoir characteristics. Trans. Am. Inst. Min. 1942, 146, 54–62. [Google Scholar] [CrossRef]
- Yi, B.; Lee, G.; Kang, N.; Yoo, D.; Lee, J. Deterministic estimation of gas-hydrate resource volume in a small area of the Ulleung Basin, East Sea (Japan Sea) from rock physics modeling and prestack inversion. Mar. Pet. Geol. 2018, 92, 597–608. [Google Scholar] [CrossRef]
- Mavko, G.; Mukerji, T.; Dvorkin, J. The Rock Physics Handbook; Cambridge University Press: New York, NY, USA, 2020. [Google Scholar]
- Aziz, K.; Settari, A. Petroleum Reservoir Simulation; Elsevier: London, UK, 1979. [Google Scholar]
- Golub, G.; Loan, C.V. Matrix Computations, 3rd ed.; Johns Hopkins University Press: Baltimore, MD, USA, 1996. [Google Scholar]
- Saad, Y. Iterative Methods for Sparse Linear Systems, 2nd ed.; SIAM: Philadelphia, PA, USA, 2003. [Google Scholar]
- Yoon, H.; Kim, J. Spectral deferred correction methods for high-order accuracy in poroelastic problems. Int. J. Numer. Anal. Methods Geomech. 2021, 45, 2709–2731. [Google Scholar] [CrossRef]
- Bahk, J.J.; Kim, G.Y.; Chun, J.H.; Kim, J.H.; Lee, J.; Ryu, B.J.; Lee, J.H.; Son, B.K. Characterization of gas hydrate reservoirs by integration of core and log data in the Ulleung Basin, East Sea. Mar. Pet. Geol. 2013, 47, 30–42. [Google Scholar] [CrossRef]
- Lee, J.S.; Lee, J.; Kim, Y.; Lee, C. Stress-dependent and strength properties of gas hydrate-bearing marine sediments from the Ulleung Basin, East Sea, Korea. Mar. Pet. Geol. 2013, 47, 66–76. [Google Scholar] [CrossRef]
- Kim, H.S.; Cho, G.C.; Lee, J.; Kim, S.J. Geotechnical and geophysical properties of deep marine fine-grained sediments recovered during the second Ulleung Basin Gas Hydrate expedition, East Sea, Korea. Mar. Pet. Geol. 2013, 47, 56–65. [Google Scholar] [CrossRef]
- Lee, J.; Kim, G.Y.; Kang, N.; Yi, B.Y.; Jung, J.; Im, J.H.; Son, B.K.; Bahk, J.J.; Chun, J.H.; Ryu, B.J.; et al. Physical properties of sediments from the Ulleung Basin, East Sea: Results from Second Ulleung Basin Gas Hydrate Drilling Expedition, East Sea (Korea). Mar. Pet. Geol. 2013, 47, 43–55. [Google Scholar] [CrossRef]
- Masui, A.; Haneda, H.; Ogata, Y.; Aoki, K. The effect of saturation degree of methane hydrate on the shear strength of synthetic methane hydrate sediments. In Proceedings of the International Conference on Gas Hydrates (ICGH2005), Trondheim, Norway, 13–16 June 2005. [Google Scholar]
- Masui, A.; Miyazaki, K.; Haneda, H.; Ogata, Y.; Aoki, K. Mechanical characteristics of natural and artificial gas hydrate bearing sediments. In Proceedings of the International Conference on Gas Hydrates (ICGH2008), Vancouver, BC, Canada, 6–10 July 2008. [Google Scholar]
- Miyazaki, K.; Aoki, K.; Sakamoto, Y.; Yamaguchi, T.; Okubo, S. Study on Mechanical Behavior for Methane Hydrate Sediment Based on Constant Strain-Rate Test and Unloading-Reloading Test Under Triaxial Compression. Int. J. Offshore Polar Eng. 2010, 20, 256–264. [Google Scholar]
- Miyazaki, K.; Masui, A.; Sakamoto, Y.; Tenma, N.; Yamaguchi, T. Effect of Confining Pressure on Triaxial Compressive Properties of Artificial Methane Hydrate Bearing Sediments. In Proceedings of the Offshore Technology Conference 2010, Houston, TX, USA, 3–6 May 2010. [Google Scholar]
- Rutqvist, J.; Moridis, G.; Grover, T.; Collett, T. Geomechanical Response of Permafrost-associated Hydrate Deposits to Depressurization-induced Gas Production. J. Pet. Sci. Eng. 2009, 67, 1–12. [Google Scholar] [CrossRef] [Green Version]
- Lee, J.; Santamarina, J.; Ruppel, C. Volume change associated with formation and dissociation of hydrate in sediment. Geochem. Geophys. Geosyst. 2010, 11, Q03007. [Google Scholar] [CrossRef]

















| Layers | [MPa] | [MPa] | k [mD] | |||
|---|---|---|---|---|---|---|
| - | ||||||
| Overburden | 15.55 | 285.0 | 5.185 | 99.75 | 0.02 | 0.76 |
| Sand interlayer | 27.0 | 933.33 | 16.0 | 560.0 | 500.0 | 0.45 |
| Mud interlayer | 20.0 | 285.0 | 6.667 | 99.75 | 0.14 | 0.67 |
| Underburden | 22.0 | 285.0 | 7.407 | 99.75 | 0.02 | 0.63 |
Publisher’s Note: MDPI stays neutral with regard to jurisdictional claims in published maps and institutional affiliations. |
© 2022 by the authors. Licensee MDPI, Basel, Switzerland. This article is an open access article distributed under the terms and conditions of the Creative Commons Attribution (CC BY) license (https://creativecommons.org/licenses/by/4.0/).
Share and Cite
Yoon, H.C.; Kim, J.; Um, E.S.; Lee, J.Y. Integration of Electromagnetic Geophysics Forward Simulation in Coupled Flow and Geomechanics for Monitoring a Gas Hydrate Deposit Located in the Ulleung Basin, East Sea, Korea. Energies 2022, 15, 3823. https://doi.org/10.3390/en15103823
Yoon HC, Kim J, Um ES, Lee JY. Integration of Electromagnetic Geophysics Forward Simulation in Coupled Flow and Geomechanics for Monitoring a Gas Hydrate Deposit Located in the Ulleung Basin, East Sea, Korea. Energies. 2022; 15(10):3823. https://doi.org/10.3390/en15103823
Chicago/Turabian StyleYoon, Hyun Chul, Jihoon Kim, Evan Schankee Um, and Joo Yong Lee. 2022. "Integration of Electromagnetic Geophysics Forward Simulation in Coupled Flow and Geomechanics for Monitoring a Gas Hydrate Deposit Located in the Ulleung Basin, East Sea, Korea" Energies 15, no. 10: 3823. https://doi.org/10.3390/en15103823
APA StyleYoon, H. C., Kim, J., Um, E. S., & Lee, J. Y. (2022). Integration of Electromagnetic Geophysics Forward Simulation in Coupled Flow and Geomechanics for Monitoring a Gas Hydrate Deposit Located in the Ulleung Basin, East Sea, Korea. Energies, 15(10), 3823. https://doi.org/10.3390/en15103823

