Next Article in Journal
Self-Supervised Railway Surface Defect Detection with Defect Removal Variational Autoencoders
Next Article in Special Issue
Dynamic Error Correction Method in Tachometric Anemometers for Measurements of Wind Energy
Previous Article in Journal
Electrified Hydrogen Production from Methane for PEM Fuel Cells Feeding: A Review
Previous Article in Special Issue
On the Development of Offshore Wind Turbine Technology: An Assessment of Reliability Rates and Fault Detection Methods in a Changing Market
 
 
Font Type:
Arial Georgia Verdana
Font Size:
Aa Aa Aa
Line Spacing:
Column Width:
Background:
Article

Reliability Testing of Wind Power Plant Devices with the Use of an Intelligent Diagnostic System

1
Department of Energy, Faculty of Mechanical Engineering, Technical University of Koszalin, 15-17 Raclawicka St., 75-620 Koszalin, Poland
2
Faculty of Electronic, Military University of Technology of Warsaw, 2 Urbanowicza St., 00-908 Warsaw, Poland
3
Department of Transport Telecommunication, Faculty of Transport, Warsaw University of Technology, Koszykowa St. 75, 00-662 Warsaw, Poland
4
Faculty of Electronic and informatics, Technical University of Koszalin, 2 Sniadeckich St., 75-620 Koszalin, Poland
5
Doctoral School, Technical University of Koszalin, 2 Sniadeckich St., 75-620 Koszalin, Poland
*
Author to whom correspondence should be addressed.
Energies 2022, 15(10), 3583; https://doi.org/10.3390/en15103583
Submission received: 20 March 2022 / Revised: 1 May 2022 / Accepted: 9 May 2022 / Published: 13 May 2022
(This article belongs to the Special Issue Advances in Wind Energy and Wind Turbines)

Abstract

:
This paper introduces the issue of reliability simulation studies of wind farm equipment in the process of an operation. By the improvement, retrofitting and insertion of new (optimal) solutions to change the quality and terms of the use of wind farm equipment, an evaluation of their impact on reliability under real conditions can be carried out over a long period of time. Over a brief period, testing the reliability of a technical facility is only possible in a simulation. The aspect of evaluating the reliability of wind farm equipment after the application of intelligent systems, including the Wind Power Plant Expert System (WPPES), can be tested in the manner of a simulation. It was accepted in this article that the operation of the wind farm equipment is detailed based on Markov processes. The results of such research activities are the development of reliable and appropriate strategies and an exploitation policy of PE facilities. The above-mentioned issues in such a comprehensive approach have not been fully presented in the literature. The process of exploitation of complex technical objects such as PE devices is a complex random technical and technological process.

1. Introduction

1.1. Motivation and Incitement

This paper presents the problems of the simulation study of the reliability of wind farm (WF) equipment in its operation process. The problem of investigating the process of operation of complex technical objects, including wind farm (WF) equipment and wind turbines (TWG), is an important cognitive issue. This problem is particularly important for the owners and users of WF. It must answer the question of how to organize the organizational and technical activities in the technical maintenance system of WF facilities. It is only a properly organized system of WF renewal that may optimize well the use of these facilities. The results of such research activities are the development of reliable and appropriate strategies and the operation policy of PE facilities. The above-mentioned issues in such a comprehensive approach have not been fully presented in the literature. The process of the operation of complex technical objects such as PE devices is a multifaceted random technical and technological process. The process of the operation of technical objects and equipment is defined as a random set of the state of the use and the state of the technical operation of an object. The intricacy of this process results from the complexity of the events (elements) that describe and occur during this process. The set of those elements that enter the process of WF equipment operation, which require cognition, description and examination, include: WF equipment, the process of diagnosing (examining the state) of WF during its use and the process of the technical service of a given object in which it is renewed. The issues concerning the description and testing of individual elements describing the process of the operation of technical objects have been well-presented in publications. However, there is a lack of studies that holistically present the issue of testing and organizing the operation process of complex technical objects. Hence, this article undertakes the task of a simulation study of the reliability of the wind farm (WF) equipment in its operation process. The following research questions must be solved for this work. The initial issue is to comprehend and describe the WF equipment diagnostics problem. Another issue is understanding and describing the process of wind farm equipment operation (usage and maintenance). Understanding and describing the concerns of the organization of the technical service system in the operation process of the object under consideration is an essential topic covered in this article. The major goal of this article’s production was to comprehend and describe the challenges surrounding the arrangement of an object’s operating process in order to model it. Three models (A, B and C) of the operation process of wind farm equipment were developed and described in this article for the purpose of the organization of the simulation studies. Another issue addressed in this article is the problem of a reliability assessment of WF equipment after the application of intelligent systems, including the Wind Power Plant Expert System (WPPES), which supports its efficient operation; this is the main research objective of this article. An important objective of this article was to develop a simulation study plan; for this purpose, appropriate quantities that describe WF reliability were selected. Based on the literature and the authors’ own work, the input data for the study was prepared. The quantities adopted describe the functional properties of the object investigated: the time of the object’s use T—the time of the object remaining in a fit state, TNA—the time of removing the unfitness of the object and TNP—the time required to perform a planned repair. In article [1], the author introduced, inter alia, the idea and methodologies of the development of the models of the operation process of complex technical objects. This includes such models that describe the use and maintenance of systems using trivalent logic diagnostics and artificial neural network information. The problem of the modeling systems and the operation processes of complex technical objects is complex, and it involves many scientific fields, such as mathematics, the theory of operation, the reliability theory, technical diagnostics, the systems modeling theory, computer science, etc. Each of the directions is currently being developed quite intensively. The problem of performance modeling and simulation studies of the efficiency of wind farm equipment presented in this paper offers an innovative and future-proof solution.

1.2. Literature of Review

An important element in modeling the operation process of a complex technical facility is the development of a model of the renewal process of an intelligent maintenance system. These issues have been presented in publications, including those by Buchannan et al. and Duer et al. [2,3,4,5,6]. In his work, the author presented issues related to the definition of system maintenance models. The system designed for an automatic regeneration of object properties provides a basis for an optimization of costs related to preventive measures. This system fully minimizes the costs associated with organizing the maintenance system. The regeneration of the facility is carried out when required. This is ensured by an intelligent object diagnostic system built based on an artificial neural network—in particular, a network that reliably identifies the object’s states for which preventive measures need to be performed [7,8,9,10]. The system eliminates the costs related to the regeneration of those elements of the facility that do not require it and that are in working order. The intelligent maintenance system designed (including the intelligent diagnostic system) for the facility ensures the regeneration of those internal (structural) elements that need it and are in a state of incomplete efficiency {1} or unfitness {0}.
The study by Kacalak et al. [11,12,13,14,15] contained a description of the effective measurement path, which constitutes an important element in the design of the diagnostic system. Furthermore, the theoretical basis for the system’s design is presented for designing a measurement system using a computerized measurement card, the aim of which is to create a measurement base for the diagnostic system.
The issues of modeling the process of the operation of technical facilities were presented in the publications by Nakagawa and Pokoradi et al. [16,17,18,19,20,21]. This research presented a mathematical approach to modeling this process. This article addresses the problem of a quality assessment of such an organized maintenance process. To that end, this paper presents a simulation test program. The research program includes a characterization of the models of the operation processes of technical facilities and the establishment of test input data, which provides the quantities of the operation time of a technical object being the summary duration time of the regeneration (repairs) and the use of the object and the determination of the indexes of a qualitative assessment of the regeneration of the object in the operation process. The results of the research are justified in the example of simulation studies on the effects of the operation process with the reclamation of a technical facility in an intelligent system incorporating an artificial neural network.
The studies authored by Dyduch, Epstein et al. and Siergiejczyk et al. contained a description of the reliability, and an operational analysis is necessary [22,23,24,25,26,27,28,29]. In their lectures, they presented a reliability and operational analysis of complex technical and other facilities, such as power systems in transport telematics systems (PSSs in TTDs). The article discussed PSS in a TTD from both the primary and backup sources, as well as alternative solutions utilized in power supply systems. Bulletin outlines, among other things, are the solutions employed in power systems. This enables the determination of the relationships that indicate the plausibility of the other system in a fully functional state, a security emergency and a safety emergency. A qualitative examination of PSS in TTD, as well as the quality ratio for supply continuity, was conducted and evaluated. This index demonstrates the CQoPS reliance on numerous quality metrics, not only to indicate dependability but also to indicate the quality of the continuity of supply. The example illustrates the computation of the CQoPS factor both for the main and backup supply using three observations, each affecting the quality. The considerations presented for qualitative and reliability operational modeling PSS can be used in other public facilities as well (including those classified as crucial infrastructure).
Zajkowski [30] presented the organization, execution and analysis of the simulations held to assess the quality of the maintenance system of WPP wind farm equipment. An important aspect for the reader is the presentation of the models of WPP wind farm equipment operation processes. The reader will find the problems of the construction and organization of the operation process of complex technical objects [31]. Three models of WPP in the simulations are used the processes of wind turbine equipment operation. The prime model is Model A, i.e., an operation process of a wind power plant that uses an intelligent maintenance system. The latter model is Model B, i.e., an information-intensive operation process in bivalent logic: the operating process is a model with the maintenance system organized by planning its optimal preventive actions. The third is Model C, i.e., an operation process of a wind power plant with a maintenance system that is organized classically without any condition survey in the evaluation process: the maintenance strategy is based on the manual planning of preventive measures and an arbitrary selection of its scope by the operator.
The article by Duer [32] depicted an organization, implementation and an analysis of the enforcement carried out to assess the quality of the maintenance system for the wind farm equipment WPP. A significant aspect for the reader is the presentation of the models of wind farm equipment WPP operation processes. The reader will become acquainted with the issues of the construction and organization of the operation process of complex technical facilities in [33]. Three models for wind farm usage operation processes WPP have been used in simulations. The first model is Model A: an operation process of a wind power plant that uses an intelligent maintenance system with an artificial neural network. The other model is Model B: the process of the operation of an object that uses information in bivalent logic: a model with an upkeep system organized by the scheduling of its optimal preventive actions. The third one is Model C: a classically organized operation process of a wind power plant with a maintenance system without any condition testing in the assessment process: the maintenance strategy is based on a manual planning of preventive actions and a free choice of their range by the operator.

1.3. Contribution and Paper Organization

The operation process of the wind farm equipment, together with the technical maintenance system, is based on the diagnostic information concerning the test information and identifying the technical condition of the object tested [34]. The diagnostics of the wind farm equipment uses state recognition in binary or ternary logic [35]. Diagnostics using trivalent logic is of the greatest practical importance in the organization of the operation process and renewing of the technical object. The artificial neural network used in this model points out that the assessment system used in this WPP operating process is intelligent. A characterization of this diagnostic process using an artificial neural network, and an expert system WPPES is not the target and subject of the issues addressed in this article. Different models of the WPPS usage process are known, and models are described that appear in the studies included in the bibliography. Simulation studies of the process of the operation of technical objects shall be carried out based on the input data. The aforementioned data refers to:
Fault-free operation of a WPP;
Operating time between WPP wind farm damages;
Period of (WPP) Wind Power Plants repair;
The duration of ineffective (WPP) Wind Power Plants shutdown.
The article raises the problem of simulation testing of the dependability of wind farm equipment in the operating process. The main objective of this article is the concept of assessing the dependability of WF appliances after the use of intelligent systems, along with the Wind Power Plant Expert System (WPPES), which supports its effective use. The Kolmogorov–Chapman equations were adopted in an analytical description of the models developed by the wind farm operational process. In a simulation analysis of the reliability of wind farm equipment, the reliability value known in the literature [36] will be determined in the form of the availability factor Kg(t). This article covers the issues of a qualitative evaluation of the renewal process of operational properties in complex technical objects in an intelligent maintenance system. The concerns surrounding the study of the operating process of complicated technological items are not covered in depth in the literature. A complex technical object operation is a complex and random technical and technological procedure. A random collection of the states of use and maintenance of a technical object is described as the process of operating technical objects and equipment. The complexity of this process is the result of the complexity of the events (elements) that describe and occur during it. The following are the aspects that occurred throughout the use of the object and require description and testing: the technical object, the process of diagnosing the object in its state of use and the process of the maintenance of a given object. The issues of the description and research of individual elements that characterize the process of the operation of technical objects are well-presented in previous publications. However, no research comprehensively presents the issues of studying the operation process of complex technical objects.
In most publications, researchers of the issues of the reliability and quality of the operation of systems and complex technical objects use research methods based on the use of the Kolmogorov–Chapman equation. Such methods were presented in [36]. In these works, researchers use a qualitative assessment of the operation process in the form of the availability coefficient (Kg(t)). Another practical approach used in this assessment may be to convert the determined value of the coefficient or readiness function Kg(t) into a form of probability that the object under test will be in a fit or operational state. The innovation of our article and the subject presented in it is the use of new functions developed by the authors for an assessment of reliability issues and the operation process of systems and complex technical objects in the form of (FC(t)): the quality of a qualitative assessment of the operation process of the facility and (Fch(t)): the absorption function of the operation process. These two values are only used in this publication when assessing the reliability of technical systems and facilities.
The problems of a simulation study of the reliability of wind farm (WF) devices in the process of the operation presented in the article will be solved as follows. The second part of the article will cover the problems of understanding and a description of the operation processes (use and operation) of the wind farm devices. To organize the simulation studies in the article, three models developed (A, B and C) of the operation process of the wind farm devices were instroduced and described. Another issue addressed in this part of the article is the problem of a reliability assessment of the WF equipment after the application of intelligent systems, including WPPES, which supports its efficient operation, as the main research objective of this article. The third part of this article covers the planning and organization of the simulation study. For this purpose, relevant quantities describing the reliability of the WF have been selected. Based on the literature and the authors’ own analytical work, the input data for the study was prepared. The quantities adopted describe the functional properties of the object investigated: T—the time of the object remaining in the state of fitness, TNA—the time of removing the unfitness of the object and TNP—the time of performing the planned repair. In the fourth part of the article, the results of the simulation tests are presented for their prepared input data.

2. Methodology of Building Models of the Wind Farm Equipment Operation Process

The operation process of a complex technical facility: the Wind Power Equipment with expert assistance WPPES systems is a stochastic process S(t), the elements of which (Si) belong to the subsets of the states of an object {S}: operation and maintenance. Analyzing possible operating situations in which the facility could be found after any number of runs, the states of the object in operation can be determined, which creates a set of the states of the object S(t). Each of the possible states of the object in the process of operation that may occur is determined during the process of diagnosing the object. The set of the object’s state in the process of the object’s operation {S}, depending on the accepted valence of the valuation of states, is divided into two or three subsets {S1, S01 and S10}, where: S0—the subset of operating states, S1—the subset of non-operational states and S10—the subset of insufficient operational states. The subset of the states of the operation of an operation process is a single-element process S0 of the object’s states in the operation process.
The condition in which the facility is used in the operation process is the state of the operation process Z1 in which the facility performs the required functions by its use. If the facility is no longer in use because it is not performing its required function, it must be repaired during maintenance.
The distinct states in the diagnosis process when the object is not in use belong to the subset of the object’s handling states {S1}. This subset is a multi-element collection that includes the following states: {S1, S01 and S10} where: S1—scheduled maintenance, S01—unscheduled surveys and S10—inefficient use (the shutdown state). Concerning the research needs expressed in the literature [1,2,3,33], different methods are used to represent the process of the operation of a technical facility. Most frequently, the operating model of an object is presented graphically. A process graph is a graphical presentation of the realization of the object’s operation process. A questionnaire analysis offers another method of presenting the implementation of the facility operation process.

2.1. Indices That Characterize the Process of Operating a Technical Facility

From the set illustrated in the literature [32] of these indicators characterizing the process of the operation of a technical object, the value best reflecting the operation process is the availability indicator Kg and the accessibility function Kg(t). The process for calculating the availability feature Kg(t) is generally simplified when calculated for a limit value at t → ∞. The size is closely related to the stationary characteristics of the damage and maintenance process. Due to this, the availability rate Kg is the most appropriate measure to set out the efficiency of the operation process, which links both the utility and economic characteristics of the facility. The accessibility factor Kg of the object is the likelihood of the event that the object is operational after a sufficiently long period of operation (→∞). The accessibility factor Kg determines the average proportion of the technical object’s service life in the total service life, as represented by the following relationship:
K g = lim t K g t = lim t K g s r t
where Kg(t) is the medium value of the accessibility factor Kg.
The determination of the accessibility factor Kg requires that the operation process of a given object is known exactly. While having the determined quantity that expresses the effectiveness of the operation process of an object of any class, one can determine the quality function of the object’s operation process.
The quality function of the object’s operation process Fc is a dependence that characterizes the object’s operation process concerning the effectiveness and the quantity of the input used during the total object’s operation period, which is presented in the form of the following dependence:
F c = K g N e
The quality function of the facility’s operation process expresses the effects achieved in the facility operation process in the form of the accessibility factor Kg versus the operational input Ne that incurred during a specific period (t) of the facility’s functioning.
In the quality assessment of the dependability of complex engineering objects, the volume that the author referred to as the absorption function of the object operation process (Fch) can be of a high research relevance interest. The uptake function of the facility operation process Fch is a benchmark indicating the amount of expenditure (costs) that incurred in a given process of the facility’s operation so that the quality function of the facility’s operation process (Fc) would then have the paramount value. The absorption function of the facility’s operation process (Fch) shall be determined based on the following relationship:
F c h = 1 F c
where Fch is the absorption function of the facility’s operation process.

2.2. Two-State Model of the Wind Farm Equipment Operation Process (Model C)

The characterization of a simple model of the operation process of a technical facility consists of a sequence of the random times of use and repair that occur alternately in this process. In the article, the terms: “technical facility” and “wind farm equipment” are equivalent to each other. The new facility is being put into operation, and it performs its required function. At the moment of failure after the time (τ1), the object goes to the emergency repair state S1. In the state of emergency repair S1, the process of restoring the object to its full operational properties over time (TNA) takes place. As soon as the damage is removed, the object with the intensity μ, where: μ = 1/TNA [1/h], returns to the fit state S0, where it performs its task. Since there is no possibility of recognizing the state of incomplete fitness (inoperability) in the facility, the facility is used as long as it is subject to further damage. As soon as a failure occurs, the object goes into the S1 emergency repair state. In the S1 state, the object renewal process takes place, which consists of restoring complete functional properties to the object. As soon as the damage over time (TNA) is removed, the object goes back to the fit state S0 with intensity μ.
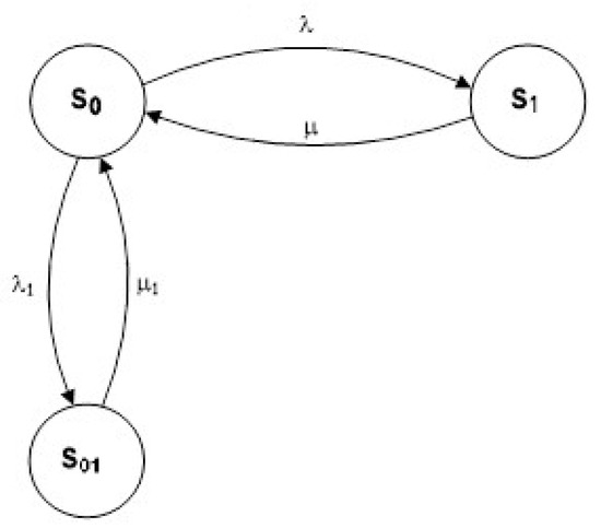
The relations between the states in model C mean the following (Figure 1):
λ—indicates the intensity of the transition of the system from state S1;
μ—informs about the intensity of the system transition from state S1 to state S0. The graphic structure of the two-state model is as follows (Figure 1).
In order to determine the likelihoods of the system in the particular states of an interest to us, the operation process model of the wind farm equipment presented in Figure 2 should include the following equations:
λ · P 0 + μ · P 1 = 0 λ · P 0 μ · P 1 = 0
In the matrix notation, Relationship (4) can be presented as follows:
λ μ λ μ · P 0 P 1 = 0 0
By transforming Equation (5), the following dependencies can be determined:
P 1 = λ μ · P 0
Obviously enough, it is known that the relationship is correct:
P 0 + P 1 = 1
Therefore:
P 0 · 1 + λ μ = 1
K g 1 = P 0 = 1 1 + λ μ
K g 1 = P 0 = μ μ + λ
The symbols in the equations above mean the following:
λ—indicates the intensity of the system transition from state S0 to state S1;
μ—informs about the intensity of the system transition from state S1 to state S0;
P0—the probability of the system will remain in S0;
P1—the probability of the system will remain in S1;
Kg(t)—readiness factor.
Using Expression (10), it is possible to determine the value of the probability that the wind farm equipment system is in working condition. It is numerically equal to the readiness ratio Kg(t). We assume that the modeling of the operation process consists of determining the probabilities of the system of the wind farm equipment in particular states {S0, S1}, and therefore, the following needs to be determined:
  • the probability function of the system remaining in S0;
  • the probability function of the system remaining in S1.

2.3. Three-State Operational Process Model of the Wind Farm Equipment (Model A)

A subset of the service condition and a subset of the service state make up each process of any complicated technical entity. The task of describing the relationship of transitions between the stages emphasized in the object’s operating process under investigation is tough. The selection of data for simulation testing necessitates a detailed analysis and understanding of the wind farm equipment’s real functioning process. The most difficult work in any facility’s operation process is to develop a model of the structure of the facility’s operation process in the form chosen (analytical or graphic). With the constructed process of the facility’s operation tested and knowing the relations between the operating states interpreted, it is possible to define selected values of reliability that characterize this model.
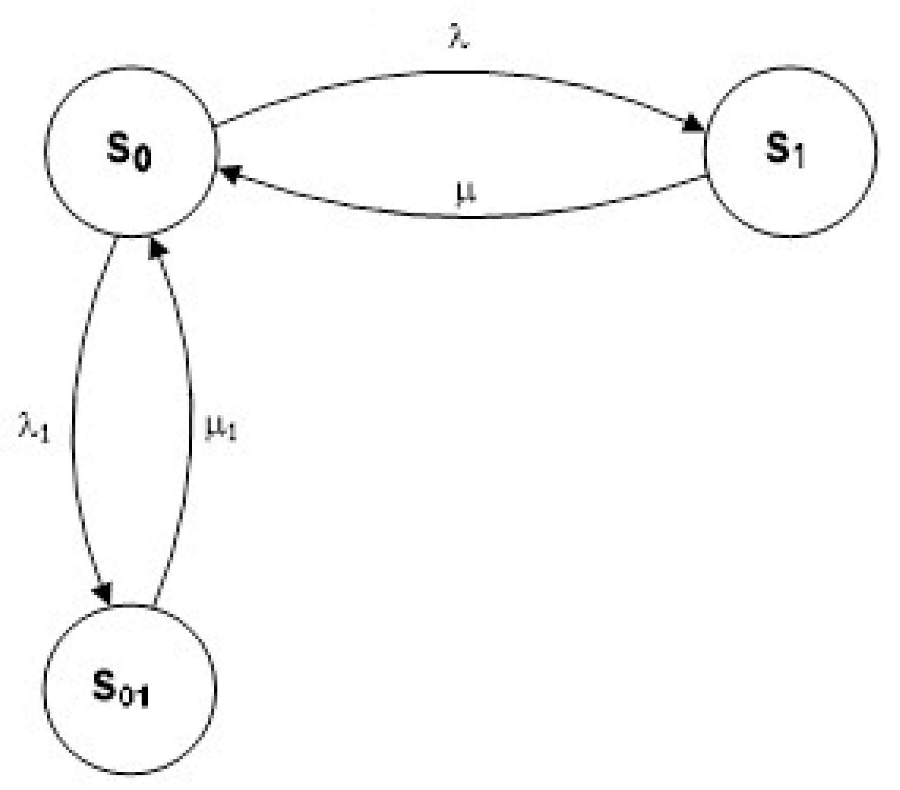
An analysis of the ways of changing the states of the object operated according to the model described (Figure 2) demonstrates that the object can be in one of the following conditions:
S0—use of the technical object;
S1—scheduled maintenance—NP preventive repair;
S01—unscheduled maintenance: the fit state S0 with intensity μ.
The relations between the states in model A mean:
λ—interpretation of the intensity of the transition of the system from state S0 to state S1;
μ—interpretation of the intensity of the transition of the system from state S1 to state S0, only an interpretation of the intensity of the transition of the system from state S0 to state S01 and only an interpretation of the intensity of the transition of the system from state S01 to state S0.
In the publications by numerous authors [36], the three-state model of operation is called the prophylaxis (servicing) model by age. This statement may be correct only when the model developed by the operating process concerns a technical object in which its diagnostics is carried out, along with the possibility of assessing the states. Therefore, in a situation where a technical facility is diagnosed, especially in the three-valued state assessment [2,3,4,33], and a set of wind farm devices, it is equipped with intelligent WPPES advisory systems and an artificial neural network decision support concerning safety in its use. Model A is an operational process model. The system of the WF is equipped with intelligent WPPES advisory systems support for decision-making concerning the safety of its use (Figure 2).
The transition between the states in this model is as follows: an early moment in time, the object is turned on for work; its use or being ready for use (on-call) begins. When using a technical facility, based on a forecast, with high reliability, it is possible to determine the moment in time Δt in which the facility will be in the condition of planned repair. Therefore, for known times Δt, the planned repairing of the object is scheduled. Hence, after time, at the moment (t1 = t0 + Θ) of operation, the object is in a subset of service states. The object passes from state S0 to state S1 with the intensity λ, where: λ = 1/Θ [1/h]. In the S1 condition, the planned repair is carried out during TNP. At the moment of performing the scheduled repair, the object with intensity μ, where: μ = 1/TNP [1/h], goes to state S0 use. The technical object in use in state S0 may be damaged. Then, the technical object with damage intensity λ1 goes to state S01. Removal of the failure of the object in the state of unscheduled repair of S01 during TNA causes the object to move from unplanned repair intensity μ1 to the use state S0.
To determine the likelihood of the presence of wind farm devices in individual states, the model of its working process set out in Figure 2 is to be described by the following equations:
λ · P 0 + μ · P 1 λ 1 · P 0 + μ 1 · P 01 = 0 λ · P 0 μ · P 1 = 0 λ 1 · P 0 μ 1 · P 01 = 0
In the matrix notation, Relationship (11) can be presented as follows:
λ + λ 1 μ μ 1 λ μ 0 λ 1 0 μ 1 · P 0 P 1 P 01 = 0 0 0
By transforming Equation (12), the following relationships were obtained:
P 1 = λ μ · P 0 P 01 = λ 1 μ 1 · P 0
Obviously enough, it is known that the equation is correct:
P 0 + P 1 + P 01 = 1
Therefore:
P 0 · 1 + λ μ + λ 1 μ 1 = 1
K g 2 = P 0 = 1 1 + λ μ + λ 1 μ   1
K g 2 = P 0 = μ · μ 1 μ · μ 1 + λ · μ 1 + λ 1 · μ
The symbols in the equations above mean the following:
Λ—interpretation of the intensity of the transition of the system from state S0 to state S1;
μ—interpretation of the intensity of the transition of the system from state S1 to state S0, only an interpretation of the intensity of the transition of the system from state S0 to state S01 and only an interpretation of the intensity of the transition of the system from state S01 to state S0;
P0—the likelihood that the system will remain in S0;
P1—the likelihood that the system will remain in S1;
P01—the likelihood that the system will remain in S01.
Using Expressions (17), it is possible to determine the value of the probability of a wind farm system remaining in the operational state. It is numerically equal to the readiness index. If we assume that the modeling of the operation process consists of determining the probabilities of a wind farm system remaining in particular states {S0, S1 and S01}, then the following values need to be determined:
The probability function of the system remaining in state S0;
The probability function of the system remaining in state S1;
The probability function of the system remaining in state S01.

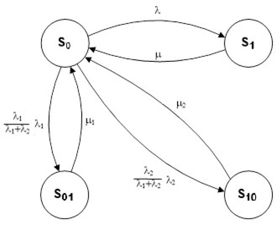
2.4. Four-State Model of the Operation Process of Wind Farm Equipment (Model B)

A model of an actual facility’s operating process using a typical usage and maintenance system (model B). In this model, it was assumed that the wind farm’s equipment did not include any sophisticated WPPES decision support system for ensuring the safety of its operation. Undetected faults and inefficiencies in this class of things may present themselves automatically when they arise. Then, there is no way of knowing when the facility in use will fail. That model accurately depicts the operation of this type of facility. As a result, the condition of ineffective usage S10 was identified in the operating process for these undetected malfunctions. Using this type of model, the operational properties of facilities are examined, e.g., those stored (over a long period of time) or those facilities in which there are no diagnostic systems and, therefore, no fault signaling (fault signaling factor α = 0). The problem related to the description of this type of operation process mod was presented in previous studies [2,32]. The graphic form of this model is shown in Figure 3.
The analysis of the model of the operation process of the wind farm equipment presented in Figure 3 demonstrates that the facility may be in one of the following states:
S0—effective use of the facility;
S1—scheduled maintenance—preventive NP;
S01—unscheduled maintenance;
S10—ineffective use of the facility.
The transitions between the states in model B mean the following:
λ—has an interpretation of the intensity of the system’s transition from state S0 to state S1;
μ—has an interpretation of the system’s transition from state S1 to state S0;
λ 1 λ 1 + λ 2 λ 1 —has an interpretation of the intensity of the transition of the system from state S0 to state S01;
μ1—has an interpretation of the intensity of the transition of the system from state S01 to state S0;
λ 2 λ 1 + λ 2 λ 2 − —has an interpretation of the intensity of the transition of the system from state S0 to state S10;
μ2—has an interpretation of the intensity of the transition of the system from state S10 to state S0.
A technical facility used without the WPPES expert system is damaged, and it modifies its place in the operating process. The object moves with intensity λ 2 λ 1 + λ 2 λ 2 from state S0 to the state of ineffective use S10. The time of the technical object remaining in the state of ineffective use S10 is determined by a random variable τNA. The value of the useful life of an ineffective technical facility results from the wind farm operating conditions or from changes in the weather conditions. The technical object, once the unfitness has been located and removed, that determines the cause of its ineffective use is again transferred to the S0 use state with an intensity of μ1. To identify the probability of the system remaining in a particular state, the network of crossings presented in Figure 4 shall be described with the following equations:
λ · P 0 + μ · P 1 λ 1 · λ 1 λ 1 + λ 2 · P 0 + μ 1 · P 01 λ 2 · λ 2 λ 1 + λ 2 · P 0 + μ 2 · P 10 = 0 λ · P 0 μ · P 1 = 0 λ 1 · λ 1 λ 1 + λ 2 · P 0 + μ 1 · P 01 = 0 λ 2 · λ 2 λ 1 + λ 2 · P 0 + μ 2 · P 10 = 0
In the matrix notation, Relationship (18) can be presented as follows:
λ + λ 1 λ 1 + λ 2 · λ 1 + λ 2 λ 1 + λ 2 · λ 2 μ μ 1 μ 2 λ μ 0 0 λ 1 λ 1 + λ 2 · λ 1 0 μ 1 0 λ 2 λ 1 + λ 2 · λ 2 0 0 μ 2 · P 0 P 1 P 01 P 10 = 0 0 0 0
By transforming Equation (19), the following relationships were obtained:
P 1 = λ μ · P 0 P 01 = λ 1 λ 1 + λ 2 · λ 1 μ 1 · P 0 P 10 = λ 2 λ 1 + λ 2 · λ 2 μ 2 · P 0
Obviously enough, it is known that the relationship is correct:
P 0 + P 1 + P 01 + P 10 = 1
Therefore:
P 0 · 1 + λ μ + λ 1 λ 1 + λ 2 · λ 1 μ 1 + λ 2 λ 1 + λ 2 · λ 2 μ 2 = 1
K g 7 = K 0 = 1 1 + λ μ + λ 1 λ 1 + λ 2 · λ 1 μ 1 + λ 2 λ 1 + λ 2 · λ 2 μ 2
K g 7 = K 0 = λ 1 + λ 2 · μ · μ 1 · μ 2 λ 1 + λ 2 · μ · μ 1 · μ 2 + λ λ 1 + λ 2 · μ 1 · μ 2 + λ 1 2 · μ · μ 2 + λ 2 2 · μ · μ 1
Using Expression (23), it is possible to determine the values that are of interest and related to the probabilities of a wind farm system remaining in its various operating states. If the assumption is made that the modeling of the operation process consists of determining the probabilities of a wind farm system remaining in individual states {S0, S1, S01 and S10}, then the following values need to be determined:
The likelihood function of the system being in state S0;
The likelihood function of the system being in state S1;
The likelihood function of the system being in state S01;
The likelihood function of the system being in state S10.

3. Results of the Research into Reliability Testing in the Operation of the Wind Farm Equipment and Discussion

A simulation test method may be used to perform reliability testing on wind farm equipment that has an intelligent WPPES system to support its successful operation. The genuine values of the operational (use) and nonoperational (damage) periods that characterize the usage of a set of wind farm devices equipped with an intelligent WPPES system in the actual operation process are required for this distribution of the facility’s reliability tests. The input data gathered in this manner serves as the foundation for a simulation study for the operational process models generated.
The source of the aforementioned input data for the research may consist of the values obtained from the observation of the actual process of the facility’s operation tested, and it may include a properly prepared and implemented simulation experiment. Simulation tests have been carried out for ongoing expenditure on the operation of the object tested over the entire lifetime (simulation test time of the object—To).
As the assessment of the actual operation process is too time-consuming, three models of the operation process are designed for the simulation tests:
  • Model A: this is the operation process of wind farm facilities equipped with intelligent decision support systems concerning safety in its use (a model including the operating system with WPPES);
  • Model B: the process of operating wind turbine equipment without any intelligent safety decision support systems (a model with the operating system including WPPES);
  • Model C: a simple process of operating wind farm equipment.
The same input data is used in the reliability simulation testing of the wind farm equipment operation process. The input data adopted for the simulation is as follows:
λ—damage intensity = 0.00022831 (1/h);
µ—repair intensity = 0.5 (1/h);
λ1—type I inspection intensity = 0.0004566 (1/h);,
µ1—type I operational maintenance intensity = 0.45 (1/h);
λ2—intensity of type II inspections = 0.0001141 (1/h);
µ2—type II operational maintenance intensity = 0.25 (1/h).
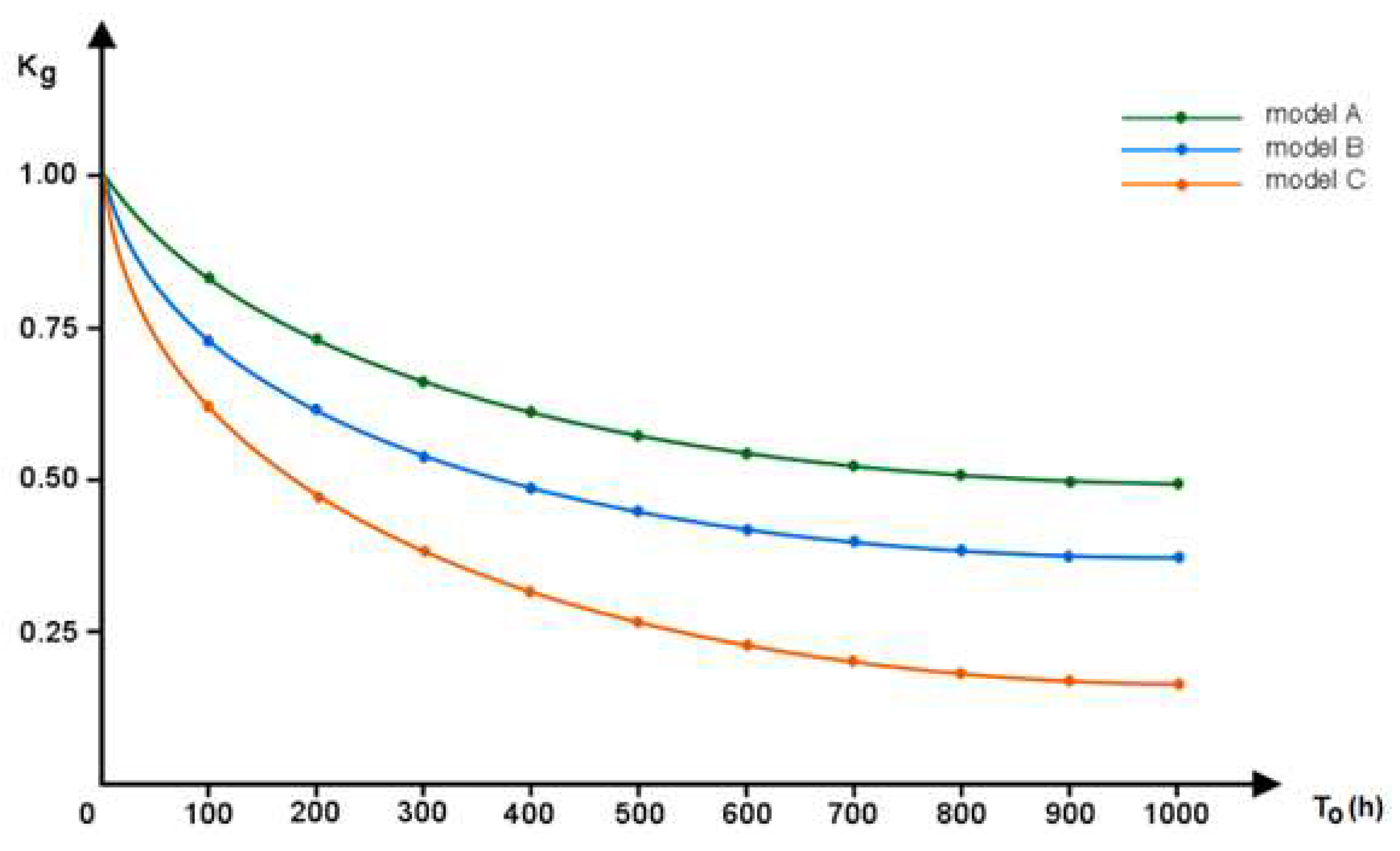
The reliability of the facility after renovation in the maintenance regime was tested for three models of the facility’s operation processes (models: A, B and C). The results obtained are presented graphically in Figure 4 and Figure 5.
In the simulation studies, the indicators characterizing the reliability in the process of the operation of wind farm equipment using the WPPES expert system and the artificial neural network (model A) and FW without the WPPES system (models B and C) were examined. In the simulation analysis, the following values of the reliability assessment of the object were investigated: availability factor Kg and unavailability factor Fch.
The test results obtained are presented in the charts (Figure 4 and Figure 5).
The reliability values (Kg) and (Fch) are determined and presented in Figure 4 and Figure 5, and they are expressed as a function of the test time (To), of the operation process.
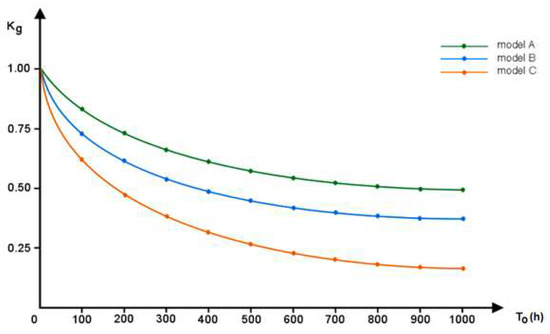
The following requests can be obtained from the analysis of the reliability values (Kg) and (Fch) presented in Figure 4:
  • The results of the size (Kg) test for the model (A and B) are descending, according to the corresponding theoretical characteristics [5,10]. The highest value (Kg) for model A is KgA = 0.7508. However, for other models, this value is: KgB = 0.4931 and KgC = 0.2332, respectively.
  • The value (Kg) tested in the simulation process has also some practicalities: it speaks of the efficiency of the organization of the system related to the application and maintenance of wind farm equipment. From the definition of this value, expressed as Formula (14) (Kg) [1,2,5], it follows that the availability factor (the basic reliability value tested) determines the ability (readiness) to use the wind farm equipment by its time of use (T).
That is why the system of the organization of the operation process presented in a model (A) is the most effective, because the value KgA = 0.7508 is the utmost value. For this value, we may conclude that, during a given lifetime (t = T) for the time (t = 3/4 T) of the wind farm equipment, it is technically fit and capable of performing its functions (i.e., the features required).
On the other hand, for the three models tested (A, B and C), the least effective organization of the wind farm equipment operation process is found in the model (C), while, for model C, the values tested are KgC = 0.2332. Based on this figure (KgC), we may conclude that during the use (t = 1 − 0.2332 T), the wind farm equipment is unable to perform its tasks (this is its ineffective application—standstill S10) (Figure 5).
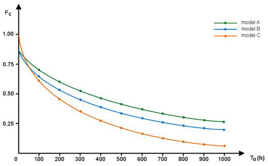
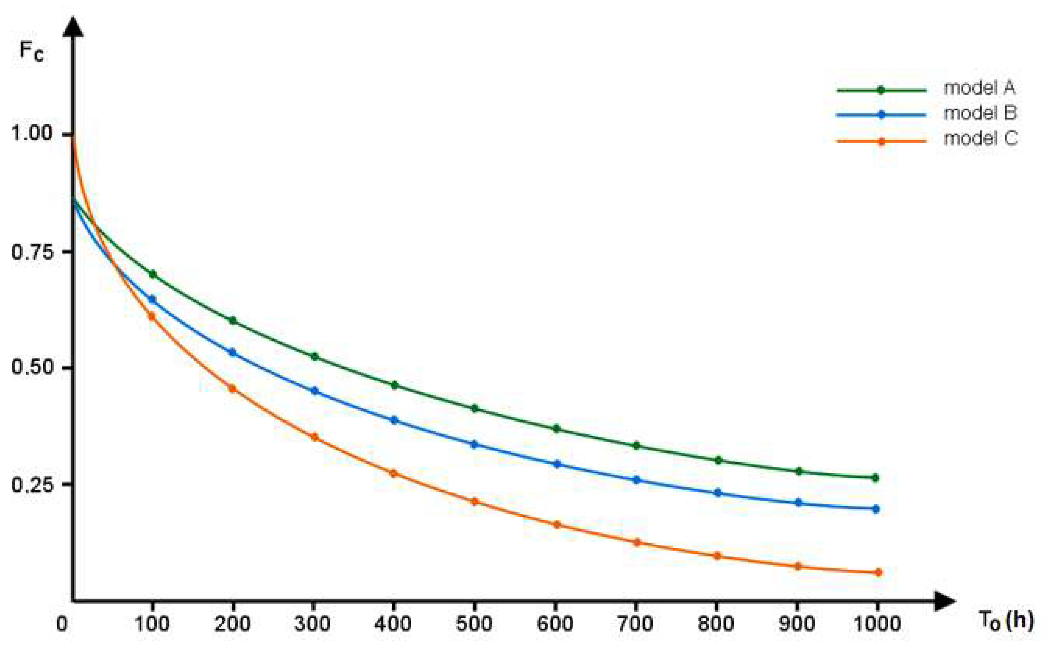
3.
The quality function investigated in the operational process (FC) of the wind farm devices in models (A, B and C), which is presented graphically in Figure 5 and Figure 6, shall be expressed in the simulation time (To) adopted. From the definition of the size (FC), Dependence (2) shows that this value is largely influenced by the expenditure incurred in the organization of the use (operation process) of the wind farm equipment possessing the WPPES expert system in a given model. To test the dependability of the wind farm equipment, the value of fixed inputs for the models (A, B and C) expressed as a linear function was adopted. The analysis (Figure 6) shows that the highest quality of the operational process (FC) is for a model (A), where: FCA = 0.2239, while, for models B and C, these values are, respectively, lower, and they amount to FCB = 0.1979; FCC = 0.0959. It may be assumed that the organization of the use and maintenance system of the wind farm equipment in a model (A) is more expensive. It is a more high-tech process of operating wind farm equipment.
4.
The reliability test of the wind farm equipment in the operation process (Fch) exhibits practicalities (Figure 6). This informs the researcher about the ineffectiveness of the organization (structure) of the proposed process of operating the wind farm equipment under examination. This value represents information on the average share of downtime (damage and maintenance) over the entire period of testing (use and maintenance) of the wind farm equipment.
It follows from the definition of this quantity tested that the nonavailability coefficient (Fch) of the wind farm equipment, which is presented in the form of Dependence (16) [36], determines the inability (unfitness, nonavailability, etc.) to use the wind farm equipment.
Therefore, we may conclude that the higher the value (Fch) is, the greater the reliability of the devices of the wind farm tested is. Based on an analysis of the research results presented graphically, it was established that the most ineffective system for the organization of the wind farm equipment operation process is presented in Model C. The value (Fch) tested accepts the value (FchC = 0.9750), and it is the maximum value for the three models tested. For model A, this value is (FchA = 0.7508), and it is the smallest value. We can also state that, in the operation phase (t = T) tested in time (t = 3/4 T) in model C, the set of the wind farm equipment was technically incapable of carrying out its tasks (the features required).
On the other hand, for the other models (A and B) tested, the smallest ineffectiveness of the organization of the service system in model A for this value was FchA = 0.233. Based on one of these values (FchA), it can be concluded that the reliability of the wind farm equipment in model A was high during operation (t = 1 − 0.2332 T). Therefore, the FW can carry out its tasks (this is an ineffective use: a state of standstill). This state was probably caused by damage to the wind farm equipment in model B or its being in the maintenance system (regeneration time).
5.
The study of the quantities that describe the reliability (durability) of the wind farm equipment in the operational process is an important (basic) tool in taking actions to optimize the efficiency of the operation process of the wind farm equipment.
6.
The research conducted confirms that one of the criteria (methods) for assessing the quality of the model of the wind farm equipment operation process may be a reliability assessment.
The results of the research conducted serve to confirm the correctness of the concept adopted related to the organization of the system for the use and maintenance of wind farm equipment possessing the WPPES system.

4. Discussion

The article presents a method for testing and evaluating the reliability properties of wind farm devices in the operation process. Two new quantities were additionally proposed for the reliability tests of the object tested: the facility operation process quality function (Fc(t)) and the operation process absorption (non-readiness) function (Fch(t)). These two quantities, which feature the reliability of the working process of wind farm equipment, are original values that have not yet been published in the literature.
The study, analysis and monitoring of the real operational process to identify the input data for the testing formed the foundation for the organization of the wind farm device simulation tests. The literature on the subject of dependability testing of complicated technical devices is constantly evolving. Three models of the wind farm operating process are presented in this study for simulation investigations. The first model performed was model A, which describes the operation process of wind farm installations equipped with intelligent systems that support decision-making regarding the safety of their use. The next model developed was model B, which describes the operation process of wind farm equipment without any intelligent WPPES safety decision support systems. Another model was model C, which describes a simple (theoretical) operational process of wind farm equipment. To organize simulation tests, this article covers and describes the following issues:
  • Development of the models (A, B and C) of the operation process of the wind farm equipment.
  • Elaboration of a test plan.
  • Arrangement: input data for the tests describing the functional properties of the object tested, for example, the object’s use time T—the object’s working lifetime, TNA—time to remove the unfitness of the object and TNP—scheduled repair time.
  • Understanding and describing the operation process (use and maintenance) of the wind farm equipment.
The problem of testing the reliability properties of the wind farm equipment during its operation presented in the article is a difficult task. The difficulty of this is due to the acquisition of input data for the research. Numerical data describing the operation of the wind farm equipment can be obtained over a long period of time. The observation time (a measurement of the downtime and service life) in the actual operation process of the wind farm equipment is practically expressed in years during its “life”. The only rational (sensible) attitude towards this type of study is a simulation test. This type of research requires the knowledge and a description of the actual operation process of the wind farm equipment and the determination of reliable input data for the research. At the core of each research, there is a good testing plan (how and in what manner to test) of the wind farm equipment. The grounds for the simulation study of the operation process of wind farm devices are formed by the models developed of the operation process organization.
The following reliability values were examined in the simulation tests to establish the credibility of the wind farm device in the operational process:
The value of coefficient (Kg) for the models of (A, B and C). In the model, the value tested is KgA = 0.7508. On the other hand, for the remaining models, this value is: KgB = 0.4931 and (KgC = 0.2332, respectively. Thus, the most effective system is the organization of the use of wind farm equipment in the operation process in model A;
The operation process quality (FC) function of wind farm devices in the models (A, B and C): the highest quality of the use of the wind farm equipment in the operation process (FC) is for model A, where: FCA = 0.2239. However, for models B and C, these values are respectively lower, and they amount to FCB = 0.1979; FCC = 0.0959.
Unreliability of wind farm equipment in the operation process (Fch): the value (Fch) examined for model C is FchC = 0.9750, and this is the maximum value. For model A, this value is FchA = 0.7508, and this is the smallest value. We can also conclude that, in the lifetime investigated (t = T) for time (t = 3/4 T) in model C, the farm’s equipment set is capable of work.
What forms the basis for the reliability of any simulation study results is the study plan developed, the input data and the quality of the models developed of a given process. The first problem is fundamental. Reliable input data can be determined only based on the study of appropriate time quantities occurring in the real study of the operation process of wind farm equipment. In the simulation study, the time data from the study of the technical documentation analysis of the operation process of the equipment of one wind farm located in the north of Poland was adopted. Models of the operation process of wind farm equipment are theoretical models presented in the literature-based Kolmogorov–Chapman equations. The models are developed properly and correctly. A good software tool: MaTlabon, was used in the simulation studies. On this basis, it can be assumed that the results obtained of the simulation studies are correct and reliable.

5. Conclusions

This paper presents the problem of simulation studies on the reliability of wind farm equipment during its operation using input data from WF equipment. The parameters of these studies describe the actual operation of the wind farm equipment. We found that reliability studies of the real process of any technical object can be carried out over a long period of time. Observation, measurement time: periods of unfitness and fitfulness in the real process of operation of the wind farm equipment are practically expressed in years during its “life”. Therefore, the current acquisition of data on the reliability of the studied object can be obtained through simulation studies reflecting the actual operation of the WF equipment. This type of research requires learning and descripting the real process of the wind farm equipment operation and determining reliable input data for the research by the investigators. The second task that must be released in this type of research is to develop models of the exploitation process of the technical object under study. In this paper, for the purpose of simulation studies, three models (A, B and C) of the exploitation process of wind farm equipment were developed. The expected result of the simulation study of the exploitation process of the wind farm equipment was the reliability, which determined the extent to which reliability indicators influence new solutions for equipping wind farms with new intelligent decision support systems for their safe operation. This article is the only one in the literature on this topic that fully represents the expected reliability results.

Author Contributions

Conceptualization, resources, methodology, software and validation, A.O. and J.P.; formal analysis, investigation and data curation, M.S. and M.W.; writing—original draft preparation, writing—review and editing and visualization, S.D. and R.D. and supervision, project administration and funding acquisition, A.H. All authors have read and agreed to the published version of the manuscript.

Funding

This research was funded by the Faculty of Electronics and Informatics, Technical University of Koszalin, Sniadeckich Str. 2, 75-620 Koszalin, Poland.

Institutional Review Board Statement

Not applicable.

Informed Consent Statement

Not applicable.

Data Availability Statement

The data presented in this article are available at the request of the corresponding author.

Conflicts of Interest

The authors declare no conflict of interest.

Symbols and Acronyms

X(ei,j)diagnostic signal in the jth element of the ith set
X(w)(ei,j)model signal for X(ei,j) signal
FC maxmax. value of the function of the use of the object
W(ε (ei,j))value of state assessment logics for jth element within ith
{2, 1, 0}module (from the set of the accepted three-value logic of the state assessment)
Kg(t) or Kgthe average value of availability function or factor Kg
Fcthe quality function of the object’s operation process
Fchfunction of the object operation process
λdamage intensity
Tothe time of operation process
μrepair intensity
λ1intensity of type I inspections
μ1type I operational maintenance intensity
λ2intensity of type II inspections
μ2type II operational maintenance intensity
P0probability of the system being in state S0
P1probability of the system being in state S1
P01probability of the system being in state S01
P10probability of the system being in state S10
WPPESWind Power Plant Expert System

References

  1. Buchannan, B.; Shortliffe, E. Rule Based Expert Systems; Addison—Wesley Publishing Company: London, UK; Amsterdam, The Netherlands; Don Mills, ON, Canada; Sydney, Australia, 1985; p. 387. [Google Scholar]
  2. Duer, S. Modelling of the operation process of repairable technical objects with the use of information from an artificial neural network. Expert Syst. Appl. 2011, 38, 5867–5878. [Google Scholar] [CrossRef]
  3. Duer, S. Artificial neural network in the control process of object’s states basis for organization of a servicing system of a technical objects. Neural Comput. Appl. 2011, 21, 153–160. [Google Scholar] [CrossRef]
  4. Duer, S. Examination of the reliability of a technical object after its regeneration in a maintenance system with an artificial neural network. Neural Comput. Appl. 2012, 21, 523–534. [Google Scholar] [CrossRef]
  5. Duer, S.; Bernatowicz, D.; Wrzesień, P.; Duer, R. The Diagnostic System with an Artificial Neural Network for Identifying States in Multi-Valued Logic of a Device Wind Power. In Communications in Computer and Information Science; Springer: Berlin/Heidelberg, Germany, 2018; Volume 928, pp. 442–454. [Google Scholar]
  6. Duer, S. Assessment of the Operation Process of Wind Power Plant’s Equipment with the Use of an Artificial Neural Network. Energies 2020, 13, 2437. [Google Scholar] [CrossRef]
  7. Dempster, A.P. Upper and lower probabilities induced by a multi-valued mapping. Ann. Math. Stat. 1967, 38, 325–339. [Google Scholar] [CrossRef]
  8. Dhillon, B.S. Applied Reliability and Quality, Fundamentals, Methods, and Procedures; Springer: London, UK, 2006; p. 186. [Google Scholar]
  9. Hayer-Roth, F.; Waterman, D.; Lenat, D. Building Expert Systems; Addison—Wesley Publishing Company: Boston, MA, USA, 1983; p. 321. [Google Scholar]
  10. Hojjat, A.; Shih, L.H. Machine Learning, Neural Networks, Genetic Algorithms, and Fuzzy Systems; John Wiley & Sons, Inc.: Hoboken, NJ, USA, 1995; p. 398. [Google Scholar]
  11. Kacalak, W.; Majewski, M. New Intelligent Interactive Automated Systems for Design of Machine Elements and Assem-blies. In Lecture Notes in Computer Science 7666, Part IV, Proceedings of the 19th International Conference on Neural Information Processing—ICONIP 2012, Doha, Qatar, 12–15 November 2012; Springer: Berlin/Heidelberg, Germany, 2012; pp. 115–122. [Google Scholar]
  12. Kunjumuhammed, L.P.; Pal, B.C.; Oates, C.; Dyke, K.J. Electrical Oscillations in Wind Farm Systems: Analysis and Insight Based on Detailed Modeling. IEEE Trans. Sustain. Energy 2015, 7, 51–62. [Google Scholar] [CrossRef] [Green Version]
  13. Lipinski, D.; Majewski, M. System for Monitoring and Optimization of Micro- and Nano-Machining Processes Using In-telligent Voice and Visual Communication. In Lecture Notes in Computer Science, Proceedings of the 14th International Conference on Intelligent Data Engineering and Automated Learning—IDEAL 2013, Anhui, China, 20–23 October 2013; Springer: Berlin/Heidelberg, Germany; Volume 8206, pp. 16–23. [Google Scholar]
  14. Mathirajan, M.; Chandru, V.; Sivakumar, A.I. Heuristic algorithms for scheduling heat-treatment furnaces of steel casting industries. Sadhana 2007, 32, 111–119. [Google Scholar] [CrossRef] [Green Version]
  15. Majewski, M.; Kacalak, W. Building Innovative Speech Interfaces Using Patterns and Antipatterns of Commands for Controlling Loader Cranes. In Proceedings of the CSCI 2016, Las Vegas, NV, USA, 15–17 December 2016; IEEE Computer Society; IEEE Xplore Digital Library: Las Vegas, NV, USA, 2016; pp. 525–530. [Google Scholar]
  16. Nakagawa, T. Maintenance Theory of Reliability; Springer: London, UK, 2005. [Google Scholar]
  17. Ito, K.; Nakagawa, T. Optimal inspection policies for a storage system with degradation at periodic tests. Math. Comput. Model. 2000, 31, 191–195. [Google Scholar] [CrossRef]
  18. Palkova, Z.; Okenka, I. Programovanie; Slovak University of Agriculture: Nitra, Slovakia, 2007. [Google Scholar]
  19. Pogaku, N.; Prodanovic, M.; Green, T.C. Modeling, Analysis and Testing of Autonomous Operation of an Inverter-Based Microgrid. IEEE Trans. Power Electron. 2007, 22, 613–625. [Google Scholar] [CrossRef] [Green Version]
  20. Pokoradi, L. Logical Tree of Mathematical Modeling. Theory Appl. Math. Comput. Sci. 2015, 5, 20–28. [Google Scholar]
  21. Shahanaghi, K.; Babaei, H.; Bakhsha, A. A Chance Constrained Model for a Two Units Series Critical System Suffering from Continuous Deterioration. Int. J. Ind. Eng. Prod. Res. 2009, 20, 69–75. [Google Scholar]
  22. Siergiejczyk, M.; Paś, J.; Rosiński, A. Issue of reliability–operation evaluation of electronic transport systems used in the railway environment with consideration of electromagnetic interference. IET Intell. Transp. Syst. 2016, 10, 587–593. [Google Scholar] [CrossRef]
  23. Siergiejczyk, M.; Rosiński, A. Analysis of Power Supply Maintenance in Transport Telematics System. Solid State Phenom. 2014, 210, 14–19. [Google Scholar] [CrossRef]
  24. Siergiejczyk, M.; Stawowy, M. Modelling of uncertainty for continuity quality of Power supply. In Risk, Reliability, and Safety: Innovating Theory and Practice: Modelling of Uncertainty for Continuity Quality of Power Supply, Proceedings of the ESREL 2016, Glasgow, Scotland, 25–29 September 2016; Walls, L., Revie, M., Bedford, T., Eds.; CRC Press/Balkema: London, UK, 2017; pp. 667–671. [Google Scholar]
  25. Dyduch, J.; Paś, J.; Rosiński, A. The Basic of the Operation of Transport Electronic Systems; Publishing House of Radom University of Technology: Radom, Poland, 2011. [Google Scholar]
  26. Epstein, B.; Weissman, I. Mathematical Models for Systems Reliability; CRC Press/Taylor & Francis Group: Boca Raton, FL, USA, 2008. [Google Scholar]
  27. Stawowy, M.; Olchowik, W.; Rosiński, A.; Dąbrowski, T. The Analysis and Modelling of the Quality of Information Acquired from Weather Station Sensors. Remote Sens. 2021, 13, 693. [Google Scholar] [CrossRef]
  28. Sun, J. Impedance-Based Stability Criterion for Grid-Connected Inverters. IEEE Trans. Power Electron. 2011, 26, 3075–3078. [Google Scholar] [CrossRef]
  29. Wiliams, J.M.; Zipser, D. A learning Algorithm for Continually Running Fully Recurrent Neural Networks. Neural Comput. 1989, 1, 270–280. [Google Scholar] [CrossRef]
  30. Zajkowski, K. The method of solution of equations with coefficients that contain measurement errors, using artificial neural network. Neural Comput. Appl. 2014, 24, 431–439. [Google Scholar] [CrossRef] [PubMed] [Green Version]
  31. Duer, S. Investigation of the operation process of a repairable technical object in an expert servicing system with an arti-ficial neural network. Neural Comput. Appl. 2010, 19, 767–774. [Google Scholar] [CrossRef]
  32. Duer, S.; Zajkowski, K.; Harničárová, M.; Charun, H.; Bernatowicz, D. Examination of Multivalent Diagnoses Developed by a Diagnostic Program with an Artificial Neural Network for Devices in the Electric Hybrid Power Supply System “House on Water”. Energies 2021, 14, 2153. [Google Scholar] [CrossRef]
  33. Bernatowicz, D.; Duer, S.; Wrzesień, P. Expert System Supporting the Diagnosis of the Wind Farm Equ. In Communica-tions in Computer and Information Science; Springer: Poznan, Poland, 2018; Volume 928, pp. 432–441. [Google Scholar]
  34. Duer, S.; Zajkowski, K.; Harničárová, M.; Charun, H.; Bernatowicz, D. Neural Networks in the Diagnostics Process of Low-Power Solar Plant Devices. Energies 2021, 14, 2719. [Google Scholar] [CrossRef]
  35. Bedkowski, L.; Dabrowski, T. Basic of the Maintenance Theory; WAT: Warsaw, Poland, 2006; p. 187. [Google Scholar]
  36. Badrzadeh, B.; Gupta, M.; Singh, N.; Petersson, A.; Max, L.; Høgdahl, M. Power system harmonic analysis in wind pow-er plants—Part I: Study methodology and techniques. In Proceedings of the 2012 IEEE Industry Applications Society Annual Meeting, Las Vegas, NV, USA, 7–11 October 2012; pp. 1–11. [Google Scholar]
Figure 1. Diagram of a simple process for handling wind farm equipment, model C.
Figure 1. Diagram of a simple process for handling wind farm equipment, model C.
Energies 15 03583 g001
Figure 2. Diagram of the process of operating wind farm equipment with intelligent WPPES systems and an artificial neural network decision support concerning safety in its use (model A).
Figure 2. Diagram of the process of operating wind farm equipment with intelligent WPPES systems and an artificial neural network decision support concerning safety in its use (model A).
Energies 15 03583 g002
Figure 3. Diagram of the operation process of a wind equipment farm that is not provided with any intelligent WPPES safety decision support systems (model B).
Figure 3. Diagram of the operation process of a wind equipment farm that is not provided with any intelligent WPPES safety decision support systems (model B).
Energies 15 03583 g003
Figure 4. Graph of Kg(t) readiness function for the models tested (A, B and C) of the wind farm equipment in the operation process, where To is the time of the operation process.
Figure 4. Graph of Kg(t) readiness function for the models tested (A, B and C) of the wind farm equipment in the operation process, where To is the time of the operation process.
Energies 15 03583 g004
Figure 5. Graph of the use quality function Fc for the models tested (A, B and C) of the wind farm devices in the operation process, where: To—is the time of the operational process.
Figure 5. Graph of the use quality function Fc for the models tested (A, B and C) of the wind farm devices in the operation process, where: To—is the time of the operational process.
Energies 15 03583 g005
Figure 6. Graph of changes in the facility’s nonavailability coefficient Fch in the facility’s operation process for the operating system models tested (models: A, B and C), where: To is the time of operation process.
Figure 6. Graph of changes in the facility’s nonavailability coefficient Fch in the facility’s operation process for the operating system models tested (models: A, B and C), where: To is the time of operation process.
Energies 15 03583 g006
Publisher’s Note: MDPI stays neutral with regard to jurisdictional claims in published maps and institutional affiliations.

Share and Cite

MDPI and ACS Style

Duer, S.; Paś, J.; Stawowy, M.; Hapka, A.; Duer, R.; Ostrowski, A.; Woźniak, M. Reliability Testing of Wind Power Plant Devices with the Use of an Intelligent Diagnostic System. Energies 2022, 15, 3583. https://doi.org/10.3390/en15103583

AMA Style

Duer S, Paś J, Stawowy M, Hapka A, Duer R, Ostrowski A, Woźniak M. Reliability Testing of Wind Power Plant Devices with the Use of an Intelligent Diagnostic System. Energies. 2022; 15(10):3583. https://doi.org/10.3390/en15103583

Chicago/Turabian Style

Duer, Stanislaw, Jacek Paś, Marek Stawowy, Aneta Hapka, Radosław Duer, Arkadiusz Ostrowski, and Marek Woźniak. 2022. "Reliability Testing of Wind Power Plant Devices with the Use of an Intelligent Diagnostic System" Energies 15, no. 10: 3583. https://doi.org/10.3390/en15103583

APA Style

Duer, S., Paś, J., Stawowy, M., Hapka, A., Duer, R., Ostrowski, A., & Woźniak, M. (2022). Reliability Testing of Wind Power Plant Devices with the Use of an Intelligent Diagnostic System. Energies, 15(10), 3583. https://doi.org/10.3390/en15103583

Note that from the first issue of 2016, this journal uses article numbers instead of page numbers. See further details here.

Article Metrics

Back to TopTop