Abstract
On 11 March 2020, the WHO declared the COVID-19 epidemic to be a global pandemic. This was a consequence of the rapid increase in the number of people with positive test results, the increase in deaths due to COVID-19, and the lack of pharmaceutical drugs. Governments introduced national lockdowns, which have impacted both energy consumption and economies. The purpose of this paper is to answer the following question: do COVID-19 lockdowns affect the business cycle? We used the cycle clock approach to assess the magnitude of decrease in electricity consumption in the three waves of the epidemic, namely, April 2020, November 2021, and April 2021. Additionally, we checked the relation between energy consumption and GDP by means of spectral analysis. Results for selected 28 European countries confirm an impact of the introduced non-pharmaceutical interventions on both energy consumption and business cycle. The reduction of restrictions in subsequent pandemic waves increased electricity consumption, which suggests movement out of the economic recession.
1. Introduction
In the early period of the COVID-19 pandemic’s spread, the first lockdown was introduced on 23 January 2020, in Hubei Province, China [1]. In Europe, the first non-pharmaceutical interventions (NPIs), like advice to self-isolate if experiencing a cough or fever, were introduced in Switzerland on 2 March 2020. In Italy, there were nationwide school closures (5 March 2020), and the ordered lockdown—the government closes all public places, people have to stay at home except for essential travel—started on 11 March 2020 [2]. In the next days and weeks, many countries conducted NPIs. The range of interventions was very vast. The classification and ranking of NPIs are presented in the paper [2].
The work of [3] indicates that the COVID-19 pandemic is the stimulus for a research focused on the politics of crisis, which stems from defining crisis as a threat, uncertainty, and time pressure on economic and political processes. Many governments introduced non-pharmaceutical interventions in order to fight against the virus. Imposing restrictions on borders, transportation (movements); closure of airports; restrictions on trade, tourism, catering; closure of schools and universities; and many other things have made up the national lockdowns. The introduced restrictions range was classified in [4] into the following three classes: soft lockdown, moderate lockdown, hard lockdown. The above-mentioned restrictions imposed in several countries had an impact on regulations in all economic sectors. As a result, those restrictions slowed down the economic activity and a question therefore arises: can the magnitude of this slow down be assessed by the decrease in electricity consumption?
Energy Consumption, Business Cycle and Economic Growth
In the classical approach to economic growth theory, energy consumption is assumed to be an input factor of production (complement to capital and labor). On the other hand, in the so-called conservation hypothesis, it is assumed that ”green” policy has little or no impact on GDP since energy consumption does not influence the dynamics of GDP. On the contrary, the so-called feedback hypothesis assumes that there is a bi-directional causal relationship between energy consumption and GDP. In the neutrality hypothesis, it is assumed that there is no relationship between economic growth and energy consumption. All this means that there is no consensus on the causal linkages between energy consumption and economic growth. Furthermore, results of empirical analysis in this field are ambiguous as well, though we can find some common patterns across geographical regions, which are discussed in Section 2.
Another question is the relation between energy consumption and the business cycle. Although we can extract the business cycle directly from GDP for quarterly time-series, it may be useful to treat energy consumption as a leading business cycle indicator. This is because energy consumption is highly correlated with industrial production and sales (supply side) and consumers expenditures (demand side). There are also some empirical results [5,6] supporting this approach.
Figure 1 shows the average daily number of positive COVID-19 tests for a given month. We are focusing on three moments during the pandemic: April 2020, November 2020, and April 2021 for selected European countries. During those waves, the lockdowns were introduced (as non-pharmaceutical interventions) and impacted energy consumption. NPIs were loosened in January 2021 because the COVID-19 vaccination campaign began.
Figure 1.
Daily average number of confirmed COVID-19 cases (left axis, light blue bars) and deaths (right axis, dark blue bars) in 28 European countries.
Taking all this into account, we formulate the following research hypotheses:
Hypothesis 1 (H1).
Energy consumption can be used as an leading indicator of the business cycle.
Hypothesis 2 (H2).
The energy consumption cycle clock can assess the impact of pandemic lockdowns on the business cycle.
In order to verify these hypotheses, we used tools for time-series filtering in both frequency and time domains. In the former, we used the spectral analysis approach, especially the phase angle measure. In the latter, we used the cycle clock approach, which gives us the possibility to trace changes in business cycle phases. We used quarterly time-series covering the period from the first quarter of 2008 up to the second quarter of 2021 for the following 28 European countries: Austria, Belgium, Bulgaria, Cyprus, Czechia, Germany, Denmark, Estonia, Greece, Spain, Finland, France, Croatia, Hungary, Ireland, Italy, Lithuania, Luxembourg, Latvia, Netherlands, Norway, Poland, Portugal, Romania, Sweden, Slovenia, Slovakia, Turkey. Details of our methodology are described in Section 3.
The remainder of this paper is as follows. In Section 2 we conduct the literature review concerning the impact of the Covid pandemic on energy consumption. We also concentrate on energy consumption as an economic growth barometer studying the results across countries. The next section relates to the methods and data used in our research. The results are described in Section 4. The discussion is provided in the last Section 5. Additionally, we include a broad set of plots for graphical presentation of the results, which can be found in the Appendix A.
2. Literature Review
2.1. Impact of COVID-19 Lockdows on Energy Consumption
In [7], authors using econometric models for the UK, France, and Germany, evaluate the impact of lockdown on human behavior, which led to changes in demand for energy. A broad description of the three components, pandemic, economic downturn, and climate change, are presented in the paper [8]. Another paper [9] presents ten scenarios of energy consumption changes for 20 European countries, indicating an inevitable decrease in consumption from −1.81% to −10.46%. The paper [10] compares long-term trends in energy consumption using ARIMA models and determines the impact of lockdown on the decline in consumption. The paper [11] indicates the effects on six sectors of the economy, including the energy sector, using the example of India. In [12] the impact of the COVID-19 on the economy, energy, and environment is analyzed, indicating catastrophic implications on the entire economy. Similar analyses for the tourism industry are presented in the paper [13].
The impact of lockdown on energy consumption in five regions of India is described in [14], but the effect is different for different sub-periods due to various lockdown measures.
In [15,16,17,18,19,20] the effect of lockdowns on the electricity consumption of domestic users is evaluated showing activity changes in energy consumption levels. The flattening of energy consumption peaks over the daily cycle is presented in the paper [21]. Managing energy consumption to mitigate the effects of lockdown is presented in [22]. Daytime and nighttime energy consumption during the pandemic period is shown as a barometer of economic activity in the work [23].
2.2. Relation between Energy Consumption and Economic Growth
2.2.1. World Wide Analysis
In the paper [24] authors verified different hypotheses of economic growth focusing on the intellectual links between economics and engineering. In the case of oil-exporting counties, there is some evidence for a strong unidirectional causality from economic growth to energy consumption [25]. In the paper [26] authors analyzed 93 countries, and they found that, at the individual country level, there are significant variations in results on the impact of energy consumption on real GDP. In most countries, energy does not have a long-run Granger causal effect on real GDP. In countries where a causality relationship exists, the sign of the effect is negative, meaning that energy consumption has a negative effect on real GDP. The results for panel data were similar: energy consumption caused real GDP for Western Europe, Asia, Latin America, Africa, G6, and the globe. However, the sign of the effect was positive for Asia, Africa, and the world, but the point estimates were all either zero or close to zero. On the other hand, for a two-times smaller panel of economies [27], authors found evidence for energy-led growth hypothesis in 46 selected economies. They also showed that the energy-led growth hypothesis was more prevalent in the high- and middle-income countries compared with their low-income counterparts.
2.2.2. Results for OECD Countries
In [28] authors found that there is a strong cointegrating relationship between energy consumption and economic growth. They propose factor decomposition to distinguish between common and specific factors of energy consumption in OECD countries. In the paper [29] authors found some evidence that a very short-run bidirectional causality exists, and strong unidirectional causality running from capital formation and GDP to energy usage for 30 OECD countries. Results in [30] show that, for OECD countries, it is not only economic complexity that is positively associated with a higher rate of economic growth, but also both non-renewable and renewable energy consumption.
2.2.3. Results for European Union
In the paper [31] authors found that the level of compliance with energy policy targets influences linkages between energy consumption and economic growth. The results indicate causal relations in the group of countries with the greatest reduction of greenhouse gas emissions, the highest reduction of energy intensity, and the highest share of renewable energy consumption in total energy consumption. In the remaining groups, the results mostly confirm the neutrality hypothesis. In further research [32] they show that the relationships between economic growth and electricity consumption depend on the level of renewable energy sector development. In countries with relatively well-developed renewable energy sectors, renewable electricity consumption boosts the economy and vice versa. In the remaining countries, economic growth and electricity consumption are independent.
2.2.4. Results for North and Central America
For the US, in [33] the author did not find evidence that there is a long-term causal relationship between gross energy use and GDP. On the other hand, in [34] the author found evidence for unidirectional long-run Granger causality in the commercial sector from growth to energy, as well as evidence for bi-directional long-run Granger causality in the transport sector. Finally, in [35] authors found that the conservation hypothesis is valid for the US. For Canada in [36] authors found a bidirectional relation between output growth and energy use in the short-run. For Central America, authors in [37] found evidence for both short-run and long-run causality from energy consumption to economic growth, which supports the growth hypothesis.
2.2.5. Results for Africa
For African counties, the author in [38] found that causality runs from GDP to energy consumption in the short-run, and from energy consumption to GDP in the long-run. In addition, they found unidirectional causality running from electricity consumption to GDP in the long-run.
2.2.6. Results for Asia
For Asian countries, ref. [39] found that although economic growth and energy consumption lack short-run causality, there is a long-run unidirectional causality running from energy consumption to economic growth. In the paper [40], authors analyzed energy consumption and GDP in Korea in the period 1970–1999 and for an annual date; they found a long-run bidirectional causal relationship between energy and GDP, and short run unidirectional causality running from energy to GDP. They also analyzed energy consumption and economic growth in Korea based on quarterly data in the period of January 1981–April 2000 [41] and they found no evidence for causality between energy and GDP in the short run and a unidirectional causal relationship running from GDP to energy in the long run. For China in [42] authors found evidence that, from 1999 to 2009, there was unidirectional causation from economic growth to energy consumption in the long-run.
2.2.7. Results for Emerging Economies
For selected emerging economies authors in [43] found that the neutrality hypothesis is valid for Bangladesh, Egypt, Indonesia, Iran, Korea, Mexico, Pakistan, and Philippines, while for Turkey the growth hypothesis is valid. On the other hand, similar analysis conducted in [35] revealed that for Bolivia, Brazil, Canada, El Salvador, Honduras, Nicaragua, Panama, and Paraguay, the growth hypothesis is valid, while the conservation hypothesis is valid for Colombia and Mexico. For the Commonwealth of Independent States, authors in [44] found unidirectional causality from energy consumption to economic growth in the short-run and bidirectional causality in the long-run, which supports the feedback hypothesis. For Greece, authors in [45] found a bi-directional causal relationship between electricity consumption and economic growth. At the same time, results in [46] revealed significant unidirectional linear and non-linear causal linkages running from total useful energy to economic growth.
3. Methods and Data
The comparison analysis of energy consumption dynamics with GDP dynamics was performed based on quarterly data from the period 2008 Q1–2021 Q1. All statistical data were taken from Eurostat databases. We employ the spectral analysis framework, and to verify the first hypothesis, we use the phase angle. The spectral analysis investigates the time series in the frequency domain instead of the time domain. The relation between frequency domain and time domain is obtained directly from the Fourier transform. Taking the frequency bands into account instead of the time moments allows finding the relations between cycles in particular frequencies (low and high).
Let’s consider two time series and . Taking into account the covariance of those processes and applying the Fourier transform, we receive the cross-spectral density represented in complex numbers as follows:
where is a certain frequency, is the real part of a complex number and is called the co-spectrum, while the is the imaginary part and is called the quadratic spectrum. The low frequencies relate to long-time lags, while the high frequencies refer to short-time periods. The spectral analysis gives the following instruments for analysis: the coherence coefficient, which indicates the strength of relation between two series and , and the phase angle to obtain the differences in frequencies and the magnitude of frequency amplitudes. In this research, we use the phase angle to evaluate the leading of examined processes:
This measure presents the phase difference and can be used as a time lag within the frequencies domain. If one phase is leading the second one in the time domain, then the ratio is the lag indicator in the frequency domain. When the phase angle has a constant slope, then the time lag is equal for frequencies for both processes [47]. In our case, a positive value of the phase angle indicates that energy consumption is ahead of business cycle (is a leading indicator). A negative value of the phase angle indicates that business cycle is ahead of energy consumption.
The last tool we use in our research is the business cycle clock, which is the coordinate system where the vertical axis presents the deviation (measured in standard deviations) of differences from the trend. The horizontal axis is the trend component’s year-to-year change (expressed as a percentage). The position (quarter) in the coordinate system indicates the phase of the business cycle. The first quarter is the expansion phase (above the trend with an upward tendency). The second quarter represents the slowdown phase (above the trend with a downward tendency). The third quarter is the recession phase (below the trend with a downward tendency), and the fourth quarter corresponds to the recovery phase (below the trend with an upward tendency).
Research Scenario
In order to check whether energy consumption is a leading indicator of the business cycle, we calculated the phase spectrum between energy consumption (GWh) and GDP. For this purpose, the quarterly data series have been cleared of seasonality and calendar effects using the X-13-ARIMA procedure. A more extensive description of the X-13-ARIMA procedure is presented in [48]. Next, the series were detrended using the Hodrick-Prescott filter with parameter , which means filtering out the 9-year intermediate-term trend. The application of the HP filter gives the business cycle component of zero average, an irregular sinusoid shape, and different duration of growth and decline phases. The HP filter is presented in the work [49], with modification in [50] and its usage for business cycles in [51]. The estimated phase angles (calculated according to Formula (1)) are shown in Figure A1, Figure A2, Figure A3, Figure A4, Figure A5, Figure A6, Figure A7, Figure A8, Figure A9, Figure A10, Figure A11, Figure A12, Figure A13, Figure A14, Figure A15, Figure A16, Figure A17, Figure A18, Figure A19, Figure A20, Figure A21, Figure A22, Figure A23, Figure A24, Figure A25, Figure A26, Figure A27, Figure A28 (graphs (b)).
In the second step, we build the business cycle clocks for energy consumption for 28 European countries. To do this, we need two components: the long-term trend and the business cycle component, which were found through the the X-13-ARIMA procedure and marked as SCA at Figure A1, Figure A2, Figure A3, Figure A4, Figure A5, Figure A6, Figure A7, Figure A8, Figure A9, Figure A10, Figure A11, Figure A12, Figure A13, Figure A14, Figure A15, Figure A16, Figure A17, Figure A18, Figure A19, Figure A20, Figure A21, Figure A22, Figure A23, Figure A24, Figure A25, Figure A26, Figure A27, Figure A28 (graphs (c)). Next, we used the HP filter with the smoothing parameter , which corresponds to cutting off 90.57 months (7.55 years). This gives us the trend component marked at Figure A1, Figure A2, Figure A3, Figure A4, Figure A5, Figure A6, Figure A7, Figure A8, Figure A9, Figure A10, Figure A11, Figure A12, Figure A13, Figure A14, Figure A15, Figure A16, Figure A17, Figure A18, Figure A19, Figure A20, Figure A21, Figure A22, Figure A23, Figure A24, Figure A25, Figure A26, Figure A27, Figure A28 as a trend with a green line on graphs (c).
All the calculations have been computed using gretl program [52] and detailed results are available as a supplementary material attached to the article.
4. Results
Figure A1, Figure A2, Figure A3, Figure A4, Figure A5, Figure A6, Figure A7, Figure A8, Figure A9, Figure A10, Figure A11, Figure A12, Figure A13, Figure A14, Figure A15, Figure A16, Figure A17, Figure A18, Figure A19, Figure A20, Figure A21, Figure A22, Figure A23, Figure A24, Figure A25, Figure A26, Figure A27, Figure A28 present energy consumption and GDP cycles (graphs (a)) and the phase angle between those time series (graphs (b)). We obtained positive values of phase angle for 24 of 28 countries (support for H1) with the following remarks:
- In the case of 8 countries, i.e., Austria, Bulgaria, Cyprus, Czech Republic, Finland, Hungary, Sweden, and Slovenia, values of phase angle are always positive (for all frequencies).
- In the case of 11 countries, i.e., Belgium, Estonia, Greece, Spain, Italy, Croatia, Poland, Portugal, Romania, Slovakia and Turkey, values of phase angle are positive only for low frequencies (which corresponds to a period longer than eight quarters).
- In the case of 4 countries, i.e., Lithuania, Luxembourg, Netherlands, Norway, and France, values of phase angle are positive only for high frequencies (up to 5 quarters).
- In the case of 4 countries, i.e., Germany, Denmark, Ireland, and Latvia, we got either negative values of phase angle or results were inconclusive (which means lack of support for H1).
The above results are crucial for our research and allow us to use energy consumption as a leading indicator of the business cycle.
The second hypothesis is verified using the cycle clock approach for energy consumption. Figure 2 presents cycle clocks for energy consumption for all analyzed countries drawn at three crucial moments of COVID-19 pandemic, i.e., April 2020 (Figure 2a), November 2020 (Figure 2b), and April 2021 (Figure 2c). Table 1 summarizes situation of those countries in terms of energy consumption cycle phase.
Figure 2.
Cycle clocks for energy consumption at April 2020, November 2020 and April 2021 in 28 European countries: Austria (AT), Belgium (BE), Bulgaria (BG), Cyprus (CY), Czechia (CZ), Germany (DE), Denmark (DK), Estonia (EE), Greece (EL), Spain (ES), Finland (FI), France (FR), Croatia (HR), Hungary (HU), Ireland (IE), Italy (IT), Lithuania (LT), Luxembourg (LU), Latvia (LV), Netherlands (NL), Norway (NO), Poland (PL), Portugal (PT), Romania (RO), Sweden (SE), Slovenia (SI), Slovakia (SK), Turkey (TR).
Table 1.
Changes in the trend, cycle, and phase of energy consumption in the analyzed countries after 3 waves of the COVID-19 pandemic.
- In April 2020, at the time of the outbreak of the first wave of the COVID-19 pandemic, energy consumption in all countries was below the trend (all points are below the zero line on Figure 2a).
- A year later, i.e., in April 2021, the position of energy consumption in the cycle moved above the trend in all countries (all points are above the zero line on Figure 2c).
- Successive waves of the COVID-19 pandemic changed the phase of the cycle in all countries at least once. This means that there has been no country whose energy cycle is immune to changes in the economic environment, such as the occurrence of pandemic waves. In other words, when we compare Figure 2a–c, each country moved to another quarter (changed its position) at least once.
- The energy consumption cycle phase was changed twice in 4 countries: Belgium, Lithuania, Netherlands, and Norway.
- In 7 countries, i.e., Denmark, Spain, Finland, France, Ireland, Latvia, and Sweden, the energy consumption didn’t change its cycle phase after the impact of the first wave of the COVID-19 pandemic.
- In the remaining 11 of the 28 countries analyzed, energy consumption changed its cycle phase only after the first wave of COVID-19 and after successive waves their cycle phases remained stable.
Detailed results of energy consumption cycle clocks are presented in Figure A1, Figure A2, Figure A3, Figure A4, Figure A5, Figure A6, Figure A7, Figure A8, Figure A9, Figure A10, Figure A11, Figure A12, Figure A13, Figure A14, Figure A15, Figure A16, Figure A17, Figure A18, Figure A19, Figure A20, Figure A21, Figure A22, Figure A23, Figure A24, Figure A25, Figure A26, Figure A27, Figure A28 (graphs (d)). An essential decrease in energy consumption occurred for Turkey and Ireland. Also, a noticeable change appeared in Estonia, Italy, and Austria. The magnitude of the change in energy consumption levels in April 2020 was so substantial that all analyzed economies went to the slowdown or recovery phase of their business cycle, which was below their long-term trend (see Figure 2a). In April 2021, the introduced NPIs were less rigorous. The lockdowns were not as crucial for the economy or industry as previous lockdowns. All studied countries increased their energy consumption above the trend and turned to a downturn or expansion phase. The highest increase was for Poland. Hungary and Turkey also consumed extensively more energy compared to the long-term trend (see Figure 2c).
Analysis of Figure A1, Figure A2, Figure A3, Figure A4, Figure A5, Figure A6, Figure A7, Figure A8, Figure A9, Figure A10, Figure A11, Figure A12, Figure A13, Figure A14, Figure A15, Figure A16, Figure A17, Figure A18, Figure A19, Figure A20, Figure A21, Figure A22, Figure A23, Figure A24, Figure A25, Figure A26, Figure A27, Figure A28 (graphs (c)) reveals that the trend in energy consumption, estimated for a period from January 2008 to May 2021, did not change its direction in 2020–2021 for many countries and remained constant in 12 countries (Austria, Belgium, Germany, Greece, Spain, Finland, France, Ireland, Italy, Portugal, Sweden, Slovenia). The long-term stability remained unchanged in 10 countries (Bulgaria, Cyprus, Lithuania, Luxembourg, Latvia, Netherlands, Norway, Poland, Romania, Slovakia). Despite a temporary decline, the upward trend remained unchanged in 6 countries (Czech Republic, Denmark, Estonia, Croatia, Hungary, and Turkey). However, the decrease in April 2020 (due to lockdowns imposed in March 2020) and its persistence in the next few periods strongly impacted the energy consumption in many countries, reducing the usage and changing the long-term trend.
5. Discussion and Conclusions
If we look at Figure A1, Figure A2, Figure A3, Figure A4, Figure A5, Figure A6, Figure A7, Figure A8, Figure A9, Figure A10, Figure A11, Figure A12, Figure A13, Figure A14, Figure A15, Figure A16, Figure A17, Figure A18, Figure A19, Figure A20, Figure A21, Figure A22, Figure A23, Figure A24, Figure A25, Figure A26, Figure A27, Figure A28 we can observe that in analyzed countries the largest decline in energy consumption occurred during the first pandemic wave (the first several weeks starting from March 2020). This was related to deep lockdowns introduced by governments. For subsequent waves of increased morbidity, lockdowns were no longer as broad as during the first wave.
After the first wave (March–April 2020), many European governments lifted the restrictions by May–June 2020. People became more reckless during the summer of 2020, and the pandemic returned, starting the so-called second wave in September–November. In all European countries that did well during the first wave, i.e., where infection rates were low, during the second wave infection rates increased in September and October 2020. In many countries, governments reintroduced countermeasures to limit the spread of the pandemic, including identification and isolation of infected people, together with tracking and quarantining people with whom they have had close contact. Governments closed borders and imposed strict pandemic rules again, but only for some selected sectors of the economy (e.g., tourism, hospitality, food service, and trade). Many companies switched to remote working, including primary and higher education. Local lockdowns were also introduced. The range of initiated economic restrictions was smaller and did not cause such a substantial impact on the economy as during the first wave. Still, it did not protect societies from a solid increase in the level of illnesses and deaths. The change in the level of electricity consumption can be seen in Figure 2b.
Looking at the results of business cycle clocks, the business cycle phase changed from a deep recession to the middle level (trend) or to the recovery phase in most countries. Only in 2 of the 28 analyzed economies, i.e., Sweden and Norway, the cycle phase changed a little and remained around its long-term trend (zero level horizontal axis). This is probably because these countries did not introduce taught economic restrictions, but only those of a social nature (social distance, masks, closure of mass events).
The third pandemic wave occurred in March and April 2021, and governments also introduced restrictions to control its spread. These restrictions were mainly of a “soft” type, i.e., limited to social restrictions (distance, masks) with minor economic countermeasures. These limited lockdowns resulted from the start of the vaccination campaign in December 2020 and its widening in the subsequent months. The ongoing broad vaccination campaign discouraged the governments from the introduction of subsequent non-pharmaceutical economic restrictions. Figure 2c indicates that the influence of lockdown constraints on economic sectors were negligible, and the cycle clock indicated positions above the long-term trend level for all 28 analyzed economies.
By May 2021, we had three waves of the COVID-19 pandemic. In the summer of 2021 (July–September), a fourth wave appeared in some countries. In Europe, a substantial increase in new COVID-19 cases has been observed since October or November. Central and Eastern European countries are the most affected (Slovenia, Slovakia, Romania, Latvia, Hungary, Russia, Ukraine), where the rate of increase in new COVID-19 cases may be related to the vaccination rate. At the beginning of November 2021, the best situation was in Portugal and Spain, where over 80% of the population was vaccinated. At the same time, an average for all European countries was 60% [53]. The above-mentioned CEE countries have vaccination rates far below the European mean. It seems that two factors can assess the current pandemic status in different countries: vaccination rate, and a related set of imposed non-pharmaceutical restrictions (which is well described by the Stringency Index). Those two factors can directly influence economic activity measured by many economic factors, including electricity consumption.
A literature review confirms that the range of non-pharmaceutical interventions introduced by national governments were so broad that in many countries it was referred to as a so-called hard lockdown [4,54,55,56]. The non-pharmaceutical countermeasures introduced in March and April 2020 aimed to gain control over the spread of the virus and prevent the health system’s collapse. This objective was achieved, however, these preventatives had a strong negative impact on the economy, including the level of energy consumption. Similar results have been obtained in [9], where authors point out that the strongest decline has occurred in the hotel, restaurant, and retail sectors. The results of our research are in line with [57] who state that the COVID-19 pandemic affected the energy markets, increasing an overall uncertainty. We agree with [58] that COVID-19 restrictions imposed in order to slowdown the morbidity of coronavirus cases changed people’s habits and work practices, which impacted both energy demand and its consumption. The COVID-19 pandemic also changed the structure of energy consumption, which is presented in [17] in the case of Canada.
We found in our research that energy consumption can be used as a leading indicator of the business cycle. The limitation of this study concerns the following issues. We have focused on the European countries, mainly from European Union, where the differences in introducing the NPIs are not so substantial. Most of these countries have proceeded similarly with the fight with the virus. We do not take into account the adoption in people habits during the pandemic period, i.e., work habits or more intensive home residence. The effect of this change influenced energy consumption by reducing the usage of electricity [58].
Future research on the relation between COVID-19 restrictions and energy consumption or GDP growth can be directed to the MIDAS approach, where we may use time-series at different frequencies. Examples of such analysis are in [59,60]. In [61], authors use energy consumption as a GDP factor in Denmark. Similar conclusions for Sweden are presented in [62]. In [63], authors pointed out that energy consumption datasets are available at relatively high frequencies and are always accessible, what makes them very useful.
The COVID-19 pandemic can have long-term consequences not only for human health but also for economic conditions. In our opinion, the fact that the position of energy consumption in the cycle moved above the trend in all countries (Figure 2c) may be the biggest threat for reducing energy use and implementing green policy in Europe.
Supplementary Materials
The following supporting information can be downloaded at: https://www.mdpi.com/article/10.3390/en15010340/s1.
Author Contributions
All authors contributed equally to this work. All authors have read and agreed to the published version of the manuscript.
Funding
The research was funded by a grant awarded in the CRUSH programme within Nicolaus Copernicus University’s “Excellence Initiative-Research University” project (ID-UB).
Institutional Review Board Statement
Not applicable.
Informed Consent Statement
Not applicable.
Data Availability Statement
Publicly available datasets were analyzed in this study. This data can be found at https://ec.europa.eu/eurostat/data/database.
Acknowledgments
We would like to thank three anonymous Reviewers for their helpful comments and suggestions.
Conflicts of Interest
The authors declare no conflict of interest.
Abbreviations
The following abbreviations are used in this manuscript:
| NPI | Non-pharmaceutical interventions |
| SCA | Seasonally and Calendar Adjusted |
| GDP | Gross Domestic Product |
| MIDAS | Mixed-data sampling |
| CEE | Central and Eastern Europe |
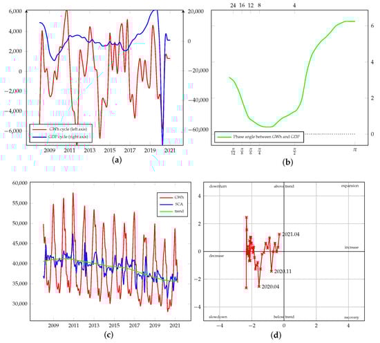
Appendix A
The energy consumption (GWh) and GDP cycles (graphs (a)), phase angle between GWh and GDP (graphs (b)), original values (red lines), the seasonally and calendar adjusted data (blue lines), and the trend (green lines) of energy consumption (graphs (c)), and energy consumption cycle clocks (graphs (d)) for selected European countries.
Figure A1.
Detailed results of cross-spectral analysis for Austria.
Figure A2.
Detailed results of cross-spectral analysis for Belgium.
Figure A3.
Detailed results of cross-spectral analysis for Bulgaria.
Figure A4.
Detailed results of cross-spectral analysis for Cyprus.
Figure A5.
Detailed results of cross-spectral analysis for Czech Republic.
Figure A6.
Detailed results of cross-spectral analysis for Germany.
Figure A7.
Detailed results of cross-spectral analysis for Denmark.
Figure A8.
Detailed results of cross-spectral analysis for Estonia.
Figure A9.
Detailed results of cross-spectral analysis for Greece.
Figure A10.
Detailed results of cross-spectral analysis for Spain.
Figure A11.
Detailed results of cross-spectral analysis for Finland.
Figure A12.
Detailed results of cross-spectral analysis for France.
Figure A13.
Detailed results of cross-spectral analysis for Croatia.
Figure A14.
Detailed results of cross-spectral analysis for Hungary.
Figure A15.
Detailed results of cross-spectral analysis for Ireland.
Figure A16.
Detailed results of cross-spectral analysis for Italy.
Figure A17.
Detailed results of cross-spectral analysis for Lithuania.
Figure A18.
Detailed results of cross-spectral analysis for Luxembourg.
Figure A19.
Detailed results of cross-spectral analysis for Latvia.
Figure A20.
Detailed results of cross-spectral analysis for Netherlands.
Figure A21.
Detailed results of cross-spectral analysis for Norway.
Figure A22.
Detailed results of cross-spectral analysis for Poland.
Figure A23.
Detailed results of cross-spectral analysis for Portugal.
Figure A24.
Detailed results of cross-spectral analysis for Romania.
Figure A25.
Detailed results of cross-spectral analysis for Sweden.
Figure A26.
Detailed results of cross-spectral analysis for Slovenia.
Figure A27.
Detailed results of cross-spectral analysis for Slovakia.
Figure A28.
Detailed results of cross-spectral analysis for Turkey.
References
- Ainslie, K.; Walters, C.; Fu, H.; Bhatia, S.; Wang, H.; Baguelin, M.; Bhatt, S.; Boonyasiri, A.; Boyd, O.; Cattarino, L.; et al. Report 11: Evidence of Initial Success for China Exiting COVID-19 Social Distancing Policy after Achieving Containment; Technical report; WHO Collaborating Centre for Infectious Disease Modelling: London, UK; MRC Centre for Global Infectious Disease Analysis: London, UK; Abdul Latif Jameel Institute for Disease and Emergency Analytics: London, UK; Imperial College London: London, UK, 2020. [Google Scholar] [CrossRef]
- Haug, N.; Geyrhofer, L.; Londei, A.; Hot Dervic, E.; Desvars, A.; Loreto, V.; Conrady, B.; Thurner, S.; Klimek, P. Ranking the effectiveness of worldwide COVID-19 government interventions. Nat. Hum. Behav. 2020, 4, 1–10. [Google Scholar] [CrossRef]
- Lipscy, P.Y. COVID-19 and the Politics of Crisis. Int. Organ. 2020, 74, E98–E127. [Google Scholar] [CrossRef]
- Plümper, T.; Neumayer, E. Lockdown policies and the dynamics of the first wave of the Sars-CoV-2 pandemic in Europe. J. Eur. Public Policy 2020, 27, 1–21. [Google Scholar] [CrossRef]
- Brown, S.P.A.; Thompson, J.; Yücel, M.K. Business Cycles: The Role of Energy Prices; Working Papers 0304; Federal Reserve Bank of Dallas: Dallas, TX, USA, 2003. [Google Scholar]
- Li, T.; Li, X.; Liao, G. Business cycles and energy intensity. Evidence from emerging economies. Borsa Istanb. Rev. 2021. [Google Scholar] [CrossRef]
- Hauser, P.; Schönheit, D.; Scharf, H.; Anke, C.P.; Möst, D. Covid-19’s Impact on European Power Sectors: An Econometric Analysis. Energies 2021, 14, 1639. [Google Scholar] [CrossRef]
- Aktar, M.A.; Alam, M.M.; Al-Amin, A.Q. Global economic crisis, energy use, CO2 emissions, and policy roadmap amid COVID-19. Sustain. Prod. Consum. 2021, 26, 770–781. [Google Scholar] [CrossRef]
- Mirnezami, S.R.; Rajabi, S. Changing Primary Energy Consumption Due to COVID-19: The Study 20 European Economies. Int. J. Energy Econ. Policy 2021, 11, 615–631. [Google Scholar] [CrossRef]
- Wang, Q.; Li, S.; Jiang, F. Uncovering the impact of the COVID-19 pandemic on energy consumption: New insight from difference between pandemic-free scenario and actual electricity consumption in China. J. Clean. Prod. 2021, 313, 127897. [Google Scholar] [CrossRef]
- Nayak, J.; Mishra, M.; Naik, B.; Swapnarekha, H.; Cengiz, K.; Shanmuganathan, V. An impact study of COVID-19 on six different industries: Automobile, energy and power, agriculture, education, travel and tourism and consumer electronics. Exp. Syst. 2021, 38, 1–32. [Google Scholar] [CrossRef]
- Priya, S.S.; Cuce, E.; Sudhakar, K. A perspective of COVID 19 impact on global economy, energy and environment. Int. J. Sustain. Eng. 2021, 14, 1290–1305. [Google Scholar] [CrossRef]
- Zhang, D.; Li, H.; Zhu, H.; Zhang, H.; Goh, H.H.; Wong, M.C.; Wu, T. Impact of COVID-19 on Urban Energy Consumption of Commercial Tourism City. Sustain. Cities Soc. 2021, 73, 103133. [Google Scholar] [CrossRef]
- Aruga, K.; Islam, M.M.; Jannat, A. Effects of COVID-19 on Indian Energy Consumption. Sustainability 2020, 12, 5616. [Google Scholar] [CrossRef]
- Bielecki, S.; Skoczkowski, T.; Sobczak, L.; Buchoski, J.; Maciąg, L.; Dukat, P. Impact of the Lockdown during the COVID-19 Pandemic on Electricity Use by Residential Users. Energies 2021, 14, 980. [Google Scholar] [CrossRef]
- Soava, G.; Mehedintu, A.; Sterpu, M.; Grecu, E. The Impact of the COVID-19 Pandemic on Electricity Consumption and Economic Growth in Romania. Energies 2021, 14, 2394. [Google Scholar] [CrossRef]
- Rouleau, J.; Gosselin, L. Impacts of the COVID-19 lockdown on energy consumption in a Canadian social housing building. Appl. Energy 2021, 287, 116565. [Google Scholar] [CrossRef]
- García, S.; Parejo, A.; Personal, E.; Ignacio Guerrero, J.; Biscarri, F.; León, C. A retrospective analysis of the impact of the COVID-19 restrictions on energy consumption at a disaggregated level. Appl. Energy 2021, 287, 116547. [Google Scholar] [CrossRef]
- Halbrügge, S.; Schott, P.; Weibelzahl, M.; Buhl, H.U.; Fridgen, G.; Schöpf, M. How did the German and other European electricity systems react to the COVID-19 pandemic? Appl. Energy 2021, 285, 116370. [Google Scholar] [CrossRef]
- Kirli, D.; Parzen, M.; Kiprakis, A. Impact of the COVID-19 Lockdown on the Electricity System of Great Britain: A Study on Energy Demand, Generation, Pricing and Grid Stability. Energies 2021, 14, 635. [Google Scholar] [CrossRef]
- Abu-Rayash, A.; Dincer, I. Analysis of the electricity demand trends amidst the COVID-19 coronavirus pandemic. Energy Res. Soc. Sci. 2020, 68, 101682. [Google Scholar] [CrossRef] [PubMed]
- Strielkowski, W.; Firsova, I.; Lukashenko, I.; Raudeliūnienė, J.; Tvaronavičienė, M. Effective Management of Energy Consumption during the COVID-19 Pandemic: The Role of ICT Solutions. Energies 2021, 14, 893. [Google Scholar] [CrossRef]
- Beyer, R.C.; Franco-Bedoya, S.; Galdo, V. Examining the economic impact of COVID-19 in India through daily electricity consumption and nighttime light intensity. World Dev. 2021, 140, 105287. [Google Scholar] [CrossRef]
- Beaudreau, B.C. Engineering and economic growth. Struct. Chang. Econ. Dyn. 2005, 16, 211–220. [Google Scholar] [CrossRef]
- Mehrara, M. Energy consumption and economic growth: The case of oil exporting countries. Energy Policy 2007, 35, 2939–2945. [Google Scholar] [CrossRef]
- Narayan, P.K.; Popp, S. The energy consumption-real GDP nexus revisited: Empirical evidence from 93 countries. Econ. Model. 2012, 29, 303–308. [Google Scholar] [CrossRef]
- Apergis, N.; Tang, C.F. Is the energy-led growth hypothesis valid? New evidence from a sample of 85 countries. Energy Econ. 2013, 38, 24–31. [Google Scholar] [CrossRef]
- Belke, A.; Dobnik, F.; Dreger, C. Energy consumption and economic growth: New insights into the cointegration relationship. Energy Econ. 2011, 33, 782–789. [Google Scholar] [CrossRef] [Green Version]
- Coers, R.; Sanders, M. The energy-GDP nexus; addressing an old question with new methods. Energy Econ. 2013, 36, 708–715. [Google Scholar] [CrossRef] [Green Version]
- Gozgor, G.; Lau, C.K.M.; Lu, Z. Energy consumption and economic growth: New evidence from the OECD countries. Energy 2018, 153, 27–34. [Google Scholar] [CrossRef] [Green Version]
- Śmiech, S.; Papież, M. Energy consumption and economic growth in the light of meeting the targets of energy policy in the EU: The bootstrap panel Granger causality approach. Energy Policy 2014, 71, 118–129. [Google Scholar] [CrossRef]
- Papież, M.; Śmiech, S.; Frodyma, K. Effects of renewable energy sector development on electricity consumption–Growth nexus in the European Union. Renew. Sustain. Energy Rev. 2019, 113, 109276. [Google Scholar] [CrossRef]
- Stern, D.I. Energy and economic growth in the USA: A multivariate approach. Energy Econ. 1993, 15, 137–150. [Google Scholar] [CrossRef]
- Gross, C. Explaining the (non-) causality between energy and economic growth in the U.S.—A multivariate sectoral analysis. Energy Econ. 2012, 34, 489–499. [Google Scholar] [CrossRef] [Green Version]
- Rodríguez-Caballero, C.V.; Ventosa-Santaulària, D. Energy-growth long-term relationship under structural breaks. Evidence from Canada, 17 Latin American economies and the USA. Energy Econ. 2017, 61, 121–134. [Google Scholar] [CrossRef]
- Ghali, K.H.; El-Sakka, M. Energy use and output growth in Canada: A multivariate cointegration analysis. Energy Econ. 2004, 26, 225–238. [Google Scholar] [CrossRef]
- Apergis, N.; Payne, J.E. Energy consumption and economic growth in Central America: Evidence from a panel cointegration and error correction model. Energy Econ. 2009, 31, 211–216. [Google Scholar] [CrossRef]
- Ouedraogo, N.S. Energy consumption and economic growth: Evidence from the economic community of West African States (ECOWAS). Energy Econ. 2013, 36, 637–647. [Google Scholar] [CrossRef]
- Lee, C.C.; Chang, C.P. Energy consumption and economic growth in Asian economies: A more comprehensive analysis using panel data. Resour. Energy Econ. 2008, 30, 50–65. [Google Scholar] [CrossRef]
- Oh, W.; Lee, K. Causal relationship between energy consumption and GDP revisited: The case of Korea 1970–1999. Energy Econ. 2004, 26, 51–59. [Google Scholar] [CrossRef]
- Oh, W.; Lee, K. Energy consumption and economic growth in Korea: Testing the causality relation. J. Policy Model. 2004, 26, 973–981. [Google Scholar] [CrossRef]
- Herrerias, M.; Joyeux, R.; Girardin, E. Short- and long-run causality between energy consumption and economic growth: Evidence across regions in China. Appl. Energy 2013, 112, 1483–1492. [Google Scholar] [CrossRef]
- Yıldırım, E.; Sukruoglu, D.; Aslan, A. Energy consumption and economic growth in the next 11 countries: The bootstrapped autoregressive metric causality approach. Energy Econ. 2014, 44, 14–21. [Google Scholar] [CrossRef]
- Apergis, N.; Payne, J.E. Energy consumption and economic growth: Evidence from the Commonwealth of Independent States. Energy Econ. 2009, 31, 641–647. [Google Scholar] [CrossRef]
- Polemis, M.L.; Dagoumas, A.S. The electricity consumption and economic growth nexus: Evidence from Greece. Energy Policy 2013, 62, 798–808. [Google Scholar] [CrossRef]
- Dergiades, T.; Martinopoulos, G.; Tsoulfidis, L. Energy consumption and economic growth: Parametric and non-parametric causality testing for the case of Greece. Energy Econ. 2013, 36, 686–697. [Google Scholar] [CrossRef] [Green Version]
- Fishman, G.S. Spectral Methods in Econometrics; Harvard University Press: Cambridge, MA, USA, 1969. [Google Scholar] [CrossRef]
- Sax, C.; Eddelbuettel, D. Seasonal Adjustment by X-13ARIMA-SEATS in R. J. Stat. Softw. 2018, 87, 1–17. [Google Scholar] [CrossRef] [Green Version]
- Hodrick, R.; Prescott, E. Postwar U.S. Business Cycles: An Empirical Investigation. J. Money Credit. Bank. 1997, 29, 1–16. [Google Scholar] [CrossRef]
- Kaiser, R.; Maravall, A. Estimation of the business cycle: A modified Hodrick-Prescott filter. Span. Econ. Rev. 1999, 1, 175–206. [Google Scholar] [CrossRef]
- Osińska, M.; Kufel, T.; Błażejowski, M.; Kufel, P. Business cycle synchronization in the EU economies after the recession of 2007–2009. Argum. Oeconomica 2016, 37, 5–30. [Google Scholar] [CrossRef]
- Cottrell, A.; Lucchetti, R. Gretl User’s Guide. Available online: http://gretl.sourceforge.net/gretl-help/gretl-guide.pdf (accessed on 30 December 2021).
- Ritchie, H.; Mathieu, E.; Rodés-Guirao, L.; Appel, C.; Giattino, C.; Ortiz-Ospina, E.; Hasell, J.; Macdonald, B.; Beltekian, D.; Roser, M. Coronavirus Pandemic (COVID-19). Our World Data 2020. Available online: https://ourworldindata.org/coronavirus (accessed on 30 December 2021). [CrossRef]
- Kabiraj, A.; Pal, D.; Bhattacherjee, P.; Chatterjee, K.; Majumdar, R.; Ganguly, D. How Successful is a Lockdown During a Pandemic? In Proceedings of the 2020 IEEE 17th India Council International Conference (INDICON), New Delhi, India, 10–13 December 2020; pp. 1–6. [Google Scholar] [CrossRef]
- Mboera, L.E.; Akipede, G.O.; Banerjee, A.; Cuevas, L.E.; Czypionka, T.; Khan, M.; Kock, R.; McCoy, D.; Mmbaga, B.T.; Misinzo, G.; et al. Mitigating lockdown challenges in response to COVID-19 in Sub-Saharan Africa. Int. J. Infect. Dis. 2020, 96, 308–310. [Google Scholar] [CrossRef] [PubMed]
- Haider, N.; Osman, A.Y.; Gadzekpo, A.; Akipede, G.O.; Asogun, D.; Ansumana, R.; Lessells, R.J.; Khan, P.; Hamid, M.M.A.; Yeboah-Manu, D.; et al. Lockdown measures in response to COVID-19 in nine sub-Saharan African countries. BMJ Glob. Health 2020, 5, e003319. [Google Scholar] [CrossRef]
- Shaikh, I. Impact of COVID-19 pandemic on the energy markets. Econ. Chang. Restruct. 2021, 1–52. [Google Scholar] [CrossRef]
- Jiang, P.; Fan, Y.V.; Klemeš, J.J. Impacts of COVID-19 on energy demand and consumption: Challenges, lessons and emerging opportunities. Appl. Energy 2021, 285, 116441. [Google Scholar] [CrossRef] [PubMed]
- Andreani, M.; Candila, V.; Morelli, G.; Petrella, L. Multivariate Analysis of Energy Commodities during the COVID-19 Pandemic: Evidence from a Mixed-Frequency Approach. Risks 2021, 9, 144. [Google Scholar] [CrossRef]
- Apergis, E.; Apergis, N. Can the COVID-19 pandemic and oil prices drive the US Partisan Conflict Index? Energy Res. Lett. 2020, 1, 13144. [Google Scholar] [CrossRef]
- Bentsen, K.N.; Gorea, D. Nowcasting and Forecasting Economic Activity in Denmark Using Payment System Data; Working Paper 177; Danmarks Nationalbank: Copenhagen, Denmark, 2021. [Google Scholar]
- Ankargren, S.; Lindholm, U. Nowcasting Swedish GDP Growth; Working Paper 154; The National Institute of Economic Research: London, UK, 2021. [Google Scholar]
- Gül, S.; Kazdal, A. Nowcasting and Short-Term Forecasting Turkish GDP: Factor-MIDAS Approach; Working Paper 21/11; Central Bank of the Republic of Turkey: Ankara, Turkey, 2021. [Google Scholar]
Publisher’s Note: MDPI stays neutral with regard to jurisdictional claims in published maps and institutional affiliations. |
© 2022 by the authors. Licensee MDPI, Basel, Switzerland. This article is an open access article distributed under the terms and conditions of the Creative Commons Attribution (CC BY) license (https://creativecommons.org/licenses/by/4.0/).





























