Effect of Phase Change Materials on the Thermal Performance of Residential Building Located in Different Cities of a Tropical Rainforest Climate Zone
Abstract
1. Introduction
2. Methodology
2.1. Climate Characteristics
2.2. Building Description
2.3. Thermal Comfort Limits and PCM Selection
2.4. Characterization of PCM
2.5. Energy Plus and Design Builder
2.6. Validation
2.7. Evaluation of the Thermal Performance
2.7.1. Daily Peak Temperature Drop
2.7.2. Total Temperature Drop
2.8. Ventilation
3. Results
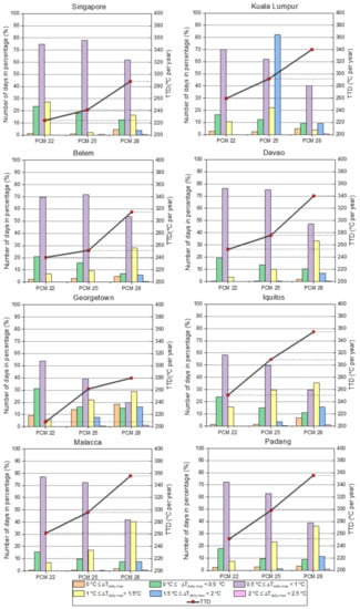
3.1. Impact of PCM the Thermal Performance
3.2. Impact of PCM Combined with Ventilation Techniques on the Thermal Performance
3.2.1. Natural Ventilation
3.2.2. Mechanical Ventilation
4. Conclusions and Recommendations
- In all cities, compared to PCM 22 and PCM 25, PCM 28 showed the most efficient performance in terms of the daily peak temperature drop and Total Temperature Drop. Thus, it can be considered as optimum for the whole Af climate zone. The usage of PCM 28 resulted in the TTD values of all the cities ranging from 279 °C per year to 356 °C per year.
- Introducing natural ventilation for the nighttime period helped to increase the TTD values by up to 15%. In Padang and Iquitos, the integration of NV resulted in TTD values of 8.85% and 7.18%, respectively. The less effective performance of NV in these two cities was related to the lower wind speed values. The results suggested that the effectiveness of NV is directly dependent on the wind speed.
- Introducing mechanical ventilation helped to increase the TTD values for all the cities by 16–45%. It demonstrated that the forced airflow rate could be beneficial for the tropical climate. A comparison between the two ventilation types demonstrated the superiority of MV over NV, as the second one heavily depends on the weather conditions of the location.
- Overall, PCM 28 combined with MV can be successfully used to improve the thermal performance of a building located in the Af climate zone.
- For future studies, it is recommended to investigate the impact of the outside relative humidity on the thermal comfort conditions inside a PCM-integrated building located in the Af climate zone. Additionally, the impact of the window opening area on the thermal performance of a building in the Af climate zone should be evaluated.
Author Contributions
Funding
Institutional Review Board Statement
Informed Consent Statement
Conflicts of Interest
References
- IEA Fossil Fuel Energy Consumption. Available online: https://data.worldbank.org/indicator/EG.USE.COMM.FO.ZS (accessed on 24 May 2020).
- IEA Energy Efficiency: Buildings. Available online: https://www.iea.org/topics/energyefficiency/buildings/ (accessed on 15 August 2019).
- Du, K.; Calautit, J.; Wang, Z.; Wu, Y.; Liu, H. A review of the applications of phase change materials in cooling, heating and power generation in different temperature ranges. Appl. Energy 2018, 220, 242–273. [Google Scholar] [CrossRef]
- Oró, E.; de Gracia, A.; Castell, A.; Farid, M.M.; Cabeza, L.F. Review on phase change materials (PCMs) for cold thermal energy storage applications. Appl. Energy 2012, 99, 513–533. [Google Scholar] [CrossRef]
- Kasaeian, A.; Bahrami, L.; Pourfayaz, F.; Khodabandeh, E.; Yan, W.M. Experimental studies on the applications of PCMs and nano-PCMs in buildings: A critical review. Energy Build. 2017, 154, 96–112. [Google Scholar] [CrossRef]
- Rao, V.V.; Parameshwaran, R.; Ram, V.V. PCM-mortar based construction materials for energy efficient buildings: A review on research trends. Energy Build. 2018, 158, 95–122. [Google Scholar] [CrossRef]
- Zhou, G.; Yang, Y.; Wang, X.; Zhou, S. Numerical analysis of effect of shape-stabilized phase change material plates in a building combined with night ventilation. Appl. Energy 2009, 86, 52–59. [Google Scholar] [CrossRef]
- Alam, M.; Sanjayan, J.; Zou, P.X.W.; Ramakrishnan, S.; Wilson, J. Evaluating the passive and free cooling application methods of phase change materials in residential buildings: A comparative study. Energy Build. 2017, 148, 238–256. [Google Scholar] [CrossRef]
- Zhang, Y.; Cui, H.; Tang, W. Effect of Summer Ventilation on the Thermal Performance and Energy Efficiency of Buildings Utilizing Phase Change Materials. Energies 2017, 10, 1214. [Google Scholar] [CrossRef]
- Evola, G.; Marletta, L.; Sicurella, F. A methodology for investigating the effectiveness of PCM wallboards for summer thermal comfort in buildings. Energy Build. 2014, 70, 480–489. [Google Scholar] [CrossRef]
- Jamil, H.; Alam, M.; Sanjayan, J.; Wilson, J. Investigation of PCM as retrofitting option to enhance occupant thermal comfort in a modern residential building. Energy Build. 2016, 133, 217–229. [Google Scholar] [CrossRef]
- Li, D.; Zheng, Y.; Liu, C.; Wu, G. Numerical analysis on thermal performance of roof contained PCM of a single residential building. Energy Convers. Manag. 2015, 100, 147–156. [Google Scholar] [CrossRef]
- Ahangari, M.; Maerefat, M. An innovative PCM system for thermal comfort improvement and energy demand reduction in building under different climate conditions. Sustain. Cities Soc. 2019, 44, 120–129. [Google Scholar] [CrossRef]
- Ramakrishnan, S.; Wang, X.; Sanjayan, J.; Wilson, J. Thermal performance of buildings integrated with phase change materials to reduce heat stress risks during extreme heatwave events. Appl. Energy 2017, 194, 410–421. [Google Scholar] [CrossRef]
- Ramakrishnan, S.; Wang, X.; Sanjayan, J.; Wilson, J. Thermal performance assessment of phase change material integrated cementitious composites in buildings: Experimental and numerical approach. Appl. Energy 2017, 207, 654–664. [Google Scholar] [CrossRef]
- Sage-Lauck, J.S.; Sailor, D.J. Evaluation of phase change materials for improving thermal comfort in a super-insulated residential building. Energy Build. 2014, 79, 32–40. [Google Scholar] [CrossRef]
- Figueiredo, A.; Vicente, R.; Lapa, J.; Cardoso, C.; Rodrigues, F.; Kämpf, J. Indoor thermal comfort assessment using different constructive solutions incorporating. PCM. Appl. Energy 2017, 208, 1208–1221. [Google Scholar] [CrossRef]
- Gao, Y.; He, F.; Meng, X.; Wang, Z.; Zhang, M.; Yu, H.; Gao, W. Thermal behavior analysis of hollow bricks filled with phase-change material (PCM). J. Build. Eng. 2020, 31, 101447. [Google Scholar] [CrossRef]
- Liu, C.; Wu, Y.; Li, D.; Zhou, Y.; Wang, Z.; Liu, X. Effect of PCM thickness and melting temperature on thermal performance of double glazing units. J. Build. Eng. 2017, 11, 87–95. [Google Scholar] [CrossRef]
- Triano-Juárez, J.; Macias-Melo, E.V.; Hernández-Pérez, I.; Aguilar-Castro, K.M.; Xamán, J. Thermal behavior of a phase change material in a building roof with and without reflective coating in a warm humid zone. J. Build. Eng. 2020, 32, 101648. [Google Scholar] [CrossRef]
- Bhamare, D.K.; Rathod, M.K.; Banerjee, J. Numerical model for evaluating thermal performance of residential building roof integrated with inclined phase change material (PCM) layer. J. Build. Eng. 2020, 28, 101018. [Google Scholar] [CrossRef]
- El Omari, K.; Le Guer, Y.; Bruel, P. Analysis of micro-dispersed PCM-composite boards behavior in a building’s wall for different seasons. J. Build. Eng. 2016, 7, 361–371. [Google Scholar] [CrossRef]
- Saffari, M.; de Gracia, A.; Fernández, C.; Cabeza, L.F. Simulation-based optimization of PCM melting temperature to improve the energy performance in buildings. Appl. Energy 2017, 202, 420–434. [Google Scholar] [CrossRef]
- Marin, P.; Saffari, M.; de Gracia, A.; Zhu, X.; Farid, M.M.; Cabeza, L.F.; Ushak, S. Energy savings due to the use of PCM for relocatable lightweight buildings passive heating and cooling in different weather conditions. Energy Build. 2016, 129, 274–283. [Google Scholar] [CrossRef]
- Lei, J.; Yang, J.; Yang, E.H. Energy performance of building envelopes integrated with phase change materials for cooling load reduction in tropical Singapore. Appl. Energy 2016, 162, 207–217. [Google Scholar] [CrossRef]
- Mindat.org. Tropical rainforest climate. Available online: https://www.mindat.org/climate-Af.html (accessed on 1 April 2021).
- Wikipedia Contributors. Tropical Rainforest Climate. Available online: https://en.wikipedia.org/w/index.php?title=Tropical_rainforest_climate&oldid=948667960 (accessed on 2 April 2020).
- Moreno, A.C.R.; De Morais, I.S.; De Souza, R.G. Thermal Performance of Social Housing—A Study Based on Brazilian Regulations. Energy Procedia 2017, 111, 111–120. [Google Scholar] [CrossRef]
- Sadeghifam, A.N.; Zahraee, S.M.; Meynagh, M.M.; Kiani, I. Combined use of design of experiment and dynamic building simulation in assessment of energy efficiency in tropical residential buildings. Energy Build. 2015, 86, 525–533. [Google Scholar] [CrossRef]
- AHSRAE-55-2010 ASHRAE STANDARD. Thermal Environment Conditions for Human Occupancy; American Society of Heating, Refrigerating and Air-Conditioning Engineers: Atlanta, GA, USA, 2010. [Google Scholar]
- Auliciems, A.; Szokolay, S.V. Thermal Comfort, 2nd ed.; Passive and Low Energy Architecture International in association with Department of Architecture, The University of Queensland: Brisbane, Australia, 2007. [Google Scholar]
- Alam, M.; Jamil, H.; Sanjayan, J.; Wilson, J. Energy saving potential of phase change materials in major Australian cities. Energy Build. 2014, 78, 192–201. [Google Scholar] [CrossRef]
- EnergyPlus. Available online: https://www.energyplus.net/ (accessed on 17 April 2020).
- Tabares-Velasco, P.C.; Christensen, C.; Bianchi, M. Verification and validation of EnergyPlus phase change material model for opaque wall assemblies. Build. Environ. 2012, 54, 186–196. [Google Scholar] [CrossRef]
- Designbuilder Natural Ventilation Modelling. Available online: https://designbuilder.co.uk/helpv2/Content/_Natural_ventilation_modelling.htm (accessed on 5 June 2020).
- Design Builder Mechanical Ventilation. Available online: https://designbuilder.co.uk/helpv4.6/Content/_Air_distribution1.htm (accessed on 5 February 2021).
- Pajek, L.; Kuni, R.; Ko, M. Improving thermal response of lightweight timber building envelopes during cooling season in three European locations. J. Clean. Prod. 2017, 156. [Google Scholar] [CrossRef]
- Nghana, B.; Tariku, F. Phase change material’s (PCM) impacts on the energy performance and thermal comfort of buildings in a mild climate. Build. Environ. 2016, 99, 221–238. [Google Scholar] [CrossRef]
- Liu, J.; Liu, Y.; Yang, L.; Liu, T.; Zhang, C.; Dong, H. Climatic and seasonal suitability of phase change materials coupled with night ventilation for of fi ce buildings in Western China. Renew. Energy 2020, 147, 356–373. [Google Scholar] [CrossRef]












| Material | Thickness (mm) | Thermal Conductivity (W/mK) | Density (kg/m3) | Specific Heat (J/kgK) |
|---|---|---|---|---|
| Wall | ||||
| Cement plaster | 20 | 0.8 | 1600 | 840 |
| PCM | 20 | 0.2 | 860 | 1970 |
| Clay block | 190 | 1.0 | 1800 | 920 |
| Cement plaster | 20 | 0.8 | 1600 | 840 |
| Material | Thickness (mm) | Thermal Conductivity (W/mK) | Density (kg/m3) | Specific Heat (J/kgK) |
|---|---|---|---|---|
| Roof | ||||
| Ceramic tile | 10 | 1.3 | 2000 | 840 |
| Air gap | 50 | Thermal resistance (m2K/W) | ||
| 0.21 | ||||
| PCM | 20 | 0.2 | 860 | 1970 |
| Roofing felt | 5 | 0.19 | 960 | 837 |
| Material | Thickness (mm) | Thermal Conductivity (W/mK) | Density (kg/m3) | Specific Heat (J/kgK) |
|---|---|---|---|---|
| Intermediate floor | ||||
| Concrete slab | 100 | 1.13 | 2000 | 1000 |
| Ground floor | ||||
| Dense concrete | 100 | 1.42 | 2400 | 880 |
| Ceramic floor tile | 12 | 1.2 | 2500 | 640 |
| City | PCM 28 (°C per Year) | PCM 28 + NV (°C per Year) | Increase (%) |
|---|---|---|---|
| Singapore | 288.43 | 326.96 | 13.36 |
| Kuala Lumpur | 339.90 | 383.44 | 12.81 |
| Malacca | 355.82 | 401.87 | 12.94 |
| Padang | 355.52 | 381.04 | 7.18 |
| Belem | 315.06 | 361.12 | 14.62 |
| Davao | 340.58 | 385.93 | 13.32 |
| Georgetown | 279.86 | 323.88 | 15.73 |
| Iquitos | 354.41 | 385.76 | 8.85 |
| City | Padang | Iquitos | Kuala L | Malacca | Davao | Belem | Singapore | Georgetown | ||
|---|---|---|---|---|---|---|---|---|---|---|
| Average Monthly Wind Speed (m/s) | ||||||||||
| January | 0.93 | 1.54 | 1.30 | 2.28 | 2.75 | 1.57 | 2.40 | 2.49 | ![]() | Wind speed, m/s |
| February | 1.34 | 1.45 | 1.72 | 2.57 | 2.99 | 2.45 | 3.78 | 2.72 | ||
| March | 0.88 | 2.86 | 1.65 | 2.45 | 2.58 | 2.41 | 1.76 | 3.37 | ||
| April | 1.24 | 0.66 | 1.41 | 1.00 | 2.05 | 2.32 | 1.36 | 2.63 | ||
| May | 0.79 | 0.37 | 1.79 | 1.30 | 1.65 | 2.39 | 1.64 | 2.73 | ||
| June | 1.06 | 0.70 | 1.50 | 1.34 | 1.77 | 2.51 | 1.71 | 2.21 | ||
| July | 1.30 | 0.84 | 1.98 | 1.08 | 1.02 | 1.50 | 2.65 | 1.55 | ||
| August | 1.15 | 0.75 | 1.68 | 1.21 | 1.76 | 1.92 | 2.91 | 1.58 | ||
| September | 0.98 | 0.85 | 1.83 | 1.27 | 1.33 | 1.73 | 1.71 | 1.98 | ||
| October | 0.81 | 1.12 | 1.69 | 1.80 | 1.31 | 3.30 | 1.59 | 2.34 | ||
| November | 0.71 | 0.48 | 1.30 | 2.17 | 1.08 | 2.01 | 1.92 | 2.34 | ||
| December | 0.72 | 1.35 | 1.47 | 1.49 | 1.97 | 1.52 | 3.74 | 1.95 | ||
![]() | ||||||||||
| Annual Average | 0.99 | 1.08 | 1.61 | 1.66 | 1.86 | 2.14 | 2.26 | 2.32 | ||
| TTD increase (%) | 7.18 | 8.85 | 12.81 | 12.94 | 13.32 | 14.62 | 13.36 | 15.73 | ||
| City | PCM 28 (°C per Year) | PCM 28+MV (°C per Year) | Increase (%) | Difference between NV and MV (%) |
|---|---|---|---|---|
| Singapore | 288.43 | 413.98 | 43.53 | 30.17 |
| Kuala Lumpur | 339.90 | 434.75 | 27.90 | 15.09 |
| Malacca | 355.82 | 449.03 | 26.20 | 13.26 |
| Padang | 355.52 | 511.27 | 43.81 | 36.63 |
| Belem | 315.06 | 431.09 | 36.83 | 22.21 |
| Davao | 340.58 | 484.39 | 42.23 | 28.91 |
| Georgetown | 279.86 | 381.68 | 36.38 | 20.65 |
| Iquitos | 354.41 | 513.62 | 44.92 | 36.07 |
| City | PCM 28 | PCM 28 + NV | Reduction (%) | PCM 28 + MV | Reduction (%) | Difference between NV and MV (%) |
|---|---|---|---|---|---|---|
| Singapore | 17 | 16 | 5.88 | 6 | 64.71 | 58.82 |
| Kuala Lumpur | 18 | 15 | 16.67 | 14 | 22.22 | 5.56 |
| Malacca | 7 | 5 | 28.57 | 1 | 85.71 | 57.14 |
| Padang | 13 | 13 | 0.00 | 1 | 92.31 | 92.31 |
| Belem | 17 | 15 | 11.76 | 11 | 35.29 | 23.53 |
| Davao | 7 | 4 | 42.86 | 1 | 85.71 | 42.86 |
| Georgetown | 67 | 62 | 7.46 | 46 | 31.34 | 23.88 |
| Iquitos | 25 | 23 | 8.00 | 4 | 84.00 | 76.00 |
Publisher’s Note: MDPI stays neutral with regard to jurisdictional claims in published maps and institutional affiliations. |
© 2021 by the authors. Licensee MDPI, Basel, Switzerland. This article is an open access article distributed under the terms and conditions of the Creative Commons Attribution (CC BY) license (https://creativecommons.org/licenses/by/4.0/).
Share and Cite
Sheriyev, A.; Memon, S.A.; Adilkhanova, I.; Kim, J. Effect of Phase Change Materials on the Thermal Performance of Residential Building Located in Different Cities of a Tropical Rainforest Climate Zone. Energies 2021, 14, 2699. https://doi.org/10.3390/en14092699
Sheriyev A, Memon SA, Adilkhanova I, Kim J. Effect of Phase Change Materials on the Thermal Performance of Residential Building Located in Different Cities of a Tropical Rainforest Climate Zone. Energies. 2021; 14(9):2699. https://doi.org/10.3390/en14092699
Chicago/Turabian StyleSheriyev, Almas, Shazim Ali Memon, Indira Adilkhanova, and Jong Kim. 2021. "Effect of Phase Change Materials on the Thermal Performance of Residential Building Located in Different Cities of a Tropical Rainforest Climate Zone" Energies 14, no. 9: 2699. https://doi.org/10.3390/en14092699
APA StyleSheriyev, A., Memon, S. A., Adilkhanova, I., & Kim, J. (2021). Effect of Phase Change Materials on the Thermal Performance of Residential Building Located in Different Cities of a Tropical Rainforest Climate Zone. Energies, 14(9), 2699. https://doi.org/10.3390/en14092699



