Next Article in Journal
A Computationally Efficient Framework for Modelling Energy Consumption of ICE and Electric Vehicles
Next Article in Special Issue
The Issues of the Air-Fuel Ratio in Exhaust Emissions Tests Carried out on a Chassis Dynamometer
Previous Article in Journal
Environment Management of Hydropower Development: A Case Study
Previous Article in Special Issue
Error Analysis of the Normative Calculation Method of the Exhaust Emissions and Fuel Consumption in the Vehicles Fueled with Gaseous Fuels
 
 
Font Type:
Arial Georgia Verdana
Font Size:
Aa Aa Aa
Line Spacing:
Column Width:
Background:
Article

Scenario Analyses of Exhaust Emissions Reduction through the Introduction of Electric Vehicles into the City

1
Faculty of Transport, Warsaw University of Technology, Koszykowa 75 Street, 00-662 Warsaw, Poland
2
Department of Transport Systems, Traffic Engineering, and Logistics, Faculty of Transport and Aviation Engineering, Silesian University of Technology, Krasińskiego 8 Street, 40-019 Katowice, Poland
*
Authors to whom correspondence should be addressed.
Energies 2021, 14(7), 2030; https://doi.org/10.3390/en14072030
Submission received: 18 February 2021 / Revised: 31 March 2021 / Accepted: 2 April 2021 / Published: 6 April 2021
(This article belongs to the Special Issue Exhaust Emissions from Passenger Cars)

Abstract

In recent years, policymakers of urban agglomerations in various regions of the world have been striving to reduce environmental pollution from harmful exhaust and noise emissions. Restrictions on conventional vehicles entering the inner city are being introduced and the introduction of low-emission measures, including electric ones, is being promoted. This paper presents a method for scenario analysis applied to study the reduction of exhaust emissions by introducing electric vehicles in a selected city. The original scenario analyses relating to real problems faced by contemporary metropolitan areas are based on the VISUM tool (PTV Headquarters for Europe: PTV Planung Transport Verkehr AG, 76131 Karlsruhe, Germany). For the case study, the transport model of the city of Bielsko-Biala (Poland) was used to conduct experiments with different forms of participation of electric vehicles on the one hand and traffic restrictions for high emission vehicles on the other hand. Scenario analyses were conducted for various constraint options including inbound, outbound, and through traffic. Travel time for specific transport relations and the volume of harmful emissions were used as criteria for evaluating scenarios of limited accessibility to city zones for selected types of vehicles. The comparative analyses carried out showed that the introduction of electric vehicles in the inner city resulted in a significant reduction in the emission of harmful exhaust compounds and, consequently, in an increase in the area of clean air in the city. The case study and its results provide some valuable insights and may guide decision-makers in their actions to introduce both driving ban restrictions for high-emission vehicles and incentives for the use of electric vehicles for city residents.

1. Introduction

Current ways of shaping transport policy, both on the micro and macro scales, are determined by many factors of technological, social, environmental, and economic nature. Due to the fact of global warming and growing traffic intensity on roads, especially on the streets of large cities, care for the natural environment is becoming more and more important. This applies also to city dwellers for whom daily traffic congestion becomes normal. Then the search for solutions reducing noise pollution and increasing safety of life in the city is becoming a priority for decision-makers [1]. These authorities search for new solutions to be used in traffic organisation or replacement of vehicle stock with zero-emission vehicles. Electric vehicles are then very popular. It is also necessary to search for tools supporting making the right decisions in the field of traffic organisation in the city [2].
As reported by Cartenì et al. [3], electric vehicles in cities are one of the best options for meeting both the Sustainable Development Goals and the mobility needs. The authors proposed a new e-mobility approach in which the fleet of "old" buses on the Sorrento peninsula (Italy) was replaced with hybrid diesel buses powered additionally by a photovoltaic system, which was aimed both at improving the environmental balance and obtaining a return on investment for the private operator managing transport services. Estimates show that the new-type bus service can reduce greenhouse gas emissions by up to 23%, with a 10-year payback period if a private investor is engaged. On the other hand, Cartenì, in the article [4], analysed the profitability of using hybrid electric buses in modified public transport services. The author produced a cost–benefit analysis considering total carbon footprint, not only local impacts, generated by this vehicle technology. The approach was tested with a new urban bus line in the medium-sized city of Salerno in Italy.
Planning of efficient ecological transport systems, and in particular public transport solutions, requires switching transport policy to the one assuming future social and economic benefits from the implementation of new environmentally friendly systems of organisational and infrastructure investments [5]. The transport infrastructure in the cities is characterised by high density, while the possibility of its expansion is very limited due to the existing land development. This was noticed by Quak [6], Banister [7], and Rietveld and Bruinsma [8]. High traffic in the city has a negative impact on the natural environment and living conditions. It is mainly related to the exhaust gases emission and excessive day and night noise. This has particular consequences in urban areas due to heavy traffic and a negative impact on the health of people. The impact of pollutant emissions from transport on the environment is discussed in many studies, including those of Jacyna and Merkisz [9], Figliozzi, [10], and Szczepański [11]. Restricted movement of heavy vehicles is introduced through various solutions such as integrated logistics services for urban agglomerations with the Cargo Consolidation Centres [12,13]. The problems of noise lowering the quality of life in the city is described by Tang et al. [14], Fuks et al. [15], and other authors.
High and constantly increasing emission of harmful exhaust compounds by vehicles, despite the implementation of advanced solutions in the vehicle construction, makes the restrictions on access to selected areas of the cities for vehicles with low ecological efficiency, as well as economic incentives affecting the behaviour of the operators of these vehicles necessary. The EU Commission is also devoting a large amount of attention to this problem. EU documents relating to transport policy allow for the use of differentiated rates of tolls, which depend on the vehicle’s emission class [16,17].
Many studies show that only a series of analyses may become the basis for development of appropriate guidelines for shaping an environmentally friendly transport system—especially in urban areas. The purpose of such analysis and the scope of their application should be the basis for defining scenario analysis of transport system development. Importantly, to make such analyses correct, one must have a tool enabling simulations under various boundary conditions and due to the established criteria for assessing the effectiveness of transport system functioning.
Good organisation of traffic in the city means reduction of ecological costs of traffic, increase in safety, and improvement in the quality of life of residents. Therefore, a systematic approach to solving these problems is necessary. Traffic organisation in the city must take into account the specific conditions for implementation of a wide range of transport services, including individual transport; collective transport; city supply; and services, including repairs, servicing, medical care, etc. For example, Visser et al. [18] or Behrends et al. [19] indicate that significant problems in this area embrace variable travel time, vehicle traffic restrictions due to MPW (maximum permissible weight), traffic restrictions for vehicles that do not meet specific exhaust emission standards, etc.
Bearing in mind the popularity and availability of electric vehicles and current pro-ecological trends, we propose a method of analysing the influence of city traffic structure on the emission of harmful compounds in the context of accessibility of city for various types of vehicles, especially those that are electric-driven. The method is based on scenario analyses of traffic distribution in PTV VISUM including inbound, outbound, and through traffic. Travel time and the volume of harmful emissions are criteria for evaluating scenarios.
This study used emissions of passenger cars, trucks, and delivery vans for the morning rush hour and distinguished between inbound and outbound traffic, as well as through traffic.
The first part of the paper contains a literature review in the research area, in particular the methods and tools used to assess transport emissions and the methods for internalising external transport costs, including those related to the implementation of electric and other low-emission vehicles. The next section presents the research problem. A decision support method has been defined that makes it possible to carry out scenario analyses of various participation of electric vehicles in vehicle traffic and to assess the value of harmful exhaust emissions. A description of a multifaceted decision support procedure and a scenario analysis algorithm is presented. An important part of the paper is the case study elaborated on the basis of the transport model of the city Bielsko-Biała (Poland), which was used to conduct experiments with different forms of participation of electric vehicles on the one hand and traffic restrictions for high emission vehicles on the other hand. A wide range of scenario analyses were carried out with the consideration of the travel time and evaluation of exhaust emission values as evaluation criteria for the scenarios studied.

2. Literature Review in the Research Area

2.1. Ecological Problems of Transport Systems Development

The negative impact of transport on the natural environment entails significant costs, both direct (occurring in processes of designing, manufacturing, operating, and utilising vehicles and infrastructure) and indirect (noise, vibrations, and accidents). Although the effects of this impact are difficult to assess, such studies are popular [20,21].
Issues related to ecological and social aspects of transport systems development, including so-called smart city systems, refer to the negative effects of transport such as traffic congestion, traffic noise, air pollution, climate change, land occupancy, and fragmentation [22].
Undoubtedly traffic congestion, especially in urbanised areas, is a significant hindrance and disadvantage for dwellers. As indicated by de Palma and Lindsey [23], congestion significantly influences external costs resulting from loose of time. Levy et al. [24] present a negative impact of traffic congestion on health. Increased time of travel triggers the stress and arterial pressure. Drivers are not able to respond properly, and in consequence safety is lowered (Stokols et al. [25]). The effects of excessive traffic such as congestion are difficult to measure as well as low-quality traffic management and errors made by drivers, but the literature offers examples of attempts to improve traffic flow, especially in urbanised areas (Qingyu, et al. [26]). Congestion is a result of poor traffic management and objective overload (Jacyna-Gołda et al. [27]). It is also a strong factor for pollution dispersion, as presented by Vaitiekūnas and Banaitytė [28], and air pollution levels such as those discussed by Jacyna et al. [29].
The impact of noise on the city inhabitants well-being is described, among others, by Galilea and de Dios Ortuzar [30], Jakovljevic et al. [31], and Fuks et al. [15], as well as by other authors [32]. The research mainly concerns the impact of noise on health, methods of noise measuring, and noise levels resulting from road condition, as well as effects and identification of noise from other modes of transport, including solutions in forecasting, simulating, and minimising noise emitted by transport.
The assessment of health effects of street noise is usually carried out in monetary terms. The reason for that is because noise does not cause direct losses but, through indirect health impacts, spreads problems over time and triggers expensive medical treatments. In practice, it is assumed that the amount of money which people want to pay to avoid traffic noise is a good estimate of decrease of people’s well-being (willingness to pay (WTP) [33]). According to EU estimations of the social cost of street noise above 55 dB (A) made in 2007, this represents at least EUR 38 (30–46) billion per year. In contrast, for rail transport, estimated noise-related social costs are about EUR 2.4 billion per year. These estimates are probably understated. Another convenient measurement of social cost resulting from transport-related noise uses expected life length corrected by disabilities. The measurement combines number of life years which were lost because of premature death and years left with decreased health which are weighted by the severity of damage suffered [34]. Both methods provide close results.
The calculation of noise-related road transport costs requires the combination of data on noise effects and costs of different noise ranges. The aforementioned cost coefficients can be adopted according to the HEATCO method (2006 [35]). As a good example, German motorways (excluding cities) can be called with EUR 250 million per year [36]. When broken down into vehicle categories, unit costs can be defined on the basis of traffic data provided by TREMOVE model [37].
Another multifaceted problem is transport-related exhaust emission. One of the most significant issues in this area is identification of actual road emissions. The actual emission, according to results provided in the literature, usually does not comply with harmful exhaust compound emission factors resulting from assigned exhaust emission standard of the vehicle (especially in case of previously applicable ecological testing procedures). The discrepancy in this respect is more pronounced, especially for vehicles meeting more restrictive exhaust emission standards. Research in this area was performed, among others, by Merkisz et al. [38]. Chamier-Gliszczyński and Bohdal [39] have discussed plans for sustainable development of transport which combine economic, environmental, and social issues bounded with mobility. Simulation tests of noise propagation in an urban area are described in [40,41]. On the other hand, Wasiak et al., in the article [42], present a very interesting approach to optimising the impact of airport exhaust emissions and noise on life in the city.
Detailed ecological studies of transport are carried out with specialised simulation tools, which in most cases are dedicated to analyses in a strictly defined scope. One of such tools is the PTV VISUM software [43], which was used in the research described later in this article.
An important aspect of research leading to the environmentally friendly development of a transport system are solutions for the internalisation of external costs. Instruments of internalisation of external costs of transport are gathered in Table 1. The instruments can be analysed in the context of inter-branch interaction as well as transport policies. Among many different instruments the most significant is fuel task, which is effective tool in neutralising environmental degradation and improving energy consumption. It also contributes (indirectly) to elimination of other factors such as noise, accidents, or air pollution. Similarly, traffic restrictions in the city, which are the subject of this article, are very effective.

2.2. Problems of Limiting Vehicle Access to City Centres

In urban areas, the transport sector significantly influences fuel consumption and dangerous emissions. As indicated previously, it is very important to make proper decisions about urban mobility plans to reduce the negative effects of transport. For example, Shafiei et al., in paper [44], presented a simulation comparative analysis of various stimulus for low-emission vehicles to reduce emission of greenhouse gases in New Zealand. The authors used a multi-simulation model of energy system that integrates fuel supply and demand and energy markets as well as evolution of refuelling infrastructure. They compared various supporting and prohibiting scenarios. In case of supporting strategies, they introduced stimulants in form of support for fuel distribution infrastructure and subsidies for low-emission vehicles. In contrast, for the prohibition strategies, they imposed various types of bans on new vehicles running on petrol-based fuels.
Shi et at. [45] considered alternate traffic restriction (ATR) as a counteraction to urban congestion. They investigated a certain proportion of vehicles not allowed to enter restricted areas during specific time periods and proposed optimisation method balancing restriction areas and the proportion of stopped vehicles. The authors implemented a Stackelberg game between traffic planners and infrastructure users in a bi-level programming model solved by evolutionary algorithm.
Kholod et al. [46] present a method for estimating exhaust gases emission from city road transport under low-quality data on traffic intensities and outdated vehicle registries. The authors proposed video survey and parking lot survey as convenient methods of data collection as well as data from transportation companies and vehicle inspection stations. Then, they used the COPERT 4 model to calculate emission levels but with local emission factors.
Lu et at. [47] discuss the expansion of city scale and accompanying changes in traffic structure and growing congestion. The authors explain the influence of urbanised area expansion on exhaust gases emission and analysed it to find that city-scale expansion influences air pollution significantly. They conclude that traffic congestion increases travel time and thus air pollution, whereas greening the transport system can reduce air pollution.
Wang et al. [48] answer the question as to whether a driving restriction policy is an appropriate way of dealing with traffic congestion and exhaust gas emission, utilising the example of Beijing in China. The authors discuss a one-day-a-week driving restriction and its short-term effect on individual travel mode choices and which demographic groups are more likely to break the ban. The research revealed that the discussed restriction policy was not significantly influential as compared with the policy’s influence on public transport. The rule-breaking behaviour is accepted.
Gundalach et al. [49] discuss limitation of private car traffic in city centres and relate it to demand for public transportation to replace private cars. In their paper, they used a discrete choice experiment to investigate preferences of dwellers in the car-free city centre of Berlin. The survey revealed that 60% of dwellers accepted it alongside improving infrastructure for cyclists, which caused this acceptance to strongly increase. The same acceptance is for a system of bus and train stops and rededicating streets to recreational uses only.
Schubert et al. [50] aimed at creating support for measures which are still required to transform the urban transport system and integrate it with urban development in general. They promote a vision of a liveable and sustainable city in which institutions set long-term goals in transport policy. They list measures for cities between which there are improving public transport quality and managing motorised transport using limited traffic areas in cities.
The impact of car-restrictive policies was considered by Pasha et al. [51] who utilised the example of traffic situation in Srinagar city in India by analysing the options such as odd–even road-space rationing, revamping public transportation including inland waterways, and prohibiting on-street parking. The authors conducted an interview survey among traffic analysis zones (TAZ) across the city. They collected information on preferred travel modes and usage of private cars under restrictive policies. A total of 57% of respondents accepted implementation of the odd–even policy and 75% stated that they will not buy another car and will not park on the street if the policy is implemented.
Nosal and Starowicz [52] discussed the model used in evaluation of impact of mobility management instruments used to control high-density areas of work-related travels. In their approach, a decrease in car share depends directly on accessibility to public transport and private transport in the analysed area. The authors based their model on fuzzy logic.
Bagheri et al. [53] proposed travel demand management (TDM) in order to solve the problem of crowded cities. TDM is a strategy to maximise urban transport efficiency by creating privileged conditions for public transport on one hand and restriction of private car usage on the other in specific areas and time periods. They also postulate modifying the cost of using parking spaces. The authors combine Markov processes with reward and evolutionary algorithms. They present a network traffic management system for cities that optimises a multi-criteria function built around expected value of the Markov decision system’s reward.

3. The Research Method Description

3.1. General Assumptions

According to the literature analysis, there are many instruments leading to environmentally friendly changes in transport. There is also a general assessment of their effectiveness, and there is some discussion of shifting the negative impacts of transport between different areas of the transport network (e.g., from the inner city) or to sites for the smelting and disposal of transport equipment and for electricity generation. Nevertheless, the issues of shaping an environmentally friendly transport system should be studied individually for each area, taking into account local conditions. Therefore, efforts should be made to standardise the methodology of these studies by adopting a universally accepted model.
Considering the above, we proposed a general form of a model for shaping an environmentally friendly transport system. This model was developed by taking into account the fact that the actual simulation studies of the transport system were to be carried out using existing specialised software (e.g., PTV VISUM). Nevertheless, the presented form of the model organises the process of preparation of the simulation environment and the scope and method of tests performed in it.
Analysis and assessment of functioning of existing or designed systems of different types require a model mapping of those features of a system which are important for the purpose of research [54]. With this in mind, it was assumed that in order to assess the impact of the share of electric vehicles in traffic on the reduction of harmful compound emissions in the city, or to conduct other scenario analyses of pro-ecological changes to the transport system, it is necessary to have a simulation traffic model for each scenario v that must reflect:
  • actual fleet composition with their characteristics, as well as their composition considered in the scenario approach—generic structure of vehicles for each type of traffic, e.g., passenger cars, light commercial vehicles, truck trailers, trucks—ST(v);
  • private and public transport systems, as well as scenarios for their evolution—TS(v);
  • structure of real transport network, including its technical, economic, and organisational characteristics and links to origins and declines of traffic stream as well as scenarios of its evolution—GE(v);
  • the volume of transport tasks (i.e., transport demand) realised in transport system with consideration of type of traffic, i.e., inbound, outbound and through traffic—QE(v);
  • the organisation of traffic in the transport system determining the traffic assignment to the transport network elements, considering its scenario changes—OE(v).
Considering the above, the model (MEST) of research problem is described as follows:
MEST = 〈ST(v), TS(v), GE(v), QE(v), OE(v): vV〉
A formal description of the proposed decision model was developed, taking into account the research described in [9,13,20].

3.2. Parameters

One of the basic values of the model taken into account in the research are scenarios of changes included in the set V, which may concern the construction of new transport connections; changes in the parameters of existing connections; the introduction of new low-emission means of transport; changes in the public transport offer; or, for example, fiscal burdens and access restrictions for specific means of transport. Thus, in the approach adopted, the scenarios will represent different proposals for change leading to a green transport system. These changes may be associated with different periods of analysis:
  • o—number of time periods.
The fleet composition can be mapped by the following parameters:
  • k—number of transport subsystems;
  • r—number of individual mode of transport;
  • t—type of vehicles for transport mode and subsystem;
  • m—type of engines;
  • n—number of vehicle emission standards;
  • s—number of pollutants from motor vehicles;
  • (a, b)—transport relation;
  • p—number of individual path in transport relation (a, b).
The fleet composition in practice may vary considerably depending on the section of the transport network under study, especially when considering the so-called internal and external traffic in relation to the study area, i.e., inbound, outbound and through traffic. Therefore, the model also includes the parameter g which allows for the identification of groups of transport relations which are homogeneous in terms of the type structure of vehicles.
With regard to the foregoing, the fleet composition is determined by their shares:
  • u k r , t , m , n , o g —share of vehicles of the certain type, moving in relation type g, [%].
Another important issue is the unit emission factors for individual means of transport. In the simplest terms, these can be included as standard values derived from exhaust emission standards, but a much better approach is to rely on more detailed studies of actual on-road emissions. Such studies lead, among other things, to the conclusion that the volume of pollutant emissions is also related to the length of the routes. This means that actual emission factors should be considered according to the distribution of route lengths for given homogeneous groups of transport relations. In this view, knowledge of the following parameters is assumed:
  • e k r , t , m , n , s g —emission of the pollutant from the certain type of vehicle moving in the relation type g, [mg/s/veh];
  • ψ k r , t , a , b , p , m , n , s —indicator of the distance effect on emission of the pollutant by the certain type of vehicles for path p in relation (a, b) [−].
The structure of the real transport network with its characteristics is mapped, among others, taking into account the following parameters:
  • i—number of transport node;
  • (i, j)—sections of transport network;
  • l i , j r —length of section (i, j) of transport network of the certain transport mode, [km];
  • v 0 k , i , j r , t —velocity of free flow on section (i, j) of transport network for the certain types of vehicles, [km/h].
Transport demand x k h , a , b is identified by taking into account predefined transport relations (a, b), transport subsystem k, and demand segments h, as well as, among others, data on the average filling of the means of transport and time valuation:
  • w k r , t , h , o g —average content of demand segment for vehicle of the certain type in relation type g, [t/veh, pas/veh];
  • ϖ k r , t , h —value/price of 1 h of transition time of demand segment for vehicle of the certain type, [PLN/ton-hour, PLN/passenger-hour].
On the other hand, the model parameters concerning the organisation in the transportation system mainly include:
  • x k , i , j r , t , a , b , p , o —traffic load of the certain type of vehicles operating on section (i, j) of transport network in transport subsystem k of transport mode r on path p in relation (a, b), [veh];
  • x k , i , j r , t , o —traffic load of the certain type of vehicles operating on section (i, j) of transport network in period o, [veh];
  • v k , i , j r , t , o X i , j —velocity on section (i, j) of transport network for vehicles of the certain type under X(i, j)-th workload in period o, [km/h];
  • w k , i , j r , t , h , o —average content of demand segment for the certain type of vehicle operating on section (i, j) in period o, [t/veh, pas/veh].

3.3. The Ecological Indicators of Transport in the City

Due to the scope of studies described below, the assessment of the environmental impact of the transport system was limited to the traffic congestion index and air pollutant emission factors. Nevertheless, it should be kept in mind that on the grounds of environmental and social influence, indicators for assessing ecological efficiency of transport system related to external costs should also embrace effects of [36]:
  • noise emissions—studies in this aspect have been described in, among others, [41,42];
  • accidents;
  • water and soil pollution.
Congestion lengthens passenger and freight transport over the time for unloaded network (free flow). This causes specific financial losses depending on the type of transport and the motivation of the trip or group of goods. Lengthening of transport time is calculated by the following formula:
Δ τ k o = h r t i , j l i , j r v k , i , j r , t , o X i , j l i , j r v 0 k , i , j r , t x k , i , j r , t , o   [ vehicle - hours ]
Whereas the valuation of lost time in monetary units is calculated by the following formula:
τ k o = h r t ϖ k r , t , h i , j l i , j r v k , i , j r , t , o X i , j l i , j r v 0 k , i , j r , t x k , i , j r , t , o w k , i , j r , t , h , o   [ PLN ]
An important negative environmental impact of transport is exhaust gases. The level of emission depends on the type of vehicle and its engine, including the compliant emission standard, traffic velocity, and distance. According to this, pollutant emission is calculated by the following formula:
E k s , o = 3600 10 6 r i , j a , b p t x k , i , j r , t , a , b , p , o m n u k r , t , a , b , m , n , o 100 % l i , j r e k , i , j r , t , m , n , s v k , i , j r , t , o X i , j ψ k r , t , a , b , p , m , n , s   [ kg ]

3.4. Restrictions

In the pro-environmental model of traffic organisation, due to the scope of the conducted research, we introduced restrictions concerning access to particular zones of the city. These restrictions may concern types of vehicles (e.g., heavy-duty vehicles), vehicles with certain types of engines, or vehicles that do not meet the required emission standards.
In addition, the model takes into account all standard constraints imposed on the traffic flow, i.e., the constraint on the behaviour of the traffic flow, the additivity of the traffic flow and its non-negativity, and the constraint that guarantees the fulfilment of the agreed traffic tasks.

3.5. The Method Procedure

For the needs of scenario analyses taking into account the influence of electric vehicles on the reduction of exhaust emissions, we introduced the following types of fleet composition, which are presented in Table 2.
The fleet compositions, determined in this way, provide the basis for the development of an appropriate number of demand segments taking into account the detailed structure of vehicles.
Scenario analyses of reducing exhaust emissions by introducing electric vehicles require a specific approach. Therefore, a method, shown schematically in Figure 1, was developed. It takes into account the implementation of the transport model. An appropriate level of detail in the model is necessary to perform this type of analysis.
When conducting analyses, it is necessary, apart from the assumptions concerning the fleet composition relating to individual scenarios, to define the assumptions related to the temporal and spatial scope of the study. The time period of the analysis is conditioned by the assumptions of the transport policy and may cover both the whole day and a selected shorter period, e.g., the traffic rush hour. The spatial scope depends on the adopted restrictions relating to the possibility of high-emission vehicles entering the entire city or its separate areas, e.g., areas located in the central parts of the city.
The main part of the analyses is simulations performed with the use of the transport model. The developed methodology assumes the implementation of the PTV VISUM software containing a special HBEFA (The Handbook of Emission Factors for Road Transport)-based emission calculation procedure, which determines both the desired emissions and optionally cold start excess emissions, taking into account the traffic situation, volumes, and fleet compositions [55]. The use of the HBEFA procedure in the VISUM software enables the determination of the dispersion of emission of harmful substances on the basis of links divided into appropriate categories. When fuel quality is being calculated, fuel consumption for the entire network (expressed in quantity/g) for a specific demand segment is converted into specific consumption (expressed in l/100 km) separately for diesel and petrol. First, the amount of fuel is divided by its density (for gasoline it is approximately 0.75 kg/L, for diesel it is approximately 0.83 kg/L), and then related to the mileage for a specific segment of demand. To assess fuel consumption for the entire vehicle fleet, including electric vehicles, we also report the results in [MJ]. The result of analyses carried out with the use of VISUM software is traffic and emission assignment for different scenarios.
The scenario analysis is conducted in two perspectives: global and local. Thus, the area of analysis is determined both as the whole city (global scale) and as the central areas of the city (local scale). The developed methodology assumes that the assessment of the impact of the share of electric vehicles in traffic on the reduction of harmful substances will be based on a comparison of the results for individual scenarios W1–W4 with the reference scenario W0. The measures used for the evaluation were divided into the following three groups:
  • Group 1—measures related to the total emission of selected harmful substances:
    carbon dioxide (CO2) reported total [g];
    carbon monoxide (CO) total [g];
    hydrocarbons (HC) total [g];
    nitrogen oxides (NOx) total [g];
    particulate matter (PM) 10 µm total [g].
  • Group 2—measures related to the consumption of fuels and energy:
    fuel consumption total [g];
    fuel consumption total [MJ];
    fuel consumption diesel total [g];
    fuel consumption gasoline total [g];
    fuel consumption electric total [MJ].
  • Group 3—measures related to the traffic parameters:
    total time spent in network [h];
    average speed in network [km/h].
The values of the measures are obtained both for the whole city (global scale) and for the central areas of the city (local scale) in the analysed period of time (the morning rush hour).

4. Case Study

4.1. Research Area

The transport model built for the Bielsko-Biała city was used to assess the impact of the introduction of electric vehicles in traffic on the reduction of exhaust emissions. Bielsko-Biała is a city with poviat rights in Poland in the southern part of the Silesian Voivodeship, located near the borders with the Czech Republic and Slovakia. The city has a population of around 170,300 inhabitants and its area is about 124.5 km2. The location of Bielsko-Biała against the background of Silesian Voivodeship is presented in Figure 2.
Bielsko-Biała is one of the most economically developed cities in Poland and constitutes a significant centre of the southern subregion of the Silesian Voivodeship, which is one of the four areas of development policy of the voivodeship. In the functional-spatial structure of the region, the city of Bielsko-Biała is characterised by a wide spectrum of diverse economic, administrative, scientific, and cultural functions.
Bielsko-Biała city is also an important road and rail junction on a national scale. It is characterised by a high level of accessibility from other centres of the voivodeship and of the country due to the convenient location of the city on the network of national and provincial roads and the existing system of these roads, supplemented with poviat and municipal roads. They ensure the connectivity of the city area and its accessibility. Geographical and demographic indicators of road density are 4.38 [km/km2] and 31.41 [km/10 thousand inhabitants], respectively. There are 1237 road intersections in the city, including 51 intersections (4.1%) with traffic lights. The average length of a section between the intersections is about 479 m.
The results of comprehensive travel survey carried out in 2015 indicated that the mobility among transport-active persons, i.e., those who have made at least one trip a day, was about 2.2 trips/day. However, taking into account the entire population, we found that this measure is equal to 1.59 trips/day. The largest average number of trips made by transport-active inhabitants of the Bielsko-Biała city is related to the purposes home—other and other—home. A significant number of trips are made also for the purposes home—work and work—home. Trips related to school (education) are of less importance. These data were used to build a transport model which is a simulation tool supporting the analyses.
For scenario analyses, in accordance with the proposed method, we found it important to distinguish inbound, outbound, and through traffic. Table 3 shows the volume and share of car traffic during the morning rush hour.
For realising the scenarios, the selected network parameters were defined:
  • links for trucks, truck trailers, articulated trucks in through traffic;
  • central areas of the city.
Both of the characteristics are presented in Figure 3. The central area in Bielsko-Biała is the district called Śródmieście. In the transport model, it is mapped by 12 traffic analysis zones (TAZs). This part of Bielsko-Biała covers the area of 0.52 km2, which is 0.42% of the entire city area. The length of the road and street network in this area is 20,682 km, which with the length for the entire city being 1,488,048 km gives about 1.39% of the total length of the city network.

4.2. Assumptions Concerning the Scenarios

The analysis covers the following scenarios for introducing restrictions on the accessibility of the city and its regions for high-emission vehicles:
  • Scenario W1:
    entry of high-emission vehicles from outside the analysed area is not allowed;
    through traffic is not allowed in the central areas of the city.
  • Scenario W2:
    entry of high-emission vehicles from outside the analysed area is not allowed;
    through traffic is allowed.
  • Scenario W3:
    entry of all high-emission vehicles is not allowed;
    through traffic is not allowed in the central areas of the city.
  • Scenario W4:
    entry of all high-emission vehicles is not allowed;
    through traffic is allowed.
In order to assess the impact of the share of electric vehicles in traffic on the reduction of harmful compound emissions in the city, we built a transport model using the PTV VISUM software with an appropriate level of detail due to the type structure of vehicles for the selected area of analysis. Thus, it was possible to conduct scenario analyses taking into account at least:
  • types of traffic, i.e., inbound, outbound and through traffic;
  • types of fleet composition (according to the specification in Table 2).
Taking into account the previously defined fleet composition (A–L), we defined the vehicle structures in the transport model for the reference scenario W0 and for the scenarios W1–W4, which are presented in Table 4.
Scenarios W1 and W3 assume that high-emission vehicles in through traffic are not allowed in the central areas of the city. In the transport model, this is done by excluding the possibility of distributing through traffic into sections of the road and street network located in selected transport regions. In Figure 4, the links closed for through traffic are presented.

4.3. Results of the Analyses for the Whole City (Global Scale)

The results of scenario analyses of exhaust emissions reduction through the introduction electric vehicles at the global scale, i.e., for the whole city, are presented in Table 5.
The scenario analysis was carried out by developing a ranking for each of the measures for assessing the impact of the share of electric vehicles in traffic on the reduction of exhaust emissions separately. The scenarios were organised in such a way that the highest rank was assigned to the scenario with the best value of measures. The ranking of the scenarios for the whole city is presented in Table 6.
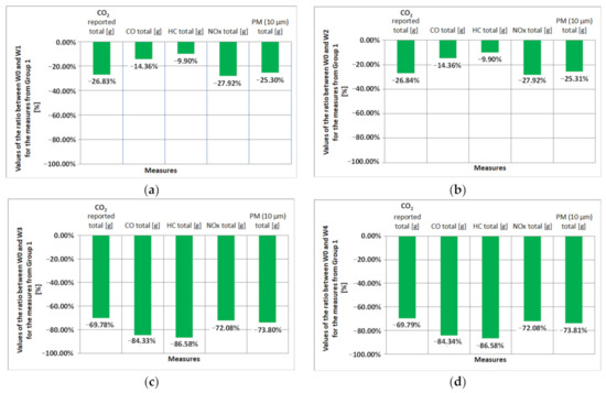
The results of the calculations for the measures from Group 1 for the whole city for reference scenario W0 and optimal scenario (W4) as bars on the links are presented in Figure 5, Figure 6, Figure 7, Figure 8 and Figure 9. In Figure 10, Figure 11 and Figure 12, selected measures from Group 2 are also presented.
Observing the distribution of values of almost all the measures under study, we found that the highest values were observed at the streets of high technical class. The area in the southwestern part of the city (due to low density of development) and its smaller role in handling inbound and through traffic is characterised by the lowest values of the measures studied.

4.4. Results of the Analyses for the Central Areas of the City (Local Scale)

Similar analysis was presented for the central areas of the city. In Table 7, the results of the simulation are presented, and in Table 8, the ranking of measures for the scenarios W1–W4 are shown.
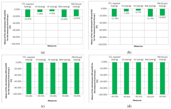
The results of the calculations for the measures from Group 1 for the central areas of the city for reference scenario W0 and optimal scenario (W3) as bars on the links are presented in Figure 13, Figure 14, Figure 15, Figure 16 and Figure 17. In Figure 18, Figure 19 and Figure 20, selected measures from Group 2 are also presented.
In the central area, the highest values of the selected measures were observed in one of the most important streets of the transportation network in the city, i.e., Warszawska street, leading through the centre from north to south. The exclusion of vehicles with fleet composition type A to I from the central areas of the city resulted in a significant decrease in the emission of harmful substances.

5. Discussion

5.1. General Comments and Observations

Improving the quality of life in cities is one of the greatest challenges facing society today. An important aspect of this problem is the desire to minimise environmental pollution resulting from the development of civilisation leading to increasing human interference in the ecosystem. For years, various studies have been carried out to identify the sources of pollution, among which transport plays a leading role. Therefore, scientific research conducted to search for solutions aimed at reducing the negative impact of transport on the natural environment focuses on the development of electromobility.
The analyses presented in this article are an example of such research, as the use of electric vehicles is becoming more and more common, significantly affecting the functioning of the entire transport system. Moreover, establishing the rules of operation of this system is a tool of the authorities which, in order to encourage the society to reach for electromobility solutions, use various types of incentives. Examples of such actions are prioritising electric vehicle users or imposing restrictions on users of conventionally powered vehicles.
The issues presented in the article focus on these aspects, showing the methodology of conducting scenario analyses to assess the impact of applying priorities and restrictions in accessing the transport system to various groups of its users, as well as presenting detailed research results. Due to the complex structure of the transport system, the presented methodology is multifaceted. It assumes the use of a simulation tool in the form of a macroscopic transport model, the HBFEA method, and three groups of assessment measures. The methodology is universal and can be applied to small, medium, and large cities as well as to metropolitan areas. Moreover, a significant advantage of the presented methodology is the assumption that analyses can be conducted both for the whole city and for the selected regions, e.g., the central areas of the city. Its distinguishing feature in relation to other methods used in this type of analysis is taking into account of three types of traffic, i.e., inbound, outbound, and through traffic.
The article presents the results of research carried out at the example of a large city in Poland, i.e., Bielsko-Biała. The results of these studies are the values of measures for assessing the impact of changes in the accessibility of the area and the related traffic organisation for users of electric cars and conventionally powered vehicles, presented in three groups. Analyses were performed for four scenarios that were compared with the scenario for the existing state, which constitutes the reference scenario.
The research results indicate that, regardless of the scenario considered and the area for which the analyses were conducted, the highest values of assessment measures from Group 1 were for CO2 reported total [g], and the lowest for PM (10 µm) total [g] and HC total [g]. In turn, measures from Group 2 were related to the generic structure of the traffic and should not be compared in this way.

5.2. Discussion of Citywide Analyses

Considering the results obtained for the entire city, one should note that there are the highest concentrations of harmful substances on roads of high technical classes, the task of which is to handle not only inbound, outbound, but also through traffic. Hence, it is important to designate such roads in low-density areas when designing a communication system in cities. Similar conclusions can be formulated when considering measures related to the consumption of fuels and energy.
From the point of view of the purpose of the article, it can be stated that for each of the analysed scenarios, there was a decrease in the value of all the analysed assessment measures, except for fuel consumption electric total [MJ], because in the scenario for the current state (W0), the share of electric vehicle in traffic is negligible.
From the point of view of the entire city, the best scenario in terms of improving the impact of transport on environmental conditions is scenario W4, assuming that entry of all high-emission vehicles is not allowed and through traffic is allowed. This is confirmed by the ranking presented in Table 7. However, it should be noted that this is not the most favourable scenario from the traffic point of view (after analysis total time spend in network [h] and average speed in network [km/h]) due to allowing vehicles in through traffic to pass through the central areas of the city and to use the infrastructure with lower technical and operational parameters than the one which is dedicated to such type of traffic.
Detailed results are shown in Figure 21, Figure 22 and Figure 23. In Figure 21, the values of the ratio between W0 and individual scenarios W1–W4 for the measures from Group 1 are presented.
From the point of view of the whole city, the solutions proposed in the W1 and W2 scenarios would contribute to the greatest extent to the reduction of NOx total [g] and CO2 reported total [g]. In turn, the use of electric vehicles for inbound and outbound traffic (scenarios W3 and W4) would cause a much greater decrease in the emission of pollutants for all measures classified into Group 1. Compared to the reference scenario, W0 value of HC total [g] would be lower by about 86.5%, and compared to W1 and W2 by about 75%. Similar values were observed for CO total [g] at 7%, because in relation to scenario W0, the decrease was by approximately 84%, and in relation to W1 and W2 by 60%. In Figure 22, four measures from Group 2 are presented.
The solutions proposed in the W3 and W4 scenario will contribute to reducing fuel consumption diesel total [g] by over 72% and fuel consumption gasoline total [g] by about 65%. On the other hand, fuel consumption electric total [MJ] will increase significantly, by over 580,000 times. Such results have confirmed the correctness of the analyses conducted.
In Figure 23, the percentage change of fuel consumption electric total between W0 and other scenarios is presented.
Figure 23 shows the percentage change in the fuel consumption electric total measure between all analysed scenarios (W1, W2, W3, and W4) and the reference scenario (W0). It can be seen that the changes in this measure were similar between W1 and W2 and between W3 and W4. This was due to the assumptions made for the simulations carried out. For scenarios W1 and W2, entry of high-emission vehicles from outside the analysed area was not allowed and for scenarios W3 and W4, entry of all high-emission vehicles was not allowed. Traffic restrictions introduced for scenarios W3 and W4 were much wider than for scenarios W1 and W2, and thus the percentage change in the measure of fuel consumption electric total was over 2.5 times greater for W3/W0 and W4/W0 than for W1/W0 and W2/W0.

5.3. Discussion of the Analyses Carried out for the Central City Area

In Figure 24, the values of the ratio between W0 and individual scenarios W1–W4 for the measures from Group 1 are presented.
Simulations carried out with the use of the transport model showed that the introduction of changes in the accessibility to the central area of the city for vehicles with a conventional power source in the outbound traffic (scenarios W1 and W2) contributed to a decrease in the value of assessment measures from group 1 for this area by reported total [g]—22%, CO total [g]—7%, HC total [g]—5%, NOx total [g]—22%, and PM (10 µm) total [g]—19%.
In Figure 25, four measures from Group 2 are presented.
In scenarios W1 and W2, there was a decrease in fuel consumption total [g] by approximately 22%. Considering the type of fuel used to power vehicles, we found that there was not much difference between fuel consumption diesel total [g] and fuel consumption gasoline total [g]. Both measures indicate a decrease of around 22%.
The introduction of restrictions in the central area of Bielsko-Biała city resulted in the fact that most of the harmful substances will be eliminated almost completely, as the decrease ranged from 99.88 for CO2 reported total [g] and NOx total [g] to 99.98% for HC total [g]. This was also confirmed by the fuel consumption total [g], the values of which indicated a general decrease in fuel demand by 99.88%. However, due to the small share of the use of electric vehicles in traffic in the reference scenario W0, this did not apply to fuel consumption electric total [MJ], as the increase in electricity demand was approximately 15,800 times greater for the scenarios W3 and W4.
In Figure 26, the percentage change of fuel consumption electric total between W0 and other scenarios is presented.
The overall trend of the percentage change in fuel consumption electric total is very similar to that for the citywide analyses. This is due to the assumptions made for the simulations carried out. The percentage change in the fuel consumption electric total measure was over 4.4 times greater for W3/W0 and W4/W0 than for W1/W0 and W2/W0.

6. Conclusions

The scenario analysis revealed expected truth that increasing the share of low-emission (electric) vehicles is toward the reduction of harmful exhaust emissions. However, this finding proves also that scenario analysis in PTV VISUM is an effective tool to support decision-makers in assessing whether the new area restrictions for high-emission vehicles, incentives for the use of electric vehicles, or other pro-ecological modes of transport are justified for implementation.
Introduction of electric vehicles in the cities is the priority of decision-makers. The method can be applied in cities and areas of different sizes for the parameterisation of desired municipal transport fleet composition and traffic organisation.
The scenarios of Bielsko-Biała city accessibility for vehicles with different fuelling were analysed for inbound, outbound, and through traffic. Scenarios testing show that different results are gained for whole city and different for the city centre standalone. The highest reduction of pollutant emissions for entire city (global level) is provided by the obligation of all users of individual transportation to use electric vehicles, except for transit traffic. On the other hand, the greatest reduction of pollutant emissions for the central area (local level) shall be achieved by obliging all users of individual transportation in the city to use electric vehicles, while excluding the city centre from transit traffic.
Four scenarios restricting entry into the city for high emission vehicles were developed (W1–W4). Results at global and local scales were compared with the W0 baseline scenario. It was observed that for scenarios W1 and W2, the reduction of harmful substance emissions was obtained at the level from 9.90% for HC total [g] to 27.92% for Nx total [g] for the entire city, and from 4.73% to 22.00% for the central area, respectively. Scenarios restricting the entry (W3 and W4) resulted in a further reduction in emissions ranging from 69.78% for CO2 reported total to 86.58% for HC total at the level of the entire city, and to a practically complete reduction in emission (99.59%–99.98%) in the central area.
The next step is adding noise-related measures to scenario analyses. This will provide a comprehensive approach to assessing the impact electric vehicles in the city. However, the problems of electromobility and associated drive for lower emissions in cities is much broader and more complex than just an analysis conducted at a location where electric vehicles are in use. A comprehensive approach should also address the production and disposal of both batteries and vehicles and the related environmental impacts.

Author Contributions

Conceptualisation, M.J.; methodology, M.J., R.Ż., A.S. and M.W.; software, A.S.; validation, A.S.; formal analysis, M.W. and M.J.; investigation, M.J., R.Ż., A.S. and M.W.; resources, M.J., R.Ż., A.S. and M.W.; data curation, R.Ż.; writing—original draft preparation, M.J., R.Ż., A.S. and M.W.; writing—review and editing, M.J., R.Ż., A.S. and M.W.; visualisation, R.Ż. and A.S.; supervision, M.J. and R.Ż.; project administration, M.J. and R.Ż.; funding acquisition, M.J. All authors have read and agreed to the published version of the manuscript.

Funding

This research was funded by the Warsaw University of Technology within the IDUB-Open Science Program.

Acknowledgments

The authors would like to gratefully acknowledge the reviewers who provided helpful comments and insightful suggestions on the draft of the manuscript.

Conflicts of Interest

The authors declare no conflict of interest. The funders had no role in the design of the study; in the collection, analysis, or interpretation of the data; in the writing of the manuscript; or in the decision to publish the results.

References

  1. Karoń, G.; Żochowska, R. Problems of Quality of Public Transportation Systems in Smart Cities—Smoothness and Disruptions in Urban Traffic. In Modelling of the Interaction of the Different Vehicles and Various Transport Modes, Lecture Notes in Intelligent Transportation and Infrastructure; Sładkowski, A., Ed.; Springer: Berlin/Heidelberg, Germany, 2020. [Google Scholar]
  2. Cieśla, M.; Sobota, A.; Jacyna, M. Multi-Criteria decision making process in metropolitan transport means selection based on the sharing mobility idea. Sustainability 2020, 12, 7231. [Google Scholar] [CrossRef]
  3. Cartenì, A.; Henke, I.; Molitierno, C.; Di Francesco, L. Strong Sustainability in Public Transport Policies: An e-Mobility Bus Fleet Application in Sorrento Peninsula (Italy). Sustainability 2020, 12, 7033. [Google Scholar] [CrossRef]
  4. Cartenì, A. A cost-benefit analysis based on the carbon footprint derived from plug-in hybrid electric buses for urban public transport services. WSEAS Trans. Environ. Dev. 2018, 14, 125–135. [Google Scholar]
  5. Karoń, G.; Żochowska, R. Modelling of Expected Traffic Smoothness in Urban Transportation Systems for ITS Solutions. Arch. Transp. 2015, 33, 33–45. [Google Scholar] [CrossRef]
  6. Quak, H. Sustainability of Urban Freight Transport: Retail Distribution and Local Regulations in Cities (No. EPS-2008-124-LIS); Erasmus Research Institute of Management (ERIM): Rotterdam, The Netherlands, 2008. [Google Scholar]
  7. Banister, D. Unsustainable Transport: City Transport in the New Century; Taylor & Francis: Abingdon, UK, 2005. [Google Scholar]
  8. Rietveld, P.; Bruinsma, F. Is Transport Infrastructure Effective? Transport Infrastructure and Accessibility: Impacts on the Space Economy; Springer Science & Business Media: Berlin/Heidelberg, Germany, 2012. [Google Scholar]
  9. Jacyna, M.; Wasiak, M.; Lewczuk, K.; Chamier-Gliszczyński, N.; Dąbrowski, T. Decision problems in developing proecological transport system. Annu. Set Environ. Prot. 2018, 20, 1007–1025. [Google Scholar]
  10. Figliozzi, M.A. The impacts of congestion on time-definitive urban freight distribution networks CO2 emission levels: Results from a case study in Portland, Oregon. Transp. Res. Part C Emerg. Technol. 2011, 19, 766–778. [Google Scholar] [CrossRef]
  11. Szczepański, E.; Jacyna, M. An approach to optimize the cargo distribution in urban areas. Logist. Transp. 2013, 17, 53–62. [Google Scholar]
  12. Jacyna, M. The role of the cargo consolidation center in urban logistics system. Int. J. Sustain. Dev. Plan. 2013, 8, 100–113. [Google Scholar] [CrossRef]
  13. Wasiak, M.; Jacyna, M.; Lewczuk, K.; Szczepański, E. The method for evaluation of efficiency of the concept of centrally managed distribution in cities. Transport 2017, 32, 348–357. [Google Scholar] [CrossRef]
  14. Tang, U.W.; Wang, Z.S. Influences of urban forms on traffic-induced noise and air pollution: Results from a modelling system. Environ. Model. Softw. 2007, 22, 1750–1764. [Google Scholar] [CrossRef]
  15. Fuks, K.; Moebus, S.; Hertel, S.; Viehmann, A.; Nonnemacher, M.; Dragano, N.; Möhlenkamp, S.; Jakobs, H.; Kessler, C.; Erbel, R.; et al. Long-term urban particulate air pollution, traffic noise, and arterial blood pressure. Environ. Health Perspect. 2007, 119, 1706–1711. [Google Scholar] [CrossRef]
  16. Jacyna, M.; Wasiak, M. Costs of road transport depending on the type of vehicles. Combust. Engines 2015, 162, 85–90. [Google Scholar]
  17. Wasiak, M.; Jacyna, M. Model of transport costs in the function of the road vehicles structure. In Proceedings of the 19th International Conference Transport Means 2015, Kaunas, Lithuania, 22–23 October 2015; Proceedings/Kersys Robertas (red.); Transport Means: 2015; Publishing House “Technologija”. pp. 669–677. [Google Scholar]
  18. Visser, J.; Van Binsbergen, A.; Nemoto, T. Urban freight transport policy and planning. In City Logistics I; Wiley-ISTE: London, UK, 1999; pp. 39–70. [Google Scholar]
  19. Behrends, S.; Lindholm, M.; Woxenius, J. The impact of urban freight transport: A definition of sustainability from an actor’s perspective. Transp. Plan. Technol. 2008, 31, 693–713. [Google Scholar] [CrossRef]
  20. Jacyna, M.; Wasiak, M.; Lewczuk, K.; Kłodawski, M. Simulation model of transport system of Poland as a tool for developing sustainable transport. Arch. Transp. 2014, 31, 23–35. [Google Scholar] [CrossRef]
  21. Schreyer, C.; Schneider, C.; Maibach, M.; Rothengatter, W.; Doll, C.; Schmedding, D. External Costs of Transport—Update Study; Final Report; IWW Uniwersitaet Karlsruhe, INFRAS: Zurich, Switzerland; Karlsruhe, Germany, 2004. [Google Scholar]
  22. Żochowska, R.; Karoń, G. ITS services packages as a tool for managing traffic congestion in cities. In Intelligent Transportation Systems—Problems and Perspectives; Sładkowski, A., Pamuła, W., Eds.; Series: “Studies in Systems Decision and Control”; Springer: Berlin/Heidelberg, Germany, 2016; Volume 32, pp. 81–103. [Google Scholar] [CrossRef]
  23. De Palma, A.; Lindsey, R. Traffic congestion pricing methodologies and technologies. Transp. Res. Part C Emerg. Technol. 2011, 19, 1377–1399. [Google Scholar] [CrossRef]
  24. Levy, J.I.; Buonocore, J.J.; Von Stackelberg, K. Evaluation of the public health impacts of traffic congestion: A health risk assessment. Environ. Health 2010, 9, 1–12. [Google Scholar] [CrossRef]
  25. Stokols, D.; Novaco, R.W.; Stokols, J.; Campbell, J. Traffic congestion, Type A behavior, and stress. J. Appl. Psychol. 1978, 63, 467. [Google Scholar] [CrossRef]
  26. Luo, Q.; Juan, Z.; SUN, B.; Jia, H. Method research on measuring the external costs of urban traffic congestion. J. Transp. Syst. Eng. Inf. Technol. 2007, 7, 9–12. [Google Scholar] [CrossRef]
  27. Jacyna-Gołda, I.; Żak, J.; Gołębiowski, P. Models of traffic flow distribution for various scenarios of the development of proecological transport system. Arch. Transp. 2014, 4, 17–28. [Google Scholar] [CrossRef]
  28. Vaitiekūnas, P.; Banaitytė, R. Modeling of motor transport exhaust pollutant dispersion. J. Environ. Eng. Landsc. Manag. 2007, 14, 39–46. [Google Scholar] [CrossRef]
  29. Jacyna, M.; Lewczuk, K.; Szczepański, E.; Gołębiowski, P.; Jachimowski, R.; Kłodawski, M.; Pyza, D.; Sivets, O.; Wasiak, M.; Zak, J.; et al. Effectiveness of national transport system according to costs of emission of pollutants. In Safety and Reliability: Methodology and Applications; Nowakowski, T., Ed.; CRC Press: Boca Raton, FL, USA, 2015; pp. 559–567. [Google Scholar]
  30. Galilea, P.; de Dios Ortuzar, J. Valuing noise level reductions in a residential location context. Transp. Res. Part D Transp. Environ. 2005, 10, 305–322. [Google Scholar] [CrossRef]
  31. Jakovljevic, B.; Paunovic, K.; Belojevic, G. Road-traffic noise and factors influencing noise annoyance in an urban population. Environ. Int. 2009, 35, 552–556. [Google Scholar] [CrossRef] [PubMed]
  32. Filippone, A. Aircraft noise prediction. Prog. Aerosp. Sci. 2014, 68, 27–63. [Google Scholar] [CrossRef]
  33. Den Boer, E.; Schroten, A. Traffic noise reduction in Europe. CE Delft 2007, 14, 2057–2068. [Google Scholar]
  34. Monetisation of the Health Impact due to Traffic Noise; Swiss Agency for the Environment, Forests and Landscape: Bern, Switzerland, 2003.
  35. Bickel, P.; Friedrich, R.; Burgess, A.; Fagiani, P.; Hunt, A.; De Jong, G.; Laird, J.; Lieb, C.; Lindberg, G.; Mackie, P.; et al. Proposal for Harmonised Guidelines; Deliverable D5 of HEATCO Project; IER—University of Stuttgart: Stuttgart, Germany, 2006. [Google Scholar]
  36. Korzhenevych, A.; Dehnen, N.; Bröcker, J.; Holtkamp, M.; Meier, H.; Gibson, G.; Varma, A.; Cox, V. Update of the Handbook on External Costs of Transport. In Final Report: Report for the European Commission: DG MOVE Ricardo-AEA/R/ED57769 Issue Number 18 January 2014; 2014; Available online: https://ec.europa.eu/transport/sites/transport/files/handbook_on_external_costs_of_transport_2014_0.pdf (accessed on 10 February 2021).
  37. Proost, S. TREMOVE 2 Service Contract for the Further Development and Application of the TREMOVE Transport Model—Lot 3: Final Report Part 2: Description of the Baseline; European Commission, Directorate General of the Environment: Brussels, Belgium, 2006. [Google Scholar]
  38. Merkisz, J.; Jacyna, M.; Merkisz-Guranowska, A.; Pielecha, J. The parameters of passenger cars engine in terms of real drive emission test. Arch. Transp. 2014, 32, 43–50. [Google Scholar] [CrossRef][Green Version]
  39. Chamier-Gliszczyński, N.; Bohdal, T. Mobility in Urban Areas in Environment Protection. Rocz. Ochr. Środowiska 2016, 18, 387–399. [Google Scholar]
  40. Jacyna, M.; Wasiak, M. The study of transport impact on the environment with regard to sustainable development. Vibroeng. Procedia 2017, 13, 285–289. [Google Scholar] [CrossRef]
  41. Jacyna, M.; Wasiak, M.; Lewczuk, K.; Karoń, G. Noise and environmental pollution from transport: Decisive problems in developing ecologically efficient transport systems. J. Vibroeng. 2017, 19, 5639–5655. [Google Scholar] [CrossRef]
  42. Wasiak, M.; Niculescu, A.I.; Kowalski, M. A generalized method for assessing emissions from road and air transport on the example of Warsaw Chopin Airport. Arch. Civ. Eng. 2020, 66, 399–419. [Google Scholar]
  43. Available online: www.ptvgroup.com (accessed on 10 February 2021).
  44. Shafiei, E.; Leaver, J.; Davidsdottir, B. Cost-effectiveness analysis of inducing green vehicles to achieve deep reductions in greenhouse gas emissions in New Zealand. J. Clean. Prod. 2017, 150, 339–351. [Google Scholar] [CrossRef]
  45. Shi, F.; Xu, G.M.; Liu, B.; Huang, H. Optimization method of alternate traffic restriction scheme based on elastic demand and mode choice behaviour. Transp. Res. Part C 2014, 39, 36–52. [Google Scholar] [CrossRef]
  46. Kholod, N.; Evans, M.; Gusev, E.; Yu, S.; Malyshev, V.; Tretyakova, S.; Barinov, A. A methodology for calculating transport emissions in cities with limited traffic data: Case study of diesel particulates and black carbon emissions in Murmansk. Sci. Total. Environ. 2016, 547, 305–313. [Google Scholar] [CrossRef]
  47. Lu, J.; Li, B.; Li, H.; Al-Barakani, A. Expansion of city scale, traffic modes, traffic congestion, and air pollution. Cities 2021, 108, 102974. [Google Scholar] [CrossRef]
  48. Wang, L.; Xu, J.; Qin, P. Will a driving restriction policy reduce car trips?—The case study of Beijing, China. Transp. Res. Part A 2014, 67, 279–290. [Google Scholar] [CrossRef]
  49. Gundlach, A.; Ehrlinspiel, M.; Kirsch, S.; Koschker, A.; Sagebiel, J. Investigating people’s preferences for car-free city centers: A discrete choice experiment. Transp. Res. Part D 2018, 63, 677–688. [Google Scholar] [CrossRef]
  50. Schubert, T.; Dziekan, K.; Kiso, C. Tomorrow’s Cities: Towards livable cities with lower car densities. Transp. Res. Procedia 2019, 41, 260–263. [Google Scholar] [CrossRef]
  51. Pasha, A.; Rastogi, R.; Mir, M.S. Impact of Car Restrictive Policies: A Case Study of Srinagar City in J&K State India. Transp. Res. Procedia 2020, 48, 2690–2705. [Google Scholar]
  52. Nosal, K.; Starowicz, W. Evaluation of influence of mobility management instruments implemented in separated areas of the city on the changes in modal split. Arch. Transp. 2015, 35, 41–52. [Google Scholar] [CrossRef]
  53. Bagheri, M.; Ghafourian, H.; Kashefiolasl, M.; Pour, M.T.S.; Rabbani, M. Travel management optimization based on air pollution condition using Markov decision process and genetic algorithm (case study: Shiraz city). Arch. Transp. 2020, 53, 89–102. [Google Scholar] [CrossRef]
  54. Jacyna, M.; Merkisz, J. Proecological approach to modelling traffic organization in national transport system. Arch. Transp. 2014, 30, 31–41. [Google Scholar] [CrossRef]
  55. Notter, B.; Keller, M.; Althaus, H.J.; Cox, B. HBEFA, Handbook Emission Factors for Road Transport 4.1, Quick Reference; Bern, Germany; 28 June 2019; Available online: https://www.hbefa.net/e/help/HBEFA41_help_en.pdf (accessed on 10 February 2021).
Figure 1. Scheme of the method of the scenario analyses of reducing exhaust emissions by introducing electric vehicles in the city.
Figure 1. Scheme of the method of the scenario analyses of reducing exhaust emissions by introducing electric vehicles in the city.
Energies 14 02030 g001
Figure 2. Silesian Voivodeship against the background of Poland, and Bielsko-Biała city against the background of the Silesian Voivodeship.
Figure 2. Silesian Voivodeship against the background of Poland, and Bielsko-Biała city against the background of the Silesian Voivodeship.
Energies 14 02030 g002
Figure 3. Road and street network of Bielsko-Biała city and of the central areas of the city: (a) road network allowed for through traffic; (b) central areas of the city (in scenarios W1 and W3 without through traffic).
Figure 3. Road and street network of Bielsko-Biała city and of the central areas of the city: (a) road network allowed for through traffic; (b) central areas of the city (in scenarios W1 and W3 without through traffic).
Energies 14 02030 g003
Figure 4. Links closed for through traffic in the central areas of the city.
Figure 4. Links closed for through traffic in the central areas of the city.
Energies 14 02030 g004
Figure 5. The assessment of CO2 reported total [g] (measure from Group 1) for scenario W0 and optimal scenario (W4)—analysis for the whole city: (a) measure for scenario W0; (b) measure for scenario W4.
Figure 5. The assessment of CO2 reported total [g] (measure from Group 1) for scenario W0 and optimal scenario (W4)—analysis for the whole city: (a) measure for scenario W0; (b) measure for scenario W4.
Energies 14 02030 g005
Figure 6. The assessment of CO total [g] (measure from Group 1) for scenario W0 and optimal scenario (W4)—analysis for the whole city: (a) measure for scenario W0; (b) measure for scenario W4.
Figure 6. The assessment of CO total [g] (measure from Group 1) for scenario W0 and optimal scenario (W4)—analysis for the whole city: (a) measure for scenario W0; (b) measure for scenario W4.
Energies 14 02030 g006
Figure 7. The assessment of HC total [g] (measure from Group 1) for scenario W0 and optimal scenario (W4)—analysis for the whole city: (a) measure for scenario W0; (b) measure for scenario W4.
Figure 7. The assessment of HC total [g] (measure from Group 1) for scenario W0 and optimal scenario (W4)—analysis for the whole city: (a) measure for scenario W0; (b) measure for scenario W4.
Energies 14 02030 g007
Figure 8. The assessment of nitrogen oxides (NOx) total [g] (measure from Group 1) for scenario W0 and optimal scenario (W4)—analysis for the whole city: (a) measure for scenario W0; (b) measure for scenario W4.
Figure 8. The assessment of nitrogen oxides (NOx) total [g] (measure from Group 1) for scenario W0 and optimal scenario (W4)—analysis for the whole city: (a) measure for scenario W0; (b) measure for scenario W4.
Energies 14 02030 g008
Figure 9. The assessment of particulate matter (PM) (10 µm) total [g] (measure from Group 1) for scenario W0 and optimal scenario (W4)—analysis for the whole city: (a) measures for scenario W0; (b) measures for scenario W4.
Figure 9. The assessment of particulate matter (PM) (10 µm) total [g] (measure from Group 1) for scenario W0 and optimal scenario (W4)—analysis for the whole city: (a) measures for scenario W0; (b) measures for scenario W4.
Energies 14 02030 g009
Figure 10. The assessment of fuel consumption total [g] (measure from Group 2) for scenario W0 and optimal scenario (W4)—analysis for the whole city: (a) measure for scenario W0; (b) measure for scenario W4.
Figure 10. The assessment of fuel consumption total [g] (measure from Group 2) for scenario W0 and optimal scenario (W4)—analysis for the whole city: (a) measure for scenario W0; (b) measure for scenario W4.
Energies 14 02030 g010
Figure 11. The assessment of fuel consumption diesel total [g] and fuel consumption gasoline total [g] (measures from Group 2) for scenario W0 and optimal scenario (W4)—analysis for the whole city: (a) measures for scenario W0; (b) measures for scenario W4.
Figure 11. The assessment of fuel consumption diesel total [g] and fuel consumption gasoline total [g] (measures from Group 2) for scenario W0 and optimal scenario (W4)—analysis for the whole city: (a) measures for scenario W0; (b) measures for scenario W4.
Energies 14 02030 g011
Figure 12. The assessment of fuel consumption total [MJ] and fuel consumption electric total [MJ] (measures from Group 2) for scenario W0 and optimal scenario (W4)—analysis for the whole city: (a) measures for scenario W0; (b) measures for scenario W4.
Figure 12. The assessment of fuel consumption total [MJ] and fuel consumption electric total [MJ] (measures from Group 2) for scenario W0 and optimal scenario (W4)—analysis for the whole city: (a) measures for scenario W0; (b) measures for scenario W4.
Energies 14 02030 g012
Figure 13. The assessment of CO2 total [g] (measure from Group 1) for scenario W0 and optimal scenario (W3)—analysis for the central areas of the city: (a) measures for scenario W0; (b) measures for scenario W3.
Figure 13. The assessment of CO2 total [g] (measure from Group 1) for scenario W0 and optimal scenario (W3)—analysis for the central areas of the city: (a) measures for scenario W0; (b) measures for scenario W3.
Energies 14 02030 g013
Figure 14. The assessment of CO total [g] (measure from Group 1) for scenario W0 and optimal scenario (W3)—analysis for the central areas of the city: (a) measures for scenario W0; (b) measures for scenario W3.
Figure 14. The assessment of CO total [g] (measure from Group 1) for scenario W0 and optimal scenario (W3)—analysis for the central areas of the city: (a) measures for scenario W0; (b) measures for scenario W3.
Energies 14 02030 g014
Figure 15. The assessment of HC total [g] (measure from Group 1) for scenario W0 and optimal scenario (W3)—analysis for the central areas of the city: (a) measures for scenario W0; (b) measures for scenario W3.
Figure 15. The assessment of HC total [g] (measure from Group 1) for scenario W0 and optimal scenario (W3)—analysis for the central areas of the city: (a) measures for scenario W0; (b) measures for scenario W3.
Energies 14 02030 g015
Figure 16. The assessment of NOx total [g] (measure from Group 1) for scenario W0 and optimal scenario (W3)—analysis for the central areas of the city: (a) measures for scenario W0; (b) measures for scenario W3.
Figure 16. The assessment of NOx total [g] (measure from Group 1) for scenario W0 and optimal scenario (W3)—analysis for the central areas of the city: (a) measures for scenario W0; (b) measures for scenario W3.
Energies 14 02030 g016
Figure 17. The assessment of PM (10 µm) total [g] (measure from Group 1) for scenario W0 and optimal scenario (W3)—analysis for the central areas of the city: (a) measures for scenario W0; (b) measures for scenario W3.
Figure 17. The assessment of PM (10 µm) total [g] (measure from Group 1) for scenario W0 and optimal scenario (W3)—analysis for the central areas of the city: (a) measures for scenario W0; (b) measures for scenario W3.
Energies 14 02030 g017
Figure 18. The assessment of fuel consumption total [g] (measure from Group 2) for scenario W0 and optimal scenario (W3)—analysis for the central areas of the city: (a) measures for scenario W0; (b) measures for scenario W3.
Figure 18. The assessment of fuel consumption total [g] (measure from Group 2) for scenario W0 and optimal scenario (W3)—analysis for the central areas of the city: (a) measures for scenario W0; (b) measures for scenario W3.
Energies 14 02030 g018
Figure 19. The assessment of fuel consumption diesel total [g] and fuel consumption gasoline total [g] (measures from Group 2) for scenario W0 and optimal scenario (W3)—analysis for the central areas of the city: (a) measures for scenario W0; (b) measures for scenario W3.
Figure 19. The assessment of fuel consumption diesel total [g] and fuel consumption gasoline total [g] (measures from Group 2) for scenario W0 and optimal scenario (W3)—analysis for the central areas of the city: (a) measures for scenario W0; (b) measures for scenario W3.
Energies 14 02030 g019
Figure 20. The assessment of fuel consumption total [MJ] and fuel consumption electric total [MJ] (measures from Group 2) for scenario W0 and optimal scenario (W3)—analysis for the central areas of the city: (a) measures for scenario W0; (b) measures for scenario W3.
Figure 20. The assessment of fuel consumption total [MJ] and fuel consumption electric total [MJ] (measures from Group 2) for scenario W0 and optimal scenario (W3)—analysis for the central areas of the city: (a) measures for scenario W0; (b) measures for scenario W3.
Energies 14 02030 g020
Figure 21. Values of the ratio between W0 and individual scenarios W1–W4 for the measures from Group 1—analysis for the whole city: (a) the ratio between scenario W0 and W1; (b) the ratio between scenario W0 and W2; (c) the ratio between scenario W0 and W3; (d) the ratio between scenario W0 and W4.
Figure 21. Values of the ratio between W0 and individual scenarios W1–W4 for the measures from Group 1—analysis for the whole city: (a) the ratio between scenario W0 and W1; (b) the ratio between scenario W0 and W2; (c) the ratio between scenario W0 and W3; (d) the ratio between scenario W0 and W4.
Energies 14 02030 g021
Figure 22. Values of the ratio between W0 and individual scenarios W1–W4 for selected measures from Group 2—analysis for the whole city: (a) the ratio between scenario W0 and W1; (b) the ratio between scenario W0 and W2; (c) the ratio between scenario W0 and W3; (d) the ratio between scenario W0 and W4.
Figure 22. Values of the ratio between W0 and individual scenarios W1–W4 for selected measures from Group 2—analysis for the whole city: (a) the ratio between scenario W0 and W1; (b) the ratio between scenario W0 and W2; (c) the ratio between scenario W0 and W3; (d) the ratio between scenario W0 and W4.
Energies 14 02030 g022
Figure 23. Values of the ratio between W0 and scenarios W1–W4 for fuel consumption electric [MJ]—analysis for the whole city.
Figure 23. Values of the ratio between W0 and scenarios W1–W4 for fuel consumption electric [MJ]—analysis for the whole city.
Energies 14 02030 g023
Figure 24. Values of the ratio between W0 and individual scenarios W1–W4 for the measures from Group 1—analysis for the central areas of the city: (a) the ratio between scenario W0 and W1; (b) the ratio between scenario W0 and W2; (c) the ratio between scenario W0 and W3; (d) the ratio between scenario W0 and W4.
Figure 24. Values of the ratio between W0 and individual scenarios W1–W4 for the measures from Group 1—analysis for the central areas of the city: (a) the ratio between scenario W0 and W1; (b) the ratio between scenario W0 and W2; (c) the ratio between scenario W0 and W3; (d) the ratio between scenario W0 and W4.
Energies 14 02030 g024
Figure 25. Values of the ratio between W0 and individual scenarios W1–W4 for selected measures from Group 2—analysis for the whole city: (a) the ratio between scenario W0 and W1; (b) the ratio between scenario W0 and W2; (c) the ratio between scenario W0 and W3; (d) the ratio between scenario W0 and W4.
Figure 25. Values of the ratio between W0 and individual scenarios W1–W4 for selected measures from Group 2—analysis for the whole city: (a) the ratio between scenario W0 and W1; (b) the ratio between scenario W0 and W2; (c) the ratio between scenario W0 and W3; (d) the ratio between scenario W0 and W4.
Energies 14 02030 g025
Figure 26. Values of the ratio between W0 and scenarios W1–W4 for fuel consumption electric [MJ]—analysis for the city centre.
Figure 26. Values of the ratio between W0 and scenarios W1–W4 for fuel consumption electric [MJ]—analysis for the city centre.
Energies 14 02030 g026
Table 1. Instruments for the internalisation of external costs of transport related to noise and exhaust emissions.
Table 1. Instruments for the internalisation of external costs of transport related to noise and exhaust emissions.
Instrument NameInstrument TypeEfficiencyCost-Effectiveness Index *
Communication noise
New brake systems for railway vehiclesTechnicalHigh1
Design changes of enginesTechnicalLow2
Speed limitsCommand and controlAverage3
Tires with reduced noise levelsTechnicalLow4
Soundproof walls/soundproof screensInfrastructureHigh5
Air pollution
Buses and other vehicles with alternative drive (low and zero emission)TechnicalLow1
EURO emission standardsCommand and controlHigh2
Emission-related tolls
Fuel tax
EconomicHigh3
City parking policy (availability, prices)Economic/infrastructureAverage4
Tariff policy in urban public transportEconomicAverage5
Traffic bans in the city (low and zero emission zones)Command and controlHigh6
Speed limitsCommand and controlAverage7
Climate changes
Economic driving coursesOrganisational/institutionalAverage1
Kyoto Mechanism (Emissions Trading, Clean Development Mechanisms)EconomicHigh2
Fuel taxEconomicHigh3
Renewable energy sources for electricity production (railways, electric vehicles)TechnicalHigh4
Buses and other vehicles with alternative drive (low and zero emission)TechnicalHigh5
Tolling on vehicles with high fuel consumption and CO2 emissions or fuel consumption (i.e., low fuel efficiency) and rebates for low CO2 emissions or fuel-efficient vehicles.EconomicLow6
EURO standards for exhaust emissions and alternative fuelsCommand and controlAverage7
Speed limitsCommand and controlAverage8
* 1—vehicle with the highest cost-effectiveness ratio. Source: own work on the basis of [21].
Table 2. Types of fleet composition
Table 2. Types of fleet composition
Fleet CompositionType of VehiclesTypes of Fleet Composition
Urbanpassenger carA
light commercial vehicleB
mix (trucks, truck trailers, articulated trucks)C
Averagepassenger carD
light commercial vehicleE
mix (trucks, truck trailers, articulated trucks)F
Motorwaypassenger carG
light commercial vehicleH
mix (trucks, truck trailers, articulated trucks)I
Electricpassenger carJ
light commercial vehicleK
mix (trucks, truck trailers, articulated trucks)L
Table 3. The volume and share of car traffic during the morning rush hour in Bielsko-Biała city.
Table 3. The volume and share of car traffic during the morning rush hour in Bielsko-Biała city.
Type of TrafficVolume of Car Traffic [E/h]Share of Car Traffic [%]
Inbound traffic14,40347.79
Outbound traffic
(the city is the origin of the trip)
569818.91
Outbound traffic
(the city is the destination of the trip)
815927.07
Through traffic18806.24
TOTAL30,140100.00
Table 4. The fleet compositions in the transport model adopted for the reference scenario W0 and for the scenarios W1–W4 for the purposes of analyses of exhaust emissions.
Table 4. The fleet compositions in the transport model adopted for the reference scenario W0 and for the scenarios W1–W4 for the purposes of analyses of exhaust emissions.
Type of TrafficScenario W0Scenario W1Scenario W2Scenario W3Scenario W4
Inbound trafficA, B, CA, B, CA, B, CJ, K, LJ, K, L
Outbound traffic
(the city is the origin of the trip)
A, B, CA, B, CA, B, CJ, K, LJ, K, L
Outbound traffic
(the city is the destination of the trip)
D, E, FJ, K, LJ, K, LJ, K, LJ, K, L
Through trafficG, H, IG, H, I (without central areas of the city)G, H, IG, H, I (without central areas of the city)G, H, I
Table 5. The values of the measures for assessing the impact of the share of electric vehicles in traffic on the reduction of exhaust emissions for the reference scenario W0 and for the scenarios W1–W4—analysis for the whole city.
Table 5. The values of the measures for assessing the impact of the share of electric vehicles in traffic on the reduction of exhaust emissions for the reference scenario W0 and for the scenarios W1–W4—analysis for the whole city.
Measure of AssessmentScenario W0Scenario W1Scenario W2Scenario W3Scenario W4
Group 1
CO2 reported total [g]42,343,255.8230,984,001.2630,980,307.6012,797,176.8912,793,777.41
CO total [g]184,107.10157,678.34157,676.7228,845.6628,837.32
HC total [g]29,186.2626,296.0826,295.473917.833917.20
NOx total [g]194,904.37140,494.09140,482.0454,422.5854,408.70
PM (10 µm) total [g]7991.165969.175968.662093.452092.81
Group 2
Fuel consumption total [g]14,580,702.0910,669,279.5910,668,006.204,413,042.974,411,871.06
Fuel consumption total [MJ]616,895.76502,461.61502,408.14314,856.75314,809.19
Fuel consumption diesel total [g]9,504,016.516,869,764.366,868,988.592,629,596.302,628,879.40
Fuel consumption gasoline total [g]5,076,530.123,799,396.563,798,898.961,783,358.591,782,903.60
Fuel consumption electric total [MJ]21.9651,182.7451,183.13128,237.83128,239.83
Group 3
Total time spend in network [h]108.34108.16108.34108.16108.34
Average speed in network [km/h]33.0333.0333.0333.0333.03
Table 6. Ranking of the scenarios—analysis for the whole city.
Table 6. Ranking of the scenarios—analysis for the whole city.
Measure of AssessmentScenario W1Scenario W2Scenario W3Scenario W4
Group 1
CO2 reported total [g]4321
CO total [g]4321
HC total [g]4321
NOx total [g]4321
PM (10 µm) total [g]4321
Group 2
Fuel consumption total [g]4321
Fuel consumption total [MJ]4321
Fuel consumption diesel total [g]4321
Fuel consumption gasoline total [g]4321
Fuel consumption electric total [MJ]1234
Group 3
Total time spend in network [h]1212
Average speed in network [km/h]1212
Table 7. The values of the measures for assessing the impact of the share of electric vehicles in traffic at the city centre area on the reduction of exhaust emissions for the reference scenario W0 and for the scenarios W1–W4—analysis for the central areas of the city.
Table 7. The values of the measures for assessing the impact of the share of electric vehicles in traffic at the city centre area on the reduction of exhaust emissions for the reference scenario W0 and for the scenarios W1–W4—analysis for the central areas of the city.
Measure of AssessmentScenario W0Scenario W1Scenario W2Scenario W3Scenario W4
Group 1
CO2 reported total [g]858,504.30670,728.44673,202.791033.933508.28
CO total [g]5309.834922.724927.672.607.55
HC total [g]943.74898.60899.100.240.75
NOx total [g]3737.122915.012924.824.4914.30
PM (10 µm) total [g]167.95135.95136.320.180.55
Group 2
Fuel consumption total [g]295,550.57230,849.60231,702.57356.371209.34
Fuel consumption total [MJ]12,498.3810,549.4710,585.553487.123523.21
Fuel consumption diesel total [g]189,812.73148,453.24148,976.21221.43744.41
Fuel consumption gasoline total [g]105,736.0182,395.1582,725.12134.93464.91
Fuel consumption electric total [MJ]21.96789.44789.443472.053472.05
Group 3
Total time spend in network [h]1.080.931.080.931.08
Average speed in network [km/h]25.0325.0525.0325.0525.03
Table 8. Ranking of the scenarios—analysis for the central areas of the city.
Table 8. Ranking of the scenarios—analysis for the central areas of the city.
Measure of AssessmentScenario W1Scenario W2Scenario W3Scenario W4
Group 1
CO2 reported total [g]3412
CO total [g]3412
HC total [g]3412
NOx total [g]3412
PM (10 µm) total [g]1412
Group 2
Fuel consumption total [g]3412
Fuel consumption total [MJ]3412
Fuel consumption diesel total [g]3412
Fuel consumption gasoline total [g]3412
Fuel consumption electric total [MJ]2211
Group 3
Total time spend in network [h]1212
Average speed in network [km/h]2121
Publisher’s Note: MDPI stays neutral with regard to jurisdictional claims in published maps and institutional affiliations.

Share and Cite

MDPI and ACS Style

Jacyna, M.; Żochowska, R.; Sobota, A.; Wasiak, M. Scenario Analyses of Exhaust Emissions Reduction through the Introduction of Electric Vehicles into the City. Energies 2021, 14, 2030. https://doi.org/10.3390/en14072030

AMA Style

Jacyna M, Żochowska R, Sobota A, Wasiak M. Scenario Analyses of Exhaust Emissions Reduction through the Introduction of Electric Vehicles into the City. Energies. 2021; 14(7):2030. https://doi.org/10.3390/en14072030

Chicago/Turabian Style

Jacyna, Marianna, Renata Żochowska, Aleksander Sobota, and Mariusz Wasiak. 2021. "Scenario Analyses of Exhaust Emissions Reduction through the Introduction of Electric Vehicles into the City" Energies 14, no. 7: 2030. https://doi.org/10.3390/en14072030

APA Style

Jacyna, M., Żochowska, R., Sobota, A., & Wasiak, M. (2021). Scenario Analyses of Exhaust Emissions Reduction through the Introduction of Electric Vehicles into the City. Energies, 14(7), 2030. https://doi.org/10.3390/en14072030

Note that from the first issue of 2016, this journal uses article numbers instead of page numbers. See further details here.

Article Metrics

Back to TopTop