Abstract
A diesel engine is a typical dynamic system. In this paper, a dynamics method is proposed to establish the Hamiltonian model of the diesel engine, which solves the main difficulty of constructing a Hamiltonian function under the multi-field coupling condition. Furthermore, the control method of Hamiltonian model structure modification is introduced to study the control of a diesel engine. By means of the principle of energy-shaping and Hamiltonian model structure modification theories, the modified energy function is constructed, which is proved to be a quasi-Lyapunov function of the closed-loop system. Finally, the control laws are derived, and the simulations are carried out. The study reveals the dynamic mechanism of diesel engine operation and control and provides a new way to research the modeling and control of a diesel engine system.
1. Introduction
In recent years, with large-scale development and the application of new energy resources, diesel generator sets (DGSs) have become more and more important in distributed power grids and micro-power grids [1]. Diesel engine properties have been paid more and more attention by researchers.
Research on diesel generator sets includes modeling [2,3], operation regulation [4], and coordination of control [5,6,7,8], among which modeling and control research are both important parts.
A DGS is complex power equipment. From a control point of view, the dynamic characteristics of the actuator and shafting are key. The internal dynamic process of a diesel engine can be ignored due to the short transient time. Although there are various types of diesel engine actuators, they can be described by the classical second-order vibration model after being abstracted as mathematical models. A simplified first-order transfer function model is also used in some applications. Research methods for the nonlinear characteristics of diesel engine actuators mainly include refined modeling with consideration of the nonlinear characteristics of components [9,10] and the physical characteristics and parameter identification with the introduction of new algorithms [11,12]. Combining the motion equations of the shaft system and the actuator equations, the equations of a diesel engine can be obtained.
Current control can be roughly divided into two categories. First, based on the traditional proportion integration differentiation (PID) control, the new control theory is used to optimize the PID parameters, e.g., using particle swarm optimization to optimize PID parameters [13] and using a radial-basis-function neural network for the real-time optimization of PID parameters [14]. The second aspect is to construct a new controller to replace the PID control unit, e.g., nonlinear H2/H∞ control [15], explicit multi-input and multi-output predictive control [16], extended guaranteed cost control [17], generalized Hamiltonian control [18], and virtual generator technology [19]. The general trend is to break out of the PID mode constraints and introduce new control theories to design new controllers.
The generalized Hamiltonian system in solving the control problems of a nonlinear system has significant features. Its structure and the damping matrix provide the relevant dynamic information of internal parameters [20,21], which provides a new way to research the Hamiltonian system. As a result, there have been a lot of achievements. Taking the port-controlled Hamiltonian (PCH) system as an example, the literature [22] has proposed a Hamiltonian control method of structure modification, which effectively avoids the difficulty of constructing the modified energy function, and the control laws are formed with a stabilizing control and an additional control at the given equilibrium point. The solution equation of stabilizing control and the displayed expression of additional control are derived. The control method of the PCH system has many applications. The PCH system combined with the energy-shaping method has been applied to control a permanent magnet synchronous motor [23,24]. The PCH model framework and the adaptive control method have been used to study the modeling problem of an uncertain system with parameters [25]. The energy-shaping control method has been used to study the control strategy of a quasi-Z-source inverter based on the PCH system to reach the purpose of improving the dynamic response and steady-state accuracy [26].
In this paper, the PCH model of a diesel engine is derived. Based on the PCH model, the quasi-Lyapunov function of the system is obtained by the energy-shaping method. Under the condition of guaranteeing the stability of the system at the equilibrium point, the control law of the diesel engine system is obtained by the structure and damping modified The feedback stabilization control is realized.
The key work of this paper includes two aspects. First, a dynamic method is proposed to establish the Hamiltonian model of the diesel engine, which solves the main difficulty of constructing the Hamiltonian function. This method provides a new way for the modeling of other devices based on dynamics theory. Second, based on the established Hamiltonian model, the control method of Hamiltonian model structure modification is introduced to study the control of the DGS, which shows the effectiveness of the structure modification method in the application of the Hamiltonian system.
2. From Diesel Engine Basic Model to Hamiltonian Model
2.1. Actuator Function of Diesel Engine
Consider the diesel engine actuator shown in Figure 1.
Figure 1.
Structure drawing of electromagnetic actuator: (1) output linkage; (2) shell; (3) armature winding; (4) proportional electromagnet; (5) reset spring; (6) displacement sensor.
The mechanical system shown in Figure 1 is a typical spring-mass system. Assuming that the mass of the moving parts containing the armature, linkage of actuator, and so on is m1 (kg), the linkage displacement is x (m), and the velocity is v (m/s), then the kinetic energy of the moving parts of the actuator is m1v2/2 and the elastic potential energy is k1x2/2, where k1 is the spring stiffness (N/m). The Lagrangian function of the system is equal to the kinetic energy minus the potential energy as follows:
The input of the electromagnetic coil is u and the output is a linkage displacement, x. Obviously, the electromagnetic force, F, generated by the armature moving in the charged coil on the axis is related to u and x, i.e., F can be expressed as F(x, u). At the initial steady state, the electromagnetic force is F(x0,u0). If the input changes, ∆u, and the corresponding axis displacement changes, ∆x, then the electromagnetic force changes to F(x0 + ∆x,u0 + ∆u). Expanding the electromagnetic force into Taylor series and ignoring the higher-order terms, the electromagnetic force can be expressed as follows:
where kx = ∂F/∂x and ku = ∂F/∂u.
Further, assuming the damping acting on the axis is linear damping with a damping coefficient of c1 (N·s/m), the external force, Q1, acting on the axis is the sum of the electromagnetic force and the damping force, Q1 = F(x, u)-c1v.
As is known, the Lagrangian equation is
Substituting L1 and Q1 into the above Lagrangian equation (Equation (3)), where at steady state, the differential terms of each order are zero, that is ∆u = 0 and ∆x = 0, then Equation (3) can be written as follows:
where kx1 = kx−k1 and .
By reducing the order of the nonlinear differential equation (Equation (4)) and setting ,, then Equation (4) can be replaced by two first-order equations, as shown in Equation (5):
2.2. Motion Equations of Diesel Engine
Taking the angular displacement of the rotating machinery, θm (rad), as the generalized coordinate, the Lagrangian function L2 is the rotational kinetic energy of the axis:
Assuming that the output torque of the diesel engine is M1, the electromagnetic torque of the diesel engine load is M2, and the damping torque is Md, then, the non-conservative generalized external force acting on the diesel engine shaft is Q2 = M1−M2−Md.
The torque and speed characteristics of the diesel engine shaft is M1 = kω + d1 + a1x. Referring to [27], the damping torque is expressed as Md = MBD(ω−1), where ω is the angular velocity per unit and MB is the basic value of diesel engine torque. D is the equivalent damping coefficient of the diesel engine. By substituting Equation (6) into the Lagrangian equation (Equation (3)), the motion equation of the diesel engine shaft can be obtained as follows:
The diesel engine actuator and body are combined together as a whole diesel engine system. The Lagrangian function L3 of the entire diesel engine system is:
2.3. Hamiltonian Model of Diesel Engine
Setting V = [x2 x1 ωm]T, according to the theory of analytical dynamics, defines the generalized momentum as follows:
According to the theory of analytical dynamics, the Hamiltonian function is defined as H = PTV−L3, where p = [p1 p2 p3]. Referring to [28], the rotational kinetic energy can be expressed as a function of ω1, where ω1 = ωm/ωB−1 and ωB = 100π (rad/s) which represents the angular velocity base value, then the Hamiltonian function is as follows:
where .
Using the Hamiltonian transformation relations ,, and , Equations (5) and (7) can be expressed in the form of the Hamiltonian function:
Remark 1.
Equation (11) is in the Hamiltonian form. This set of equations is derived from the original nonlinear differential equation model of the diesel engine, which is essentially consistent with the differential equations.
Selecting x = [x1 x2 ω1]T, Equation (11) can be transformed into Equation (12) as follows:
where
and
3. Control Design
3.1. Basic Theory
A nonlinear system can be written in a PCH as
where the state variable is x∈Rn, the control variable is u∈Rm, m < n, and J(x) = JT(x) is the anti-symmetric structure matrix, which reflects the internal correlation mechanism of the system variables. R(x) = RT(x) is the symmetric damping matrix, which reflects the damping characteristics of the system variables at the port. The input channel matrix, g(x), reflects the action of the external input.
Theorem [20]: Given the equilibrium point x0, the desired modified structure matrix Jα(x), and the damping matrix Ra(x), Suppose that a control α(x) and a vector function K(x) can be found to satisfy:
and makes
- ;.
- .
- At the equilibrium point x0 satisfied: .
- At the equilibrium point x0 satisfied: .
Then, the closed-loop system by u(x) = α(x) can be changed as:
where and .
x0 is the local stable equilibrium point of the closed-loop system and Hd(x) is a quasi-Lyapunov function of the equilibrium.
3.2. Design of Modified Structure and Damping
The purpose of the design is to make the system (Equation (12)) stable at the given equilibrium point by finding the modified structural matrix, Jα, and damping matrix, Ra.
Step 1: Constructing the Hamiltonian function and modified matrixes of the closed-loop system.
The Hamiltonian function, Hd, is selected as follows:
where is the initial value of the state variables and
If every element is modified in the matrixes Jα(x) and Rα(x), it would make the design very difficult. Therefore, considering the correlation of variables, the modified matrixes Jα and Rα are selected as Equations (17) and (18), respectively:
and
In Equation (17), J13 represents the influence factor between the linkage displacement and the shaft speed, and J23 represents the influence factor between the linkage speed and the shaft speed. In Equation (18), the elements r1, r2, and r3 represent the damping factor of the state variable itself.
Step 2: Calculation of the vector function K(x).
Setting the feedback control, , as
Substituting Equations (15)–(20) into Equation (14), the following three equations can be obtained:
From Equations (22) and (23), the expressions of the control variable, and the load moment, M2, can be obtained as follows:
It is known from Equation (12) that u and M2 are input control variables of the system. After the modified design, their expressions (Equations (24) and (25)) contain the damping and structure modified factors r2, J13, and J23. This means that the outputs of the diesel engine can be controlled by these modified factors.
Remark 2.
Equation (24) can be expressed as , where is the initial control. Δu which is related to the modified factors r2 and J23 is the additional control item generated by the modified structure, namely
Remark 3.
Equation (25) can be expressed as, whererepresents the initial load torque.which is related to the modified factors J13, J23, and r3 represents another item of the additional control generated by the modified structure.
3.3. Stability Analysis
According to the theorem in Section 3.1
- (1)
- , where , : Item (i) of the theorem is satisfied;
- (2)
- ,: Item (ii) of the theorem is satisfied;
- (3)
- , so : Item (iii) is satisfied;
- (4)
- ,, therefore : Item (iv) of the theorem is satisfied, and the Hessian matrix is .
The above analysis shows that the closed-loop system is stable at the equilibrium point, and Hd(x) is a quasi-Lyapunov function of the equilibrium point.
Remark 4:
The key to the realization of the Hamiltonian model structure modification method is whether an appropriate energy function Hd can be found. In this study, Hd chosen in function (16) is the same form as energy function H in (10). The purpose is to satisfy the condition of stability, but, in the application of this method for a general dynamic system, finding an appropriate energy function Hd is not easy.
Remark 5:
The additional control output generated by the modification is reflected in Equations (24) and (25). In this paper, as these two equations do not contain factor r1, the parameter modification of r1 fails, and this is the deficiency of this design method.
4. Simulation
4.1. Simulation System
The purpose of studying the modeling and control of a DGS is to play the regulating role of the DGS in a micro-grid that includes wind power, solar power, batteries, and a DGS. Therefore, the simulation platform is constructed as in Figure 2 and contains three modules: renewable energy module, DGS, and load module in which the renewable energy module includes solar power, wind power, and batteries. The DGS adopts the Hamilton model proposed in this paper. The load module is used to simulate the load and the load disturbance is controlled by the switch QF.
Figure 2.
Simulation system diagram.
Simulation parameters:
The rated power of the diesel engine is 1250 kW, the rated speed, n, is 1500 r/min, the mass, m1, is 0.8 kg, the mechanical damping coefficient, c1, is 10.0 N s/mm, the spring stiffness, k1, is 3.6, the maximum stroke of the linkage output is 10 mm, the moment of inertia, J, is 71.822 kg.m2, the number of generator poles, p, is 2, and the equivalent damping coefficient of the generator, D, is 2.1753. The output power of the renewable energy in Figure 2 remains unchanged during the simulation.
4.2. Stability Simulation Analysis of Diesel Engine Model
The stability of the diesel engine model is studied by simulation. The initial operating conditions are as follows: the initial load, pe, is 0.8 (pu), with a 0.1 (pu) step disturbance occurring at t = 1.0 s and ending at t = 5.0 s. In the transient process, the characteristics of the output torque, pm1, of the diesel engine, the electromagnetic power, pe1, of the generator connected to the diesel engine, and the diesel engine frequency are simulated. The simulation results are shown in Figure 3 and Figure 4, respectively.
Figure 3.
Diesel engine torque, pm1, and generator electromagnetic power, pe1, curves.
Figure 4.
Diesel engine frequency curve.
In Figure 3, the red dotted line is the diesel engine output torque, pm1, and the black line is the electromagnetic power of the generator output, pe1. It can be seen in the process of load disturbance that the response of the diesel engine and the generator output power is completely consistent.
The curve in Figure 4 is the changing of frequency. The oscillation characteristic of the frequency curve is consistent with the expected result of the theoretical analysis.
The above simulation results show that the model of the diesel engine is correct and stable under the disturbance of the load step.
4.3. Effects of Modified Factors on Output
The initial operating conditions are as follows: the active power of the generator, pe, is 0.8(pu), the power factor of the generator is 0.8, with a 0.1(pu) step disturbance occurring at t = 0.1 s and ending at t = 0.2 s. The effect of each modified factor on the output power of the diesel generator set is studied below.
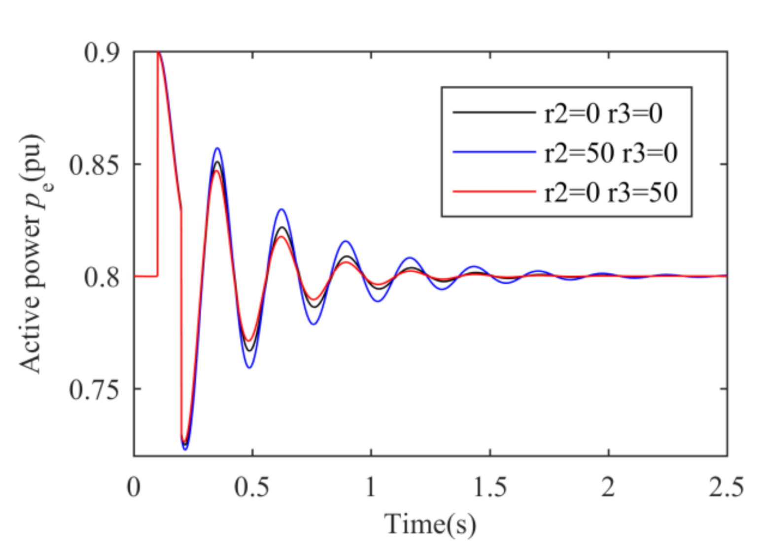
(1) Effect of modified damping factor
Given the structure factors J13 = 3 and J23 = 3, the response characteristics of the DGS in different values of the damping factor are shown in Figure 5. It can be seen from Figure 5 that the red curve with r2 = 0, r3 = 50 has better effects than that of the black curve without the additional control and the blue curve with r2 = 50, r3 = 0. The results indicate that the overshoot generated by the disturbance can be suppressed by selecting appropriate modified damping parameters, and meanwhile the oscillation time is shortened. That is, the oscillation damping of the system can be changed by modifying the damping parameters in Equation (18). Therefore, the modified damping factor design is effective.
Figure 5.
Effects of damping factor on the diesel generator set (DGS).
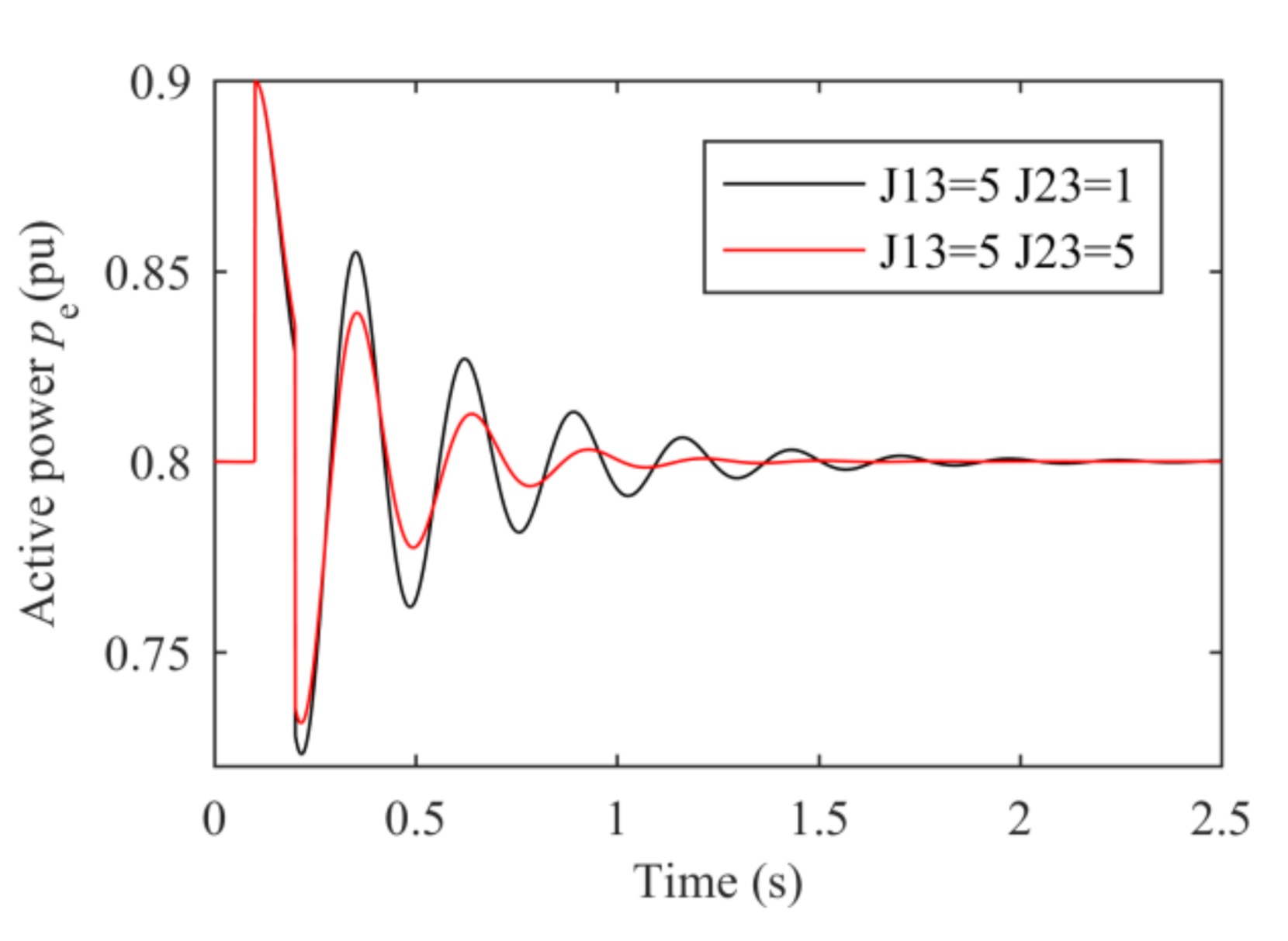
(2) Effects of modified structure factor
Given the damping modified factor r2 = 5, r3 = 5, Figure 6 and Figure 7 are the response curves of the active power in different modified structure factor values of J13 and J23. Figure 6 and Figure 7 show that the decay characteristics of the active power oscillation of the DGS change with varying the modified structure factor. By selecting the appropriate modified structure parameters, a better effect on disturbance suppression can be obtained.
Figure 6.
Effects of structure factor J23 on the DGS.
Figure 7.
Effects of structure factor J13 on the DGS.
(3) Relationship between the modified factors and the damping coefficient
The above simulation results show that different values of the modified factors have different effects on the output of active power of the DGS, reflecting the different role of damping. The damping characteristic can be described by using the damping coefficient, which can be extracted from the oscillation curve of the active power. In this section, different modified factors are selected to further study the relationship between the modified factors and the damping coefficient.
Keeping the modified structure factors J13 and J23 unchanged, while r2 and r3 change within a certain range, the relationship between r2, r3, and the damping coefficient is simulated. In Figure 8, r3 changes from 2 to 7 and the variation of r2 and the damping coefficient is shown. It can be seen that the damping coefficient increases with the decrease of r2 and increases with the increase of r3. These results assist with the design of the matrix Rα expressed in Equation (18), which makes the damping coefficient higher and the control effect better.
Figure 8.
Relationship between r and the damping coefficient.
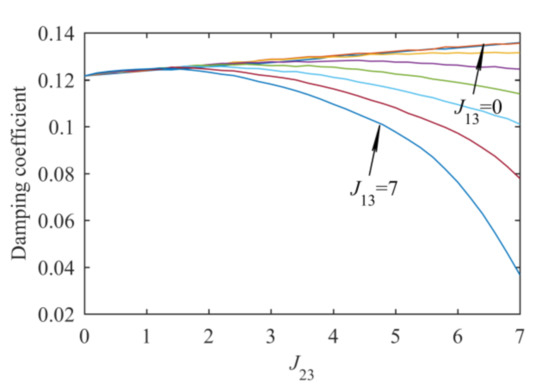
From the aspect of the structure factor, J, the effects of J13 and J23 on the damping coefficient are studied. Keeping the damping modified factors r2 and r3 unchanged, while J23 and J13 change within a certain range, the relationship between J23, J13, and the damping coefficient is simulated. In Figure 9, seven curves are obtained with J13 changing from 0 to 7. The result in Figure 9 shows that the smaller J13 is better in achieving the higher damping coefficient. The result can help us to design the matrix expressed in Equation Function (17) and get a satisfactory control effect.
Figure 9.
Relationship between factor J and the damping coefficient.
5. Conclusions
In this paper, the modeling and control of a diesel engine are studied from the perspective of Hamiltonian dynamics. The dynamics mechanism of diesel engine operation and control are explored. Three conclusions are drawn:
- (1)
- The Hamiltonian function of a diesel engine is constructed based on the dynamics principle, and the port-controlled Hamiltonian model of a diesel engine is further established. This modeling method provides a new way for other equipment to establish the Hamiltonian model.
- (2)
- The modification of the structure and damping matrixes is essentially equivalent to an additional control, which can suppress the abrupt load disturbance. The modified matrixes Jα and Rα are the key components of this additional control, and the control effect is closely related to the modified factors in the Jα and Rα matrixes. Both structure and damping factors have a damping effect on the load oscillation. However, there exists an optimal match between the structure and the damping factors to obtain the desired control effect. The related optimization problems are worth further exploring in the future.
- (3)
- The method presented in this paper can be extended to all operating cases of diesel engines. In order to obtain a good control effect, appropriate Jα and Rα need to be selected carefully according to various objects.
Author Contributions
Conceptualization, J.Q.; methodology, J.Q. and S.Y.; software, Y.Z. and S.Y.; validation, J.Q. and Y.G.; formal analysis, Y.Z.; investigation, J.Q.; resources, J.Q.; data curation, Y.Z. and S.Y.; writing—original draft preparation, J.Q. and Y.G.; writing—review and editing, Y.G. and J.Q.; visualization, Y.Z.; supervision, J.Q.; project administration, J.Q.; funding acquisition, J.Q. All authors have read and agreed to the published version of the manuscript.
Funding
This research was funded by the National Natural Science Foundation of China, grant number 51869007”.
Institutional Review Board Statement
Not applicable.
Informed Consent Statement
Not applicable.
Data Availability Statement
Not applicable.
Conflicts of Interest
The authors declare no conflict of interest.
Nomenclature
| Symbols | Parameter definitions |
| Displacement coefficient of torque equation | |
| Constant term of torque equation | |
| Damping coefficient of actuator in N s/m | |
| D | Equivalent damping coefficient of the diesel engine |
| J | Moment of inertia in kg m2 |
| Spring stiffness in N/m | |
| Variation gradient of electromagnetic force | |
| kω | Velocity coefficient of torque function |
| L0 | Maximum displacement of the actuator |
| L1 | Lagrangian function of the actuator |
| L2 | Lagrangian function of the rotational kinetic energy of the axis |
| Lagrangian function of the whole diesel engine system | |
| Mass of moving parts of the actuator in kg | |
| M1 | Torque of the diesel engine in N m |
| M2 | Electromagnetic torque of the generator in N m |
| MB | Torque base value in N m |
| Md | Damping torque of the generator in N m |
| p | Number of generator poles |
| Q2 | Non-conservative generalized external force (torque) in N m |
| Tj | Inertia time constant in s |
| Input of actuator | |
| Moving velocity of actuator in m/s | |
| ω | Angular velocity in rad/s |
| ω1 | Increment of angular velocity in pu |
| ωm | Mechanical angular velocity in rad/s |
| Armature shaft displacement in m | |
| xr | Displacement corresponding to the rated torque |
References
- Khezri, R.; Mahmoudi, A. Review on the state-of-the-art multi-objective optimisation of hybrid standalone/grid-connected energy systems. IET Gener. Transm. Distrib. 2020, 14, 4285–4300. [Google Scholar] [CrossRef]
- Sebastián, R.; Pea-Alzola, R. Flywheel Energy Storage and Dump Load to Control the Active Power Excess in a Wind Diesel Power System. Energies 2020, 13, 2029. [Google Scholar] [CrossRef]
- Xu, Z.; Gao, S.; Han, Y.; Yuan, J. Modeling and feedback linearization based sliding mode control of diesel engines for waterjet propulsion vessels. Control. Eng. Pract. 2020, 105, 104647. [Google Scholar] [CrossRef]
- Tang, Y.; Dai, J.; Feng, Y. Cooperative frequency control strategy for wind farm black-start based on virtual inertia. Autom. Electr. Power Syst. 2017, 41, 19–24. [Google Scholar]
- Ramesh, M.; Yadav, A.K.; Pathak, P.K. Intelligent adaptive LFC via power flow management of integrated standalone micro-grid Syst. ISA Trans. 2020, in press. [Google Scholar] [CrossRef]
- Baykov, A.; Dar’enkov, A.; Kurkin, A.; Sosnina, E. Mathematical modelling of a tidal power station with diesel and wind units. J. King Saud Univ. Sci. 2019, 31, 1491–1498. [Google Scholar] [CrossRef]
- Malik, A.; Ravishankar, J. A hybrid control approach for regulating frequency through demand response. Appl. Energy 2018, 210, 1347–1362. [Google Scholar] [CrossRef]
- Chen, X.; Xin, Y.; Tang, W.; Zheng, M. Coordinated Control Strategy of Wind Turbine and Diesel Generator for Black-start System of Offshore Wind Farm. Autom. Electr. Power Syst. 2020, 44, 98–105. [Google Scholar]
- Liu, P.; Fan, L.; Zhou, W.; Ma, X.; Song, E. Dynamic performances analysis and optimization of novel high-speed electromagnetic actuator for electronic fuel injection system of diesel engine. J. Mech. Sci. Technol. 2017, 31, 4019–4028. [Google Scholar] [CrossRef]
- Sun, H.; Dai, C.; Li, S. Composite control of fuel quantity actuator system for diesel engines via backstepping control technique and generalised proportional integral observer. IET Control. Theory Appl. 2020, 14, 605–613. [Google Scholar] [CrossRef]
- Yu, M.; Tang, X.; Lin, Y.; Wang, X. Diesel engine modeling based on recurrent neural networks for a hardware-In-The-Loop simulation system of diesel generator sets. Neurocomputing 2018, 283, 9–19. [Google Scholar] [CrossRef]
- Lin, C.-H.; Wu, C.-J.; Yang, J.-Z.; Liao, C.-J. Parameters identification of reduced governor system model for diesel-engine generator by using hybrid particle swarm optimisation. IET Electr. Power Appl. 2018, 12, 1265–1271. [Google Scholar] [CrossRef]
- Wang, W.; Zhang, M.; Yang, F. Study of PID speed controller based on particle swarm optimization. Control. Eng. China 2015, 22, 1082–1086. [Google Scholar]
- Song, E.; Wang, Y.; Ding, S.; Ma, X. An application of RBF neural network theory in diesel control. J. Harbin Eng. Univ. 2018, 39, 908–914. [Google Scholar]
- Huang, M.L.; Song, K.M.; Wei, Z.D. Nonlinear H2/H∞ speed regulator for a diesel-generator set. Control Theory Appl. 2009, 26, 873–878. [Google Scholar]
- Zhao, D.; Liu, C.; Stobart, R.; Deng, J.; Winward, E.; Dong, G. An explicit model predictive control framework for turbocharged diesel engines. IEEE Trans. Ind. Electron. 2013, 61, 3540–3552. [Google Scholar] [CrossRef]
- Yu, G.; Ogai, H.; Deng, H. Extended guaranteed cost control of diesel engine via LMI approach. IEEJ Trans. Electr. Electron. Eng. 2018, 13, 496–504. [Google Scholar] [CrossRef]
- Liang, H.; Han, B.; Zhang, D. Control strategy of marine power plant diesel based on Hamilton theory. Navig. China 2019, 42, 6–10, 23. [Google Scholar]
- Huang, J.; Wang, P.; Wang, J.; Chen, J. Transient power equalization control method of virtual diesel generating set for microgrid Inverter. Power Syst. Technol. 2019, 43, 2876–2883. [Google Scholar]
- Ortega, R.; Van Der Schaft, A.J.; Mareels, I.; Maschke, B. Putting energy back in control. IEEE Control. Syst. Mag. 2001, 21, 18–33. [Google Scholar]
- Ortega, R.; Van Der Schaft, A.; Castanos, F.; Astolfi, A. Control by interconnection and standard passivity-based control of port-Hamiltonian systems. IEEE Trans. Autom. Control. 2008, 53, 2527–2542. [Google Scholar] [CrossRef]
- Zeng, Y.; Zhang, L.; Qian, J.; Guo, Y. Control design method of Hamiltonian structure modified and its application. Electr. Mach. Control. 2014, 18, 93–100. [Google Scholar]
- Yu, H.-S.; Zhao, K.-Y.; Guo, L.; Wang, H.-L. In Maximum torque per ampere control of PMSM based on port-controlled Hamiltonian theory. Proc. Chin. Soc. Electr. Eng. 2006, 26, 82–87. [Google Scholar]
- Liu, X.; Yu, H.; Yu, J.; Zhao, Y. A novel speed control method based on port-controlled Hamiltonian and disturbance observer for PMSM drives. IEEE Access 2019, 7, 111115–111123. [Google Scholar] [CrossRef]
- Ryalat, M.; Laila, D.S.; ElMoaqet, H. Adaptive Interconnection and Damping Assignment Passivity Based Control for Underactuated Mechanical Systems. Int. J. Control. Autom. Syst. 2021, 19, 1–14. [Google Scholar] [CrossRef]
- Ma, D.; Cai, Z.; Wang, R.; Sun, Q.; Wang, P. Energy shaping controller design of three-phase quasi-Z-source inverter for grid-tie. IET Power Electron. 2020, 13, 3601–3612. [Google Scholar] [CrossRef]
- Kunder, P.; Balu, N.J.; Lauby, M.G. Power System Stability and Control; McGraw-Hill: New York, NY, USA, 1994; p. 947. [Google Scholar]
- Zeng, Y.; Zhang, L.; Guo, Y.; Qian, J.; Zhang, C. The generalized Hamiltonian model for the shafting transient analysis of the hydro turbine generating sets. Nonlinear Dyn. 2014, 76, 1921–1933. [Google Scholar] [CrossRef]
Publisher’s Note: MDPI stays neutral with regard to jurisdictional claims in published maps and institutional affiliations. |
© 2021 by the authors. Licensee MDPI, Basel, Switzerland. This article is an open access article distributed under the terms and conditions of the Creative Commons Attribution (CC BY) license (https://creativecommons.org/licenses/by/4.0/).








