Using MPC to Balance Intermittent Wind and Solar Power with Hydro Power in Microgrids
Abstract
1. Introduction
1.1. Background
1.2. Previous Studies
1.3. Assumptions and Limitation
1.4. Outline and Contributions
- (1)
- finding controller discretization time constraining the grid frequency, maintained at the required range, based on the rate of change of intermittent generation
- (2)
- a daily prediction of solar power, and consumer load using relaxation parameters for the Weibull and normal distributions
- (3)
- a yearly average hydro scheduling for balancing load and generation using yearly parameter spaces for Weibull and normal distributions.
2. System Description
3. Mathematical Model
3.1. Hydro-Turbine System
3.2. Turbine-Synchronous Machine Aggregate System
3.3. Solar and Wind Power Plant
3.4. Case Study
4. Open-Loop Simulation
4.1. Initial Considerations
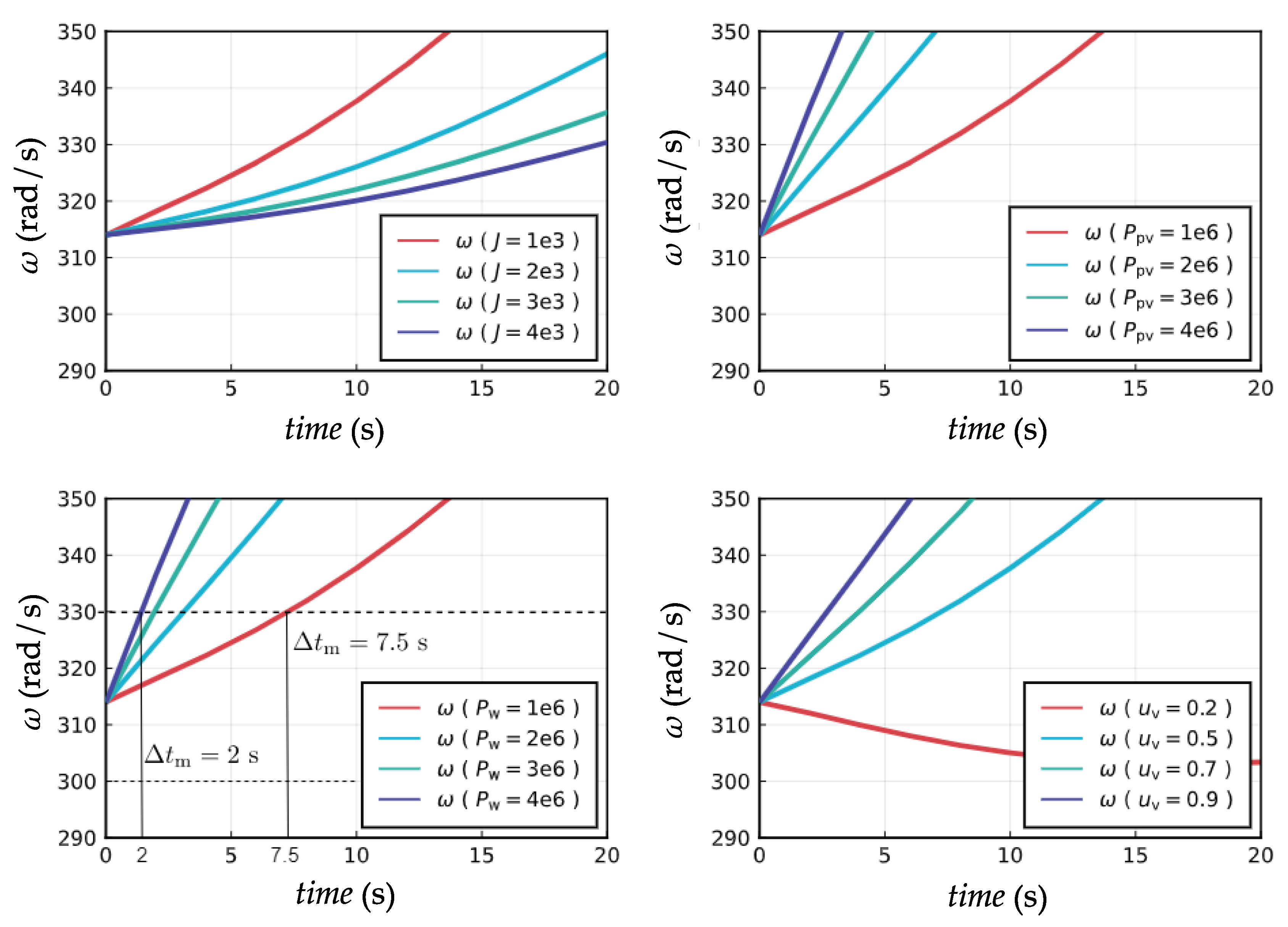
4.2. Parameter Sensitivity Analysis
4.3. Power Injection into the Grid
4.3.1. Static Power Injection
4.3.2. Inertial Power Injection
5. MPC in a Microgrid
5.1. Deterministic MPC
5.1.1. Without Process Disturbance and Measurement Noise
5.1.2. With Process Disturbance and Measurement Noise
5.1.3. With Real Measurements
5.1.4. Pump-Turbine Operations
5.2. Stochastic Analysis
5.2.1. State-Space Model
5.2.2. Weibull and Normal Distribution
5.2.3. Relaxation Parameters
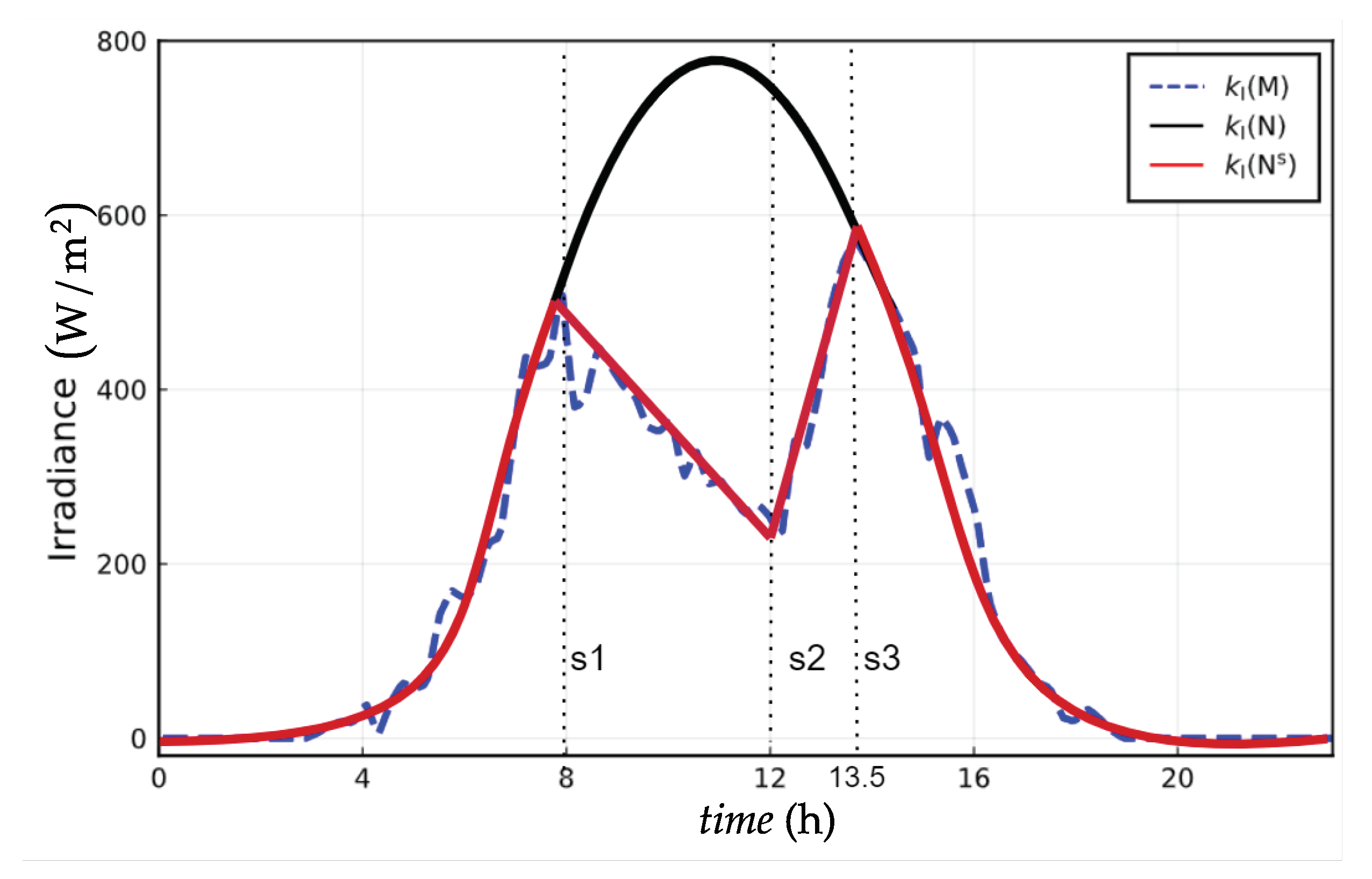
5.3. Effect of Shadows
5.4. Generating Future Scenarios
Stochastic Analysis of Deterministic MPC
6. Results and Discussion
7. Conclusions
8. Future Work
Author Contributions
Funding
Acknowledgments
Conflicts of Interest
References
- Charmasson, J.; Belsnes, M.; Andersen, O.; Eloranta, A.; Graabak, I.; Korpås, M.; Helland, I.; Sundt, H.; Wolfgang, O. Roadmap for Large-Scale Balancing and Energy Storage from Norwegian Hydropower: Opportunities, Challanges and Needs until 2050; Opportunities, Challenges and Needs Until; SINTEF Energi AS: Trondheim, Norway, 2018. [Google Scholar]
- Graabak, I.; Jaehnert, S.; Korpås, M.; Mo, B. Norway as a battery for the future european power system—impacts on the hydropower system. Energies 2017, 10, 2054. [Google Scholar] [CrossRef]
- Graabak, I.; Korpås, M.; Jaehnert, S.; Belsnes, M. Balancing future variable wind and solar power production in Central-West Europe with Norwegian hydropower. Energy 2019, 168, 870–882. [Google Scholar] [CrossRef]
- Graabak, I.; Korpås, M. Balancing of variable wind and solar production in Continental Europe with Nordic hydropower–A review of simulation studies. Energy Procedia 2016, 87, 91–99. [Google Scholar] [CrossRef]
- Steen, D.; Goop, J.; Göransson, L.; Nursbo, S.; Brolin, M. Challenges of integrating solar and wind into the electricity grid. Systems Perspectives on Renewable Power; Chalmers University of Technology: Gothenburg, Sweden, 2014; pp. 94–107. [Google Scholar]
- Ahmed, S.D.; Al-Ismail, F.S.; Shafiullah, M.; Al-Sulaiman, F.A.; El-Amin, I.M. Grid integration challenges of wind energy: A review. IEEE Access 2020, 8, 10857–10878. [Google Scholar] [CrossRef]
- Zhou, W. Modeling, Control and Optimization of a Hydropower Plant; University College of Southeast Norway: Notodden, Norway, 2017. [Google Scholar]
- Liu, X.; Zhang, Y.; Lee, K.Y. Coordinated distributed MPC for load frequency control of power system with wind farms. IEEE Trans. Ind. Electron. 2016, 64, 5140–5150. [Google Scholar] [CrossRef]
- Liu, X.; Zhang, Y.; Lee, K.Y. Robust distributed MPC for load frequency control of uncertain power systems. Control. Eng. Pract. 2016, 56, 136–147. [Google Scholar] [CrossRef]
- Munoz-Hernandez, G.A.; Jones, D.I. Modelling and Controlling Hydropower Plants; Springer Science & Business Media: Berlin/Heidelberg, Germany, 2012. [Google Scholar]
- Flórez, J.Z.; Martinez, J.J.; Besançon, G.; Faille, D. Explicit coordination for MPC-based distributed control with application to Hydro-Power Valleys. In Proceedings of the 2011 50th IEEE Conference on Decision and Control and European Control Conference, Orlando, FL, USA, 12–15 December 2011; pp. 830–835. [Google Scholar]
- Magdy, G.; Shabib, G.; Elbaset, A.A.; Mitani, Y. Frequency stabilization of renewable power systems based on mpc with application to the egyptian grid. IFAC-PapersOnLine 2018, 51, 280–285. [Google Scholar] [CrossRef]
- Avramiotis-Falireas, I.; Troupakis, A.; Abbaspourtorbati, F.; Zima, M. An MPC strategy for automatic generation control with consideration of deterministic power imbalances. In Proceedings of the 2013 IREP Symposium Bulk Power System Dynamics and Control-IX Optimization, Security and Control of the Emerging Power Grid, Rethymnon, Crete, Greece, 25–30 August 2013; pp. 1–8. [Google Scholar]
- Bhagdev, D.; Mandal, R.; Chatterjee, K. Study and application of MPC for AGC of two area interconnected thermal-hydro-wind system. In Proceedings of the 2019 Innovations in Power and Advanced Computing Technologies (i-PACT), Vellore, India, 22–23 March 2019; Volume 1, pp. 1–6. [Google Scholar]
- Reigstad, T.I.; Uhlen, K. Optimized Control of Variable Speed Hydropower for Provision of Fast Frequency Reserves. Electr. Power Syst. Res. 2020, 189, 106668. [Google Scholar] [CrossRef]
- Welcome to OpenModelica-OpenModelica. OpenModelica. Available online: https://www.openmodelica.org/ (accessed on 12 May 2020).
- Modelica Association. The Modelica Association-Modelica Association. Available online: https://www.modelica.org/ (accessed on 12 May 2020).
- Pandey, M.; Lie, B. The Role of Hydropower Simulation in Smart Energy Systems. In Proceedings of the 2020 IEEE 7th International Conference on Energy Smart Systems (ESS), Kyiv, Ukraine, 12–14 May 2020; pp. 392–397. [Google Scholar]
- University of South-Eastern Norway. OpenHPL-Home. Available online: https://openhpl.simulati.no (accessed on 12 May 2020).
- Rensselaer Polytechnic Institute, ALSETLab. OpenIPSL’s documentation!-OpenIPSL 1.0.0 documentation. Available online: https://openipsl.org (accessed on 12 May 2020).
- Pearson, R. PhotoVoltaics. Available online: https://raulrpearson.github.io/PhotoVoltaics/ (accessed on 12 May 2020).
- Kral, C. WindPowerPlants|Dr. Christian Kral. Available online: http://www.christiankral.net/en/modelica/windpowerplants (accessed on 12 May 2020).
- JuliaLang.org contributors. The Julia Programming Language. Available online: https://julialang.org/ (accessed on 12 May 2020).
- Dunning, I.; Huchette, J.; Lubin, M. JuMP: A Modeling Language for Mathematical Optimization. SIAM Rev. 2017, 59, 295–320. [Google Scholar] [CrossRef]
- Revels, J.; Lubin, M.; Papamarkou, T. Forward-Mode Automatic Differentiation in Julia. arXiv 2016, arXiv:1607.07892 [cs.MS]. [Google Scholar]
- Open Source Modelica Consortium. OMJulia–OpenModelica Julia Scripting. Available online: https://https://www.openmodelica.org/doc/OpenModelicaUsersGuide/latest/omjulia.html (accessed on 12 May 2020).
- Saavedra, R.; Bodin, G.; Souto, M. StateSpaceModels.jl: A Julia Package for Time-Series Analysis in a State-Space Framework. arXiv 2019, arXiv:1908.01757. [Google Scholar]


















| Parameters | Symbols | Values |
|---|---|---|
| Hydro power plant: | ||
| Rated power | 6 MW | |
| Number of pump-turbine units | - | 4 |
| Rating of each pump-turbine | - | MW |
| Nominal head, discharge, valve signal, | ||
| Height difference of reservoir, intake, surge tank, and penstock | ||
| Length of intake, surge tank, and penstock | ||
| Diameter of intake, surge tank, and penstock | ||
| Hydraulic efficiency of hydro-turbine | ||
| Inertia of turbine-rotor | ||
| Solar power plant: | ||
| Rated power and irradiance | ||
| Effective area of total panels | A | |
| Solar panel efficiency | ||
| Wind power plant: | ||
| Rated power and velocity | ||
| Radius of the turbine | R | |
| Wind-turbine efficiency | ||
| Inertia of turbine-rotor | ||
| Parameters and Initial Conditions | Symbols | Values |
|---|---|---|
| Prediction horizon | 5 | |
| Normalized tuning parameter for input | p | |
| Controller discretization time | ||
| Initial conditions for states | ||
| Bounds for water mass oscillations inside surge tank | ||
| Bounds for flow rate through surge tank | ||
| Bounds for discharge through penstock | ||
| Bounds for grid frequency | ||
| Bound for valve signal | ||
| Rate of change of valve signal | ||
| Process distrubances with mean and co-variance W | and | |
| Measurement noises with mean and co-variance V | and | |
| States co-variance for UKF | X |
| Real Plant | Control Model |
|---|---|
| 1. Developed in Modelica
| 1. Developed in Julia
|
| 2. Use for emulating measurements, states estimation and updating states. | 2. Use for formulating model constraints for cost function used in MPC |
| 3. Modelica libraries: OpenHPL, OpenIPSL, Photovoltaics and WindPowerConversionSystems for modeling hydro powers, electrical systems, solar and wind power plants, respectively. | 3. Only hydro power and aggregate model is considered |
| 4. Higher order model with automatic discretization for solving model equations. | 4. Euler discretization |
Publisher’s Note: MDPI stays neutral with regard to jurisdictional claims in published maps and institutional affiliations. |
© 2021 by the authors. Licensee MDPI, Basel, Switzerland. This article is an open access article distributed under the terms and conditions of the Creative Commons Attribution (CC BY) license (http://creativecommons.org/licenses/by/4.0/).
Share and Cite
Pandey, M.; Winkler, D.; Sharma, R.; Lie, B. Using MPC to Balance Intermittent Wind and Solar Power with Hydro Power in Microgrids. Energies 2021, 14, 874. https://doi.org/10.3390/en14040874
Pandey M, Winkler D, Sharma R, Lie B. Using MPC to Balance Intermittent Wind and Solar Power with Hydro Power in Microgrids. Energies. 2021; 14(4):874. https://doi.org/10.3390/en14040874
Chicago/Turabian StylePandey, Madhusudhan, Dietmar Winkler, Roshan Sharma, and Bernt Lie. 2021. "Using MPC to Balance Intermittent Wind and Solar Power with Hydro Power in Microgrids" Energies 14, no. 4: 874. https://doi.org/10.3390/en14040874
APA StylePandey, M., Winkler, D., Sharma, R., & Lie, B. (2021). Using MPC to Balance Intermittent Wind and Solar Power with Hydro Power in Microgrids. Energies, 14(4), 874. https://doi.org/10.3390/en14040874

