Interleaved, Switched Inductor and High-Gain Wide Bandgap Based Boost Converter Proposal
Abstract
1. Introduction
2. Converter Description and Operation Principle
3. Converter Design Example
4. Experimental Results: SiC and GaN Versions
4.1. Phase Currents and Switch Voltages
4.2. Output Currents and Output Diode Voltage
4.3. Inductor Currents
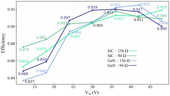
4.4. Efficiency
5. Conclusions
Author Contributions
Funding
Institutional Review Board Statement
Informed Consent Statement
Data Availability Statement
Conflicts of Interest
References and Notes
- Rodriguez-Diaz, E.; Savaghebi, M.; Vasquez, J.C.; Guerrero, J.M. An overview of low voltage DC distribution systems for residential applications. In Proceedings of the 2015 IEEE 5th International Conference on Consumer Electronics—Berlin (ICCE-Berlin), Berlin, Germany, 6–9 September 2015; pp. 318–322. [Google Scholar]
- Elvira, D.G.; Blaví, H.V.; Pastor, À.C.; Salamero, L.M. Efficiency Optimization of a Variable Bus Voltage DC Microgrid. Energies 2018, 11, 3090. [Google Scholar] [CrossRef]
- EATON Impact DC-grids. 2018. Available online: https://gelijkspanning.org/wp-content/uploads/2020/06/2.6-GG-DC-presentatie-Eaton-Waarom-DC-Rev6E.pdf (accessed on 2 February 2021).
- Mackay, L.; van der Blij, N.H.; Ramirez-Elizondo, L.; Bauer, P. Toward the Universal DC Distribution System. Electr. Power Compon. Syst. 2017, 45, 1032–1042. [Google Scholar] [CrossRef]
- Dragicevic, T.; Lu, X.; Vasquez, J.C.; Guerrero, J.M. DC Microgrids—Part II: A Review of Power Architectures, Applications, and Standardization Issues. IEEE Trans. Power Electron. 2016, 31, 3528–3549. [Google Scholar] [CrossRef]
- Ravyts, S.; Van Den Broeck, G.; Hallemans, L.; Vecchia, M.D.; Driesen, J. Fuse-Based Short-Circuit Protection of Converter Controlled Low-Voltage DC Grids. IEEE Trans. Power Electron. 2020, 35, 11694–11706. [Google Scholar] [CrossRef]
- Ourahou, M.; Ayrir, W.; EL Hassouni, B.; Haddi, A. Review on smart grid control and reliability in presence of renewable energies: Challenges and prospects. Math. Comput. Simul. 2020. [Google Scholar] [CrossRef]
- Pan, C.T.; Lai, C.M. A high-efficiency high step-up converter with low switch voltage stress for fuel-cell system applications. IEEE Trans. Ind. Electron. 2010, 57, 1998–2006. [Google Scholar] [CrossRef]
- Li, W.; He, X. Review of Nonisolated High-Step-Up DC/DC Converters in Photovoltaic Grid-Connected Applications. IEEE Trans. Ind. Electron. 2011, 58, 1239–1250. [Google Scholar] [CrossRef]
- Garrigós, A.; Sobrino-Manzanares, F. Interleaved multi-phase and multi-switch boost converter for fuel cell applications. Int. J. Hydrogen Energy 2015, 40, 8419–8432. [Google Scholar] [CrossRef]
- Kerler, M.; Burda, P.; Baumann, M.; Lienkamp, M. A concept of a high-energy, low-voltage EV battery pack. In Proceedings of the 2014 IEEE International Electric Vehicle Conference (IEVC), Florence, Italy, 17–19 December 2014; pp. 1–8. [Google Scholar]
- Deilami, S.; Muyeen, S.M. An insight into practical solutions for electric vehicle charging in smart grid. Energies 2020, 1545. [Google Scholar] [CrossRef]
- Buticchi, G.; Bozhko, S.; Liserre, M.; Wheeler, P.; Al-Haddad, K. On-Board Microgrids for the More Electric Aircraft—Technology Review. IEEE Trans. Ind. Electron. 2019, 66, 5588–5599. [Google Scholar] [CrossRef]
- Wheeler, P.; Bozhko, S. The More Electric Aircraft: Technology and challenges. IEEE Electrif. Mag. 2014, 2, 6–12. [Google Scholar] [CrossRef]
- De Boissieu, J.; Bouhours, G.; Boulanger, B.; Bourgue, O.; Meinguet, F.; Bekemans, M.; Cesaretti, G.; Taylor, R.; Bommottet, D.; Martens, P. High voltage electrical power system architecture optimized for electrical propulsion & high power payload. In Proceedings of the European Space Power Conference 2019, Juan-les-Pins, France, 30 September–4 October 2019; pp. 1–7. [Google Scholar]
- Bekemans, M.; Bronchart, F.; Scalais, T.; Franke, A. Configurable High Voltage Power Supply for Full Electric Propulsion Spacecraft. In Proceedings of the 2019 European Space Power Conference (ESPC 2019), Juan-les-Pins, France, 30 September–4 October 2019. [Google Scholar] [CrossRef]
- Khaligh, A.; Li, Z. Battery, Ultracapacitor, Fuel Cell, and Hybrid Energy Storage Systems for Electric, Hybrid Electric, Fuel Cell, and Plug-In Hybrid Electric Vehicles: State of the Art. IEEE Trans. Veh. Technol. 2010, 59, 2806–2814. [Google Scholar] [CrossRef]
- Liang, T.-J.; Lee, J.-H.; Chen, S.-M.; Chen, J.-F.; Yang, L.-S. Novel Isolated High-Step-Up DC–DC Converter with Voltage Lift. IEEE Trans. Ind. Electron. 2013, 60, 1483–1491. [Google Scholar] [CrossRef]
- Forouzesh, M.; Baghramian, A. Galvanically isolated high gain Y-source DC-DC converters for dispersed power generation. IET Power Electron. 2016, 9, 1192–1203. [Google Scholar] [CrossRef]
- Freudenberg, J.; Looze, D. Right half plane poles and zeros and design tradeoffs in feedback systems. IEEE Trans. Automat. Contr. 1985, 30, 555–565. [Google Scholar] [CrossRef]
- Bag, S.; Roy, T.; Mukhopadhyay, S.; Samanta, S.; Sheehan, R. Boost converter control using Smith Predictor technique to minimize the effect of Right Half Plane zero. Proc. IEEE Int. Conf. Control Appl. 2013, 983–988. [Google Scholar] [CrossRef]
- Wu, W.-C.; Bass, R.M.; Yeargan, J.R. Eliminating the effects of the right-half plane zero in fixed frequency boost converters. In Proceedings of the PESC 98 Record. In Proceedings of the 29th Annual IEEE Power Electronics Specialists Conference (Cat. No.98CH36196), Fukuoka, Japan, 22 May 1998; Volume 1, pp. 362–366. [Google Scholar]
- Forouzesh, M.; Siwakoti, Y.P.; Gorji, S.A.; Blaabjerg, F.; Lehman, B. Step-Up DC-DC converters: A comprehensive review of voltage-boosting techniques, topologies, and applications. IEEE Trans. Power Electron. 2017, 32, 9143–9178. [Google Scholar] [CrossRef]
- Sobrino-Manzanares, F.; Garrigos, A. Bidirectional, Interleaved, Multiphase, Multidevice, Soft-Switching, FPGA-Controlled, Buck–Boost Converter with PWM Real-Time Reconfiguration. IEEE Trans. Power Electron. 2018, 33, 9710–9721. [Google Scholar] [CrossRef]
- Palumbo, G.; Pappalardo, D. Charge Pump Circuits: An Overview on Design Strategies and Topologies. IEEE Circuits Syst. Mag. 2010, 10, 31–45. [Google Scholar] [CrossRef]
- Prudente, M.; Pfitscher, L.L.; Emmendoerfer, G.; Romaneli, E.F.; Gules, R. Voltage Multiplier Cells Applied to Non-Isolated DC–DC Converters. IEEE Trans. Power Electron. 2008, 23, 871–887. [Google Scholar] [CrossRef]
- Axelrod, B.; Berkovich, Y.; Ioinovici, A. Switched-Capacitor/Switched-Inductor Structures for Getting Transformerless Hybrid DC–DC PWM Converters. IEEE Trans. Circuits Syst. I Regul. Pap. 2008, 55, 687–696. [Google Scholar] [CrossRef]
- Alghaythi, M.L.; O’Connell, R.M.; Islam, N.E.; Khan, M.M.S.; Guerrero, J.M. A High Step-Up Interleaved DC-DC Converter with Voltage Multiplier and Coupled Inductors for Renewable Energy Systems. IEEE Access 2020, 8, 123165–123174. [Google Scholar] [CrossRef]
- Salvador, M.A.; Lazzarin, T.B.; Coelho, R.F. High Step-Up DC–DC Converter with Active Switched-Inductor and Passive Switched-Capacitor Networks. IEEE Trans. Ind. Electron. 2018, 65, 5644–5654. [Google Scholar] [CrossRef]
- Elasser, A.; Chow, T.P. Silicon carbide benefits and advantages for power electronics circuits and systems. Proc. IEEE 2002, 90, 969–986. [Google Scholar] [CrossRef]
- ON Semiconductors MOSFET Gate-Charge Origin and its Applications Introduction—2016.
- She, X.; Huang, A.Q.; Lucia, O.; Ozpineci, B. Review of Silicon Carbide Power Devices and Their Applications. IEEE Trans. Ind. Electron. 2017, 64, 8193–8205. [Google Scholar] [CrossRef]
- Matallana, A.; Ibarra, E.; López, I.; Andreu, J.; Garate, J.I.; Jordà, X.; Rebollo, J. Power module electronics in HEV/EV applications: New trends in wide-bandgap semiconductor technologies and design aspects. Renew. Sustain. Energy Rev. 2019, 113, 109264. [Google Scholar] [CrossRef]
- Hwang, J.C.; Chen, L.H.; Yeh, S.N. Comprehensive analysis and design of multi-leg fuel cell boost converter. Appl. Energy 2007, 84, 1274–1288. [Google Scholar] [CrossRef]
- Thounthong, P.; Davat, B. Study of a multiphase interleaved step-up converter for fuel cell high power applications. Energy Convers. Manag. 2010, 51, 826–832. [Google Scholar] [CrossRef]
- Erickson, R.W.; Maksimović, D. Fundamentals of Power Electronics; Springer US: Boston, MA, USA, 1997; ISBN 978-1-4757-0559-1. [Google Scholar]
- Rodriguez-Diaz, E.; Vasquez, J.C.; Guerrero, J.M. Intelligent DC Homes in Future Sustainable Energy Systems: When efficiency and intelligence work together. IEEE Consum. Electron. Mag. 2016, 5, 74–80. [Google Scholar] [CrossRef]
- Rodriguez-Diaz, E.; Chen, F.; Vasquez, J.C.; Guerrero, J.M.; Burgos, R.; Boroyevich, D. Voltage-Level Selection of Future Two-Level LVdc Distribution Grids: A Compromise Between Grid Compatibiliy, Safety, and Efficiency. IEEE Electrif. Mag. 2016, 4, 20–28. [Google Scholar] [CrossRef]
- Rodriguez-Diaz, E.; Vasquez, J.C.; Guerrero, J.M. Potential energy savings by using direct current for residential applications: A Danish household study case. In Proceedings of the 2017 IEEE Second International Conference on DC Microgrids (ICDCM), Atlanta, GA, USA, 27–29 June 2017; IEEE: Nuremburg, Germany, 2017; pp. 547–552. [Google Scholar]
- Lidow, A.; de Rooij, M.; Strydom, J.; Reusch, D.; Glaser, J. GaN Transistors for Efficient Power Conversion; John Wiley & Sons, Ltd.: Hoboken, NJ, USA, 2019; ISBN 9781119594406. [Google Scholar]
- Zhang, Z.; Fu, J.; Liu, Y.-F.; Sen, P.C. Switching Loss Analysis Considering Parasitic Loop Inductance with Current Source Drivers for Buck Converters. IEEE Trans. Power Electron. 2011, 26, 1815–1819. [Google Scholar] [CrossRef]
- CREE C3M0065100J—Datasheet. 2020.
- Efficient Power Conversion. EPC2112—Preliminary Datasheet. 2018.
- CREE CPWR-AN10—SiC MOSFET Driver. Rev-C—Datasheet. 2014.
- ROHM SCT3120ALHR—Datasheet. 2018.
- Transphorm Inc. TP65H035WSQA—Datasheet; Transphorm Inc.: Goleta, CA, USA, 2018. [Google Scholar]
- Toshiba Electronic Devices & Storage Corporation Parasitic Oscillation and Ringing of Power MOSFETs—Application Note; 2017.








| Element | Value | Ref | |
|---|---|---|---|
| Input Voltage—(Vin) | 48 V | PSW 80-40.5-GW Instek | |
| Output Voltage—(Vo) | 270 V (D = 0.35) | ||
| Power | 500 W | 4x HSC200150RJ-Tyco | |
| Inductances—(S-inductor) | 33 µH | 7443643300–WE | |
| Diodes | SiC–1200 V/12 A | UJ2D1210T–United SiC | |
| Switches—(Q) | Op1: | SiC–650 V/120 mΩ | SCT3120ALHR–ROHM |
| Op2: | GaN–650 V/41 mΩ | TP65H035WSQA–Transph. | |
| Drivers | WBG Driver | CPWR-AN10 | |
| Input Capacitor—(Cin) | 200 µF | FFV34E0107K-AVX | |
| Output Capacitor—(Co) | 590 µF | FFVE4I0227K-AVX | |
| Switching Frequency | 100 kHz | Xilinx Zynq®-7000 | |
Publisher’s Note: MDPI stays neutral with regard to jurisdictional claims in published maps and institutional affiliations. |
© 2021 by the authors. Licensee MDPI, Basel, Switzerland. This article is an open access article distributed under the terms and conditions of the Creative Commons Attribution (CC BY) license (http://creativecommons.org/licenses/by/4.0/).
Share and Cite
Marroqui, D.; Garrigós, A.; Torres, C.; Orts, C.; Blanes, J.M.; Gutierrez, R. Interleaved, Switched Inductor and High-Gain Wide Bandgap Based Boost Converter Proposal. Energies 2021, 14, 800. https://doi.org/10.3390/en14040800
Marroqui D, Garrigós A, Torres C, Orts C, Blanes JM, Gutierrez R. Interleaved, Switched Inductor and High-Gain Wide Bandgap Based Boost Converter Proposal. Energies. 2021; 14(4):800. https://doi.org/10.3390/en14040800
Chicago/Turabian StyleMarroqui, David, Ausias Garrigós, Cristian Torres, Carlos Orts, Jose M. Blanes, and Roberto Gutierrez. 2021. "Interleaved, Switched Inductor and High-Gain Wide Bandgap Based Boost Converter Proposal" Energies 14, no. 4: 800. https://doi.org/10.3390/en14040800
APA StyleMarroqui, D., Garrigós, A., Torres, C., Orts, C., Blanes, J. M., & Gutierrez, R. (2021). Interleaved, Switched Inductor and High-Gain Wide Bandgap Based Boost Converter Proposal. Energies, 14(4), 800. https://doi.org/10.3390/en14040800

