Low Temperature One-Pot Hydrothermal Carbonization of Corn Straw into Hydrochar for Adsorbing Cadmium (II) in Wastewater
Abstract
:1. Introduction
2. Materials and Methods
2.1. Materials
2.2. Preparation of Hydrochar
2.3. Characterizations
2.4. Cadmium Ion Adsorption Experiment
2.4.1. Adsorption Characteristics
2.4.2. Effect of Initial Solution Concentration
2.4.3. Effect of Adsorption Time
2.5. Data Analysis
3. Results and Discussion
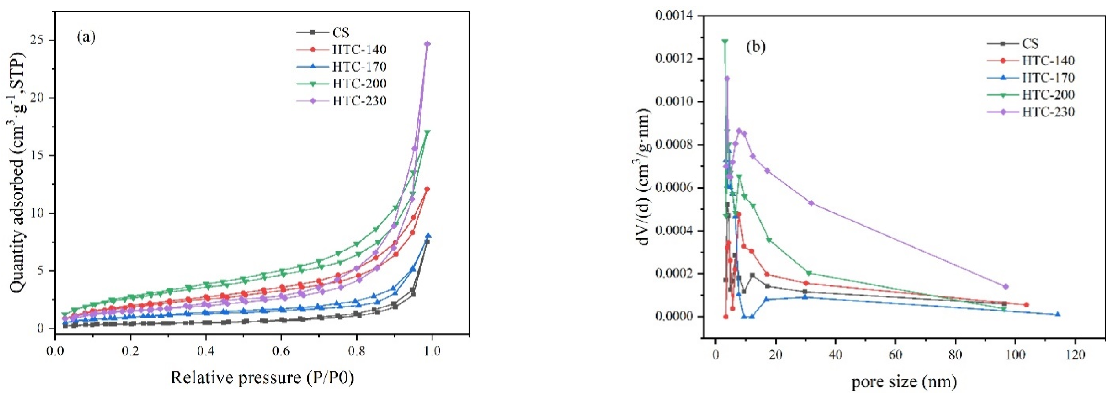
3.1. Characteristics of Hydrochar
3.2. Adsorption Studies
3.2.1. Effect of Hydrothermal Carbonization Temperature
3.2.2. Effect of Initial Solution Concentration
3.2.3. Adsorption Isotherm
3.2.4. Adsorption Time Influence
3.2.5. Adsorption Kinetics
4. Conclusions
Author Contributions
Funding
Institutional Review Board Statement
Informed Consent Statement
Data Availability Statement
Conflicts of Interest
References
- Teng, D.; Zhang, B.; Xu, G.; Wang, B.; Mao, K.; Wang, J.; Sun, J.; Feng, X.; Yang, Z.; Zhang, H. Efficient removal of Cd(II) from aqueous solution by pinecone biochar: Sorption performance and governing mechanisms. Environ. Pollut. 2020, 265, 115001. [Google Scholar] [CrossRef] [PubMed]
- Bashir, S.; Zhu, J.; Fu, Q.; Hu, H. Comparing the adsorption mechanism of Cd by rice straw pristine and KOH-modified biochar. Environ. Sci. Pollut. Res. 2018, 25, 11875–11883. [Google Scholar] [CrossRef] [PubMed]
- Gao, L.-Y.; Deng, J.-H.; Huang, G.-F.; Li, K.; Cai, K.-Z.; Liu, Y.; Huang, F. Relative distribution of Cd2+ adsorption mechanisms on biochars derived from rice straw and sewage sludge. Bioresour. Technol. 2019, 272, 114–122. [Google Scholar] [CrossRef] [PubMed]
- Ihsanullah, A.; Abbas, A.; Al-Amer, A.M.; Laoui, T.; Al-Marri, M.J.; Nasser, M.S.; Khraisheh, M.; Atieh, M.A. Heavy metal removal from aqueous solution by advanced carbon nanotubes: Critical review of adsorption applications. Sep. Purif. Technol. 2016, 157, 141–161. [Google Scholar] [CrossRef]
- Li, Y.; Tsend, N.; Li, T.; Liu, H.; Yang, R.; Gai, X.; Wang, H.; Shan, S. Microwave assisted hydrothermal preparation of rice straw hy-drochars for adsorption of organics and heavy metals. Bioresour. Technol. 2019, 273, 136–143. [Google Scholar] [CrossRef]
- Belmonte, B.A.; Benjamin, M.F.D.; Tan, R.R. Bi-objective optimization of biochar-based carbon management networks. J. Clean. Prod. 2018, 188, 911–920. [Google Scholar] [CrossRef]
- De Blasio, C. Notions of biomass gasification. In Green Energy and Technology; Springer: Berlin/Heidelberg, Germany, 2019; pp. 307–334. [Google Scholar] [CrossRef]
- Krylova, A.Y.; Gorlov, E.G.; Shumovskii, A.V. Production of Biocoal by the Pyrolysis of Biomass. Solid Fuel Chem. 2019, 53, 369–376. [Google Scholar] [CrossRef]
- Liu, Y.; Ma, S.; Chen, J. A novel pyro-hydrochar via sequential carbonization of biomass waste: Preparation, characterization and adsorption capacity. J. Clean. Prod. 2018, 176, 187–195. [Google Scholar] [CrossRef]
- Lei, Y.; Su, H.; Tian, R. Morphology evolution, formation mechanism and adsorption properties of hydrochars prepared by hy-drothermal carbonization of corn stalk. RSC Adv. 2016, 6, 107829–107835. [Google Scholar] [CrossRef]
- Huang, K.; Cai, Y.; Du, Y.; Song, J.; Mao, H.; Xiao, Y.; Wang, Y.; Yang, N.; Wang, H.; Han, L. Adsorption of Pb(II) in Aqueous Solution by the Modified Biochar Derived from Corn Straw with Magnesium Chloride. Nat. Environ. Pollut. Technol. 2020, 19, 1273–1278. [Google Scholar] [CrossRef]
- Ren, H.; Cunha, E.; Sun, Q. Surface functionality analysis by Boehm titration of graphene nanoplatelets functionalized via a solvent-free cycloaddition reaction. Nanoscale Adv. 2019, 1, 1432–1441. [Google Scholar] [CrossRef] [Green Version]
- Qiao, Y.; He, C.; Zhang, C.; Jiang, C.; Yi, K.; Li, F. Comparison of Adsorption of Biochar from Agricultural Wastes on Methylene Blue and Pb2+. BioResources 2019, 14, 9766–9780. [Google Scholar] [CrossRef]
- Rasam, S.; Moraveji, M.K.; Soria-Verdugo, A.; Salimi, A. Synthesis, characterization and absorbability of Crocus sativus petals hydrothermal carbonized hydrochar and activated hydrochar. Chem. Eng. Process. Process. Intensif. 2021, 159, 108236. [Google Scholar] [CrossRef]
- Chen, G.; Wang, C.; Tian, J.; Liu, J.; Ma, Q.; Liu, B.; Li, X. Investigation on cadmium ions removal from water by different raw mate-rials-derived biochars. J. Water Process. Eng. 2020, 35, 101223. [Google Scholar] [CrossRef]
- Krysanova, K.; Krylova, A.; Zaichenko, V. Properties of biochar obtained by hydrothermal carbonization and torrefaction of peat. Fuel 2019, 256, 115929. [Google Scholar] [CrossRef]
- Li, X.; Wang, C.; Tian, J.; Liu, J.; Chen, G. Comparison of adsorption properties for cadmium removal from aqueous solution by Enteromorpha prolifera biochar modified with different chemical reagents. Environ. Res. 2020, 186, 109502. [Google Scholar] [CrossRef] [PubMed]
- Zhang, L.; Tan, J.; Xing, G.; Dou, X.; Guo, X. Cotton stalk-derived hydrothermal carbon for methylene blue dye removal: Investigation of the raw material plant tissues. Bioresour. Bioprocess. 2021, 8, 10. [Google Scholar] [CrossRef]
- PetroviĿ, J.; PerišiĿ, N.; MaksimoviĿ, J.D.; MaksimoviĿ, V.; KragoviĿ, M.; StojanoviĿ, M.; LauševiĿ, M.; MihajloviĿ, M. Hydrothermal conversion of grape pomace: Detailed characterization of obtained hydrochar and liquid phase. J. Anal. Appl. Pyrolysis. 2016, 118, 267–277. [Google Scholar] [CrossRef]
- Xian, Y.; Wu, J.; Yang, G.; Liao, R.; Zhang, X.; Peng, H.; Yu, X.; Shen, F.; Li, L.; Wang, L. Adsorption characteristics of Cd(ii) in aqueous solutions using spent mushroom substrate biochars produced at different pyrolysis temperatures. RSC Adv. 2018, 8, 28002–28012. [Google Scholar] [CrossRef] [Green Version]
- Liu, L.; Cai, W.; Dang, C.; Han, B.; Chen, Y.; Yi, R.; Fan, J.; Zhou, J.; Wei, J. One-step vapor-phase assisted hydrothermal synthesis of functionalized carbons: Effects of surface groups on their physicochemical properties and adsorption performance for Cr(VI). Appl. Surf. Sci. 2020, 528, 146984. [Google Scholar] [CrossRef]
- Zhou, N.; Chen, H.; Xi, J.; Yao, D.; Zhou, Z.; Tian, Y.; Lu, X. Biochars with excellent Pb(II) adsorption property produced from fresh and dehydrated banana peels via hydrothermal carbonization. Bioresour. Technol. 2017, 232, 204–210. [Google Scholar] [CrossRef] [PubMed]
- Wang, B.; Yu, J.; Liao, H.; Zhu, W.; Ding, P.; Zhou, J. Adsorption of Lead (II) from Aqueous Solution with High Efficiency by Hy-drothermal Biochar Derived from Honey. Int. J. Environ. Res. Public Health 2020, 17, 3441. [Google Scholar] [CrossRef]
- Liu, T.T.; Li, Y.; Peng, N.N.; Lang, Q.Q.; Xia, Y.; Gai, C.; Zheng, Q.F.; Liu, Z.G. Heteroatoms doped porous carbon derived from hydrothermally treated sewage sludge: Structural characterization and environmental application. J. Environ. Manag. 2017, 97, 151–158. [Google Scholar] [CrossRef] [PubMed]
- Shu, D.; Liu, J.; Chi, Y.; Chen, S.; Liu, J.; Wang, F.; Jiang, X. Adsorption Characterization and Activation Behavior of Biomass Chars Produced by Hydrothermal Carbonization. J. Biobased Mater. Bioenergy 2017, 11, 568–576. [Google Scholar] [CrossRef]
- Kang, C.; Zhu, L.; Wang, Y.; Wang, Y.; Xiao, K.; Tian, T. Adsorption of Basic Dyes Using Walnut Shell-based Biochar Produced by Hydrothermal Carbonization. Chem. Res. Chin. Univ. 2018, 34, 622–627. [Google Scholar] [CrossRef]
- Sun, Y.; Liu, C.; Zan, Y.; Miao, G.; Wang, H.; Kong, L. Hydrothermal Carbonization of Microalgae (Chlorococcum sp.) for Porous Carbons With High Cr(VI) Adsorption Performance. Appl. Biochem. Biotechnol. 2018, 186, 414–424. [Google Scholar] [CrossRef] [PubMed]
- Zhang, X.; Zhang, L.; Li, A. Eucalyptus sawdust derived biochar generated by combining the hydrothermal carbonization and low concentration KOH modification for hexavalent chromium removal. J. Environ. Manag. 2018, 206, 989–998. [Google Scholar] [CrossRef] [PubMed]
- Wang, T.; Zhai, Y.; Zhu, Y.; Li, C.; Zeng, G. A review of the hydrothermal carbonization of biomass waste for hydrochar formation: Process conditions, fundamentals, and physicochemical properties. Renew. Sustain. Energy Rev. 2018, 90, 223–247. [Google Scholar] [CrossRef]
- Khan, N.; Mohan, S.; Dinesha, P. Regimes of hydrochar yield from hydrothermal degradation of various lignocellulosic biomass: A review. J. Clean. Prod. 2021, 288, 125629. [Google Scholar] [CrossRef]
- Jian, X.; Zhuang, X.; Li, B.; Xu, X.; Wei, Z.; Song, Y.; Jiang, E. Comparison of characterization and adsorption of biochars produced from hydrothermal carbonization and pyrolysis. Environ. Technol. Innov. 2018, 10, 27–35. [Google Scholar] [CrossRef]
- Wang, S.; Kwak, J.-H.; Islam, S.; Naeth, M.A.; El-Din, M.G.; Chang, S.X. Biochar surface complexation and Ni(II), Cu(II), and Cd(II) adsorption in aqueous solutions depend on feedstock type. Sci. Total. Environ. 2020, 712, 136538. [Google Scholar] [CrossRef] [PubMed]












| Samples | Composition (wt%) | |||||||
|---|---|---|---|---|---|---|---|---|
| C | H | N | Ash | O * | H/C | O/C | Mass Yield | |
| CS | 42.69 | 5.90 | 1.50 | 15.35 | 34.56 | 1.66 | 0.61 | — |
| HTC-140 | 43.80 | 5.85 | 1.34 | 15.54 | 33.47 | 1.60 | 0.57 | 77.56 |
| HTC-170 | 45.77 | 5.78 | 1.44 | 15.00 | 32.01 | 1.52 | 0.52 | 64.27 |
| HTC-200 | 47.63 | 5.36 | 1.39 | 14.24 | 31.38 | 1.35 | 0.49 | 57.83 |
| HTC-230 | 48.51 | 5.03 | 1.73 | 18.51 | 26.22 | 1.24 | 0.41 | 47.90 |
| Properties | CS | HTC-140 | HTC-170 | HTC-200 | HTC-230 |
|---|---|---|---|---|---|
| BET surface Area (m2/g) | 1.458 | 2.230 | 3.637 | 7.236 | 8.497 |
| Pore Diameter (nm) | 3.814 | 7.672 | 4.301 | 3.061 | 3.786 |
| Pore volume (cm3/g) | 0.012 | 0.014 | 0.015 | 0.017 | 0.040 |
| Acidic (mmol/g) | - | 2.054 | 3.181 | 2.825 | 2.405 |
| Carboxyl (mmol/g) | - | 0.752 | 1.393 | 1.246 | 0.789 |
| Phenolic (mmol/g) | - | 0.392 | 0.893 | 0.776 | 0.339 |
| Lactone (mmol/g) | - | 0.813 | 1.277 | 1.010 | 0.895 |
| Adsorbent | The Langmuir Model | The Freundlich Model | ||||
|---|---|---|---|---|---|---|
| qm | KL | R2 | KF | n | R2 | |
| HTC-140 | 18.05 | 0.0061 | 0.9232 | 0.1626 | 1.22 | 0.9834 |
| HTC-170 | 17.09 | 0.0121 | 0.9611 | 0.3712 | 1.40 | 0.9668 |
| HTC-200 | 11.70 | 0.0113 | 0.9764 | 0.2826 | 1.49 | 0.9916 |
| HTC-230 | 12.81 | 0.0073 | 0.9345 | 0.1640 | 1.32 | 0.9886 |
| Adsorbent | Pseudo-First-Order Model | Pseudo-Second-Order Model | ||||
|---|---|---|---|---|---|---|
| qe | K1 | R2 | qe | K2 | R2 | |
| HTC-140 | 3.09 | 0.0054 | 0.8467 | 7.92 | 0.0094 | 0.99993 |
| HTC-170 | 3.90 | 0.0055 | 0.8754 | 9.44 | 0.0073 | 0.99990 |
| HTC-200 | 3.83 | 0.0049 | 0.8192 | 9.04 | 0.0064 | 0.99976 |
| HTC-230 | 3.15 | 0.0048 | 0.8337 | 7.21 | 0.0077 | 0.99981 |
Publisher’s Note: MDPI stays neutral with regard to jurisdictional claims in published maps and institutional affiliations. |
© 2021 by the authors. Licensee MDPI, Basel, Switzerland. This article is an open access article distributed under the terms and conditions of the Creative Commons Attribution (CC BY) license (https://creativecommons.org/licenses/by/4.0/).
Share and Cite
Li, H.; Shi, Y.; Bai, L.; Chi, M.; Xu, X.; Liu, Y. Low Temperature One-Pot Hydrothermal Carbonization of Corn Straw into Hydrochar for Adsorbing Cadmium (II) in Wastewater. Energies 2021, 14, 8503. https://doi.org/10.3390/en14248503
Li H, Shi Y, Bai L, Chi M, Xu X, Liu Y. Low Temperature One-Pot Hydrothermal Carbonization of Corn Straw into Hydrochar for Adsorbing Cadmium (II) in Wastewater. Energies. 2021; 14(24):8503. https://doi.org/10.3390/en14248503
Chicago/Turabian StyleLi, Heng, Yan Shi, Li Bai, Mingshu Chi, Xiuling Xu, and Yue Liu. 2021. "Low Temperature One-Pot Hydrothermal Carbonization of Corn Straw into Hydrochar for Adsorbing Cadmium (II) in Wastewater" Energies 14, no. 24: 8503. https://doi.org/10.3390/en14248503
APA StyleLi, H., Shi, Y., Bai, L., Chi, M., Xu, X., & Liu, Y. (2021). Low Temperature One-Pot Hydrothermal Carbonization of Corn Straw into Hydrochar for Adsorbing Cadmium (II) in Wastewater. Energies, 14(24), 8503. https://doi.org/10.3390/en14248503

