Abstract
This research study uses a computer simulation based on real input data to examine the impact of a supercapacitor module working as a fast response energy storage unit in renewable energy systems to increase energy self-consumption and self-sufficiency. The evaluated system includes a photovoltaic system with a capacity of 3.0 kWp and between 0 and 5 supercapacitor units with a capacity of 500 F per module. The study was carried out using experimental data for electrical load, solar irradiance, and ambient temperature for the year 2020, with a 1 min temporal resolution. The daily average ambient temperature was 10.7 °C, and the daily average solar irradiance was 3.1 kWh/m2/day. It is assumed that the supercapacitor could only be charged from a photovoltaic system using renewable energy and not from the grid. The simulation results showed that using the supercapacitors to feed the short and large peaks of the electrical load significantly increases energy self-consumption and self-sufficiency. With only five supercapacitor modules, yearly energy self-sufficiency increases from 28.09% to 40.77%.
1. Introduction
Solar energy is generally a feasible alternative in rural grid-connected and off-grid systems and may be a cost-effective solution. Integrating renewable energy systems with storage systems to supply demand when renewable resources are unavailable or insufficient is a highly useful option that can feed the necessary load but is usually quite expensive. Batteries are often used as a direct application but delivering high power in a short time degrades or even damages batteries or controllers, and alternative methods must be developed to supply large bursts of current. Several studies have looked at the usage of batteries as a storage system in hybrid renewable energy systems (HRES).
Chong et al. [1] showed a detailed comparison between the typical off-grid photovoltaic (PV) system equipped with a battery (BA) and a supercapacitor module (SCM) hybrid energy storage system (BA-SCM-HESS). In addition, two different control strategies were investigated, a filter-based controller and a rule-based controller. The simulation results showed that the BA-SCM-HESS system significantly extends the battery lifetime and reduces the battery maximum current by up to 8.6%, and this type of system improves the mean energy self-consumption. Fahmi et al. [2] examined the photovoltaic system in Semenyih City, Malaysia. The study aimed to observe whether a supercapacitor module could extend the lifespan of the BA by simulating a typical load profile for a household. The results demonstrate that the SCM can absorb peak current and minimize battery stress by a substantial amount. The system can also maintain a high battery state of charge throughout the day. Due to SCM, the maximum battery current was decreased from 20.8 A to 16.4 A. Ghaib et al. [3] developed a hybrid storage system (HSS) combined with SCM and batteries. The battery provided energy, while the SCM delivered peak power. Constant, pulsing, and high peak current loads were examined as three different load situations. The results of the research clearly demonstrate that combining the battery and SCM storage is the best approach to achieve better specific power than battery storage alone. Jing et al. [4] conducted a comparable in-depth investigation of batteries for off-grid photovoltaic power systems for rural electrification. Javed et al. [5] showed that SCM can supply enough electrical power to a system during rapid transient situations, but batteries cannot. The authors investigated the combination of SCM and batteries as a hybrid energy storage system and found that it is the optimum solution for off-grid PV systems. The conclusions are supported by calculations for various solar radiation scenarios. Battery and SCM power flow management is equally as important as the energy system, and changes may cause the battery to discharge and charge more frequently, shortening its life and raising maintenance costs.
In another research study, Chong et al. [6] proposed an optimal control strategy for the off-grid solar photovoltaic system with battery and SCM to reduce the maximum current demand and dynamic stress of the battery. The authors showed that the filtration-based controller and the fuzzy logic controller comprised a low-pass filter that removed high-frequency components from the battery load. The investigated system reduces battery peak power, battery peak current, and the maximum absolute value of the rate of change of power by 15.19%, 16.05%, and 77.01%, respectively, in reference to the PV system without SCM. In a similar work [7], the authors demonstrated a hybrid optimization method that comprises particle swarm optimization and a self-organizing map. The proposed method optimizes the parameters of the power distribution algorithm in 1 min intervals based on the predicted 1 h load. At the same time, SCM is analyzed to avoid peak current and fast discharge/charge for batteries. The presented optimization method offers very fast convergence and decreases the optimization time by about 68% with reference to widely used methods. Furthermore, SCM utilization increases more than seven times, and the average rate of change of battery power is reduced by up to 92%.
The integration of photovoltaics, batteries, and SCM in the islanded microgrid was investigated in [8]. Researchers demonstrated a system that can separate electrical power between the SCM and the battery or can operate in parallel. Energy sharing is achieved between the SCM and the battery by combining a resistor and an inductor. As a result, the electrical current of the battery is limited to the low-frequency component, while the SCM operates for the high-frequency load. The results show that the investigated configuration can be easily applied to microgrid systems and guarantees high performance stability. The implementation of SCM for the photovoltaic system was investigated by Eroglu et al. [9]. The complex system analyzed with an SCM was compared with the system with battery storage only. The SCM system significantly reduces the battery peak current and battery peak power.
Das and Mandal analyzed an interesting configuration for a HESS that was connected to the water centrifugal pump [10]. The novel system demonstrated by the authors uses an adaptive sliding-mode DC/DC control method. The operation of the system was validated through MatLab/Simulink simulations. It is stated that such a system could be used in several applications that require a high electrical current for a short period of time. The performance of the system for the off-grid PV system with SCM with varying loads was studied by Fahmi et al. [11]. The system located at the University of Nottingham, Malaysia Campus, was investigated under a programmable load. The results indicated that the SCM can preserve the battery during the day and supply high current demands. The author concludes that the system can be used in rural areas or by small industries.
Recently, the energy cost of RES has fallen, and this trend is expected to continue in the future. However, depending on the region, quite a different design methodology should be implemented. Hernández et al. [12] improved a method to provide self-sufficiency and self-consumption enhancement. The authors consider battery lifetime, SCM size, power management strategy, and the simulation time step to use a load with high temporal resolution. The size of the system, the optimal converter, and the energy storage configuration were evaluated to minimize the overall energy cost. The results of the analysis demonstrate a profit gain of up to 14%, with a small impact on the battery lifetime. The issue related to fast and short-term energy flows to and from the grid due to solar irradiation fluctuation and the rapid local fluctuations in load for grid-connected photovoltaic systems was investigated by Jaszczur et al. [13]. Fluctuations were found to negatively impact the stability of the network and decrease the self-consumption of energy as well as the performance of the system. The authors found that even for the on-grid system, fast-response energy storage can resolve many issues, and SCM units are a promising and inexpensive solution that does not require maintenance. An SCM is a fantastic tool for grid stabilization and short-term energy storage. It has very high charge/discharge current and long-term reliability. The authors conclude that when adding small and fast-response energy storage, the yearly average increase in self-consumption for the analyzed load increases significantly.
Modeling photovoltaic/SCM power systems for the configuration of hybrid fuel cell/solar cell/SC hybrid power sources is often presented in the literature [14,15]. In such systems, SCM units are used as storage to be charged to supply electrical power during load transients. Due to the complex storage system, the quality of the power supply provided to consumers has constant voltage and frequency. In the case of a lead-acid battery, the short cycle life can be extended using an SCM by mitigating the discharge/charge stress due to the fluctuating load. The advantage of the demonstrated solution has been confirmed through the results of the literature. Xiong and Nour [16] show that the high integration level of photovoltaic generation in the grid system brings direct benefits, such as fuel savings and reduction of pollution, but generates undesirable results, such as high harmonic components and fluctuations in power and voltage. The usage of large SCM units at the domestic level is limited due to its high investment costs. However, recent results indicate that an adequately estimated battery size can alleviate grid fluctuations. The economic analysis of the battery-powered photovoltaic system clearly showed its competitiveness with respect to off-grid photovoltaic systems.
Ahmad [17] analyzed the improvement in power quality for a hybrid PV battery system in the grid. Fast DC link voltage, maximum battery current reduction, and effective energy management were found to be the key features required by control systems. Based on the analysis, the author proposed a novel control system for both the battery and the SCM.
A large number of approaches have been described in the literature to enhance self-consumption (SS) and self-sufficiency (SC). Most of them make use of batteries or hybrid energy storage systems. The present study explores a photovoltaic energy system equipped with a supercapacitor module, demonstrating that energy storage can be charged using only renewable energy. The proposed innovative system shows how the rapid response of the SCM functioning as a storage unit in the presence of grid charging could significantly improve energy self-consumption and self-sufficiency. Such an analysis has not previously been reported in the literature and is urgently required by system designers and researchers to address a scientific gap in this field. Prior to extensive utilization of solar energy, it is important to enhance energy self-consumption and self-sufficiency to maintain grid stability and optimize local electricity consumption.
2. Methodology
The analysis carried out in this work used experimental data for load, ambient temperature, solar irradiance, and wind speed measured with a high temporal resolution of 1 min for the period 1 January to 31 December 2020 in Krakow City, Poland, with the latitude and longitude (50.066354 N, 19.918191 E), respectively. The simulation process was performed using MATLAB software at a 1 min time-step resolution, the same as for the input data.
2.1. Experimental Data
Desired electrical load: The load was measured for a household located in Krakow, Poland. The household was occupied by two adults. The adults typically leave the house at 7:30 a.m. and return at 6:00 p.m. (during the week). The house is equipped with 8 LED lamps, a fridge, an electric kettle, dish machine, washing machine, steam iron, coffee machine, vacuum cleaner, hairdryer, TV, radio, computer, laptop, and several small electronic devices (router, Wi-Fi, intercom). The daily average electrical energy consumption and average power were approximately 7.2 kWh and 0.299 kW, respectively, and the yearly energy consumption was approximately 2620.1 kWh per year. Figure 1a,b depicts daily and monthly energy consumption, respectively, for the selected days of 9 and 10 April 2020. In Figure 1a, large power peaks can be seen generated by devices with high energy consumption.
Figure 1.
The electrical load for 9 April and 10 April 2020 (a) and the monthly average energy consumption (b).
Solar radiation: Total solar radiation was measured in the horizontal plane from 1 January to 31 December of the year 2020 at the AGH University of Science and Technology campus in Krakow, Poland, at a 1 min temporal resolution. The daily average irradiance on the horizontal plane was recorded at 2.9 kWh/m2/day, where the highest monthly average irradiance was 6.29 kWh/m2/day in July and the lowest monthly average irradiance was 0.59 kWh/m2/day in December. Figure 2a,b shows the daily (for 9 and 10 April 2020) and monthly average irradiance, respectively.
Figure 2.
Solar radiation for the days of 9 and 10 April 2020 (a) and monthly averaged solar irradiance (b).
Ambient temperature: Thermocouples on the Krakow AGH University of Science and Technology campus measured ambient temperature experimental data with a 1 min temporal resolution from 1 January to 31 December 2020. The annual average ambient temperature was approximately 10.7 °C and the highest average monthly temperature was 21.9 °C in July, while the lowest average monthly temperature was −3.0 °C in January. Figure 3a,b depicts the daily (for the selected days—9 and 10 April 2020) and monthly averaged measured ambient temperatures, respectively.
Figure 3.
Ambient temperature for the 9 and 10 April of 2020 (a) and monthly averaged temperature (b).
3. System Description
The investigated solar energy system is described in Figure 4. The system is composed of the desired electrical load, a PV system (6 modules), SCM as a storage system (depends on the case from 0 to 5 modules), an AC/DC converter, and grid connection (refer to Figure 4). The SCM is designed to charge using only renewable energy to minimize energy flows to the grid and from the grid. The advantage of such a combination demonstrates how SCM can feed the desired load as a storage system at a different capacity. Table 1 shows the technical specifications of the selected RES components.
Figure 4.
An analyzed on-grid PV/SCM energy system.
Table 1.
Specifications of the selected RES components.
4. System Modeling
RES consists of photovoltaic modules and SCM connected through the inverter to the grid system and electrical load. For the analyzed system, between 0 and 5 fast-response storage units (SCM) were added; by default, storage units can only be charged from renewable energy components (PV) and charging from the grid is not allowed. The storage units can supply energy to the desired load during periods of insufficient energy production from renewable components and are supported by the grid system.
Instantaneous electrical power at any time t in the analyzed RES can be described as follows:
where PL,t is the instantaneous electrical power of RES at time t (kW), PPV,t is the instantaneous power generated by the PV system (kW), PSCM,t is the instantaneous power generated by SCM (kW), and PGrid,t is the instantaneous power taken from the grid (kW).
Instantaneous power generated by a PV system in (kW) can be described as follows [21,22]:
where CPV is the capacity of the PV array (kW); ηPV denotes the PV derating factor (%); GT,t is the incident solar radiation (kW/m2); GT,STC is the incident solar radiation (kW/m2) at standard temperature conditions (STC); αP denotes the PV cell temperature coefficient of power (%/°C), which is −0.42%/°C in this work [17]; TC,t is the temperature of the PV cell (°C); and TC,STC is the temperature of the PV cell (°C) at STC.
The evaluation of the specific capacitance cell of an SCM can be performed using a charge/discharge test, which can be expressed as follows [23,24]:
where I is the discharge current (A), ∆E is the potential window during the discharge process (−), m is the mass of electrode materials (kg), and ∆t is the time of discharge (s).
The SCM-specific energy and power densities can be expressed using the following equations, respectively [25,26,27,28]:
The calculation for the nominal capacity in (amp-hours) is as follows:
where V is the supercapacitor charge/discharge voltage and t is the discharge time. The equation is divided by 3.6 to convert from joules to kilowatt-hours (or, equivalently, from coulombs or amp-seconds to amp-hours), etc.
The simultaneous load balance equation, which describes the power flows between the system components, can be described as follows:
5. Energy Self-Consumption (ESC) and Energy Self-Sufficiency (ESS)
Self-consumption and self-sufficiency are defined [29,30,31,32] as the overlapping part of the load profiles and the generation part.
The following equations define self-consumption and self-sufficiency:
where EG,t is the energy generated by PV or stored by SCM in (kWh) and ELoad,t is the consumption of electrical energy (kWh). In the current analysis, the instantaneous generation of RES is given as [33,34,35]:
The percentage of ESC and ESS is given as [33,34,35]:
where EFrom grid is the energy taken from the grid (kWh) and EFed to grid is the energy fed to the grid (kWh); n is number of time steps during whole year, and for a time step equal 1 min (in current simulations), n = 525,600.
The ESC gain can be calculated as follows:
where ESC(n) and ESC(n−1) are the calculated ESC for the system with the SCM numbers m and m − 1, respectively.
The total energy management for the selected PV/grid system is calculated for each time step Δt = t2 − t1 = 1 min, which can be describe as [36,37,38,39]:
where EFrom grid is the energy taken from the grid (kWh) and EFed to grid is the energy that feeds the grid (kWh). In order to increase energy self-consumption and self-sufficiency and stabilize the grid, it is assumed that the SCM stores only the energy generated by the photovoltaic system. This is an important assumption and has a significant impact on the final results. Using grid energy to charge SCM “blocks” energy storage for locally generated energy and, from this perspective, reduces self-consumption. It has to be noticed that the SCM can deliver a high electrical current in a short time and consists of a selected number n of supercapacitors, which have several functions: they can supply energy to the desired load during periods of insufficient local energy production, supply high power in a short time, and store excess energy.
In the presented system, the excess energy produced by the system can be stored in an ultra-supercapacitor unit or sent to the grid. The stored energy can later be used to supply devices with energy when the energy generation from renewable system cannot meet the load requirement. For the SCM unit, the state of charge (SOC) at time t can be evaluated using the following equation:
and the SCM’s SOC limits are constrained to a minimum SOCmin and a maximum SOCmax.
where denotes state of charge at time t and t − 1, respectively; PSCM is the power output/input of SCM; ηSCM is the SCM efficiency; m is the number of SCM; CSCM is the nominal capacity; and VSCM is the ultra-supercapacitor nominal voltage. The last term in this equation represents the self-discharge phenomenon ηsd.
The energy flow distribution for the proposed system presented in the flowchart is shown in Figure 5. In the instance of scenario, the choice factors are the number of photovoltaic modules and the number of batteries. The whole year’s study was conducted with a time step of one minute and included the electrical load, incident solar radiation, and ambient temperature.
Figure 5.
Process flowchart of the energy system simulation.
6. Results and Discussion
The simulations used MATLAB software and the mathematical model (Equations (1)–(16)) experimental data for the desired electrical load, solar irradiance, wind speed, and ambient temperature. The electrical load and weather data were acquired based on a 1 min resolution (see Section 2.1) for the period 1 January to 31 December of 2020, and the simulation process used a 1 min time step for numerical calculations. The designed photovoltaic system consisted of six modules (see Table 1 for reference), positioned at the optimal local orientation (β = 35°, γ = 20° south-facing), which ensures maximum annual solar radiation for the selected site. The effect of temperature on PV modules on the generated energy was taken into account, as well as the PV cell power temperature coefficient equal to αP = −0.42%/°C and the derating factor ηPV = 90%, which includes losses due to dust, bird dropping, and snowing, while wiring losses were equal to 10%. The selected inverter capacity was taken (7.5 kW) with a nominal efficiency equal to 95%. The SCM consists of 0 to 5 modules (500 F–2.7 V/module) (see Table 1 for specifications). The analysis objectives were to estimate the impact of storage units on energy self-consumption and self-sufficiency in the analyzed systems and, furthermore, to evaluate the energy flows in the system, which combines renewable energy components and SCM.
6.1. Partly Cloudy Day
Figure 6a,b shows the power distribution for the selected partly cloudy day (9 April 2020) and the RES with a PV system capacity of 3.0 kWp (6 PV modules), and the system without SCM or with 2 SCM units only. For a selected day, the recorded electrical energy consumption was 10.47 kWh and the renewable energy generated by the PV system was approximately 14.42 kWh. During the day, about 58% of the electrical load high peaks are supplied by the photovoltaic system, while during the night, the desired energy is taken from the grid and the SCM (depends on the SCM capacity).
Figure 6.
Power distribution for the partly cloudy day 9 April 2020 for 0 SCM units (a) and 2 SCM units (b), respectively.
Figure 7a,b shows the ESC and ESS percentages for the selected partly cloudy day 9 April 2020, and 0 to 5 SCM units. The SCM is designed to be charged using energy generated by the PV system only, and the energy taken from the grid decreases when the SCM size increases due to feeding the desired load with SCM energy. At the same time, the surplus energy generated by the photovoltaic system, which supplies the grid, decreases because SCM increases due to energy accumulation in SCM. As a result, ESC increased from 31.52% to 38.39% with increased SCM capacity (see Figure 7a). Furthermore, ESS increased from 43.41% to 58.71% with increasing SCM capacity (see Figure 7b). In general, the energy percentages of ESC and ESS increased with increasing SCM capacity, but this increase was not linear.
Figure 7.
ESC percentage (a) and ESS percentage (b) for different numbers of SCM units and the partly cloudy day 9 April 2020.
6.2. Sunny Day
Figure 8a,b shows the power distribution for the selected sunny day (10 April 2020) and the RES with a PV system capacity of 3.0 kWp (6 PV modules) and 0 and 2 SCM. For the selected day, the electrical energy consumption was recorded as approximately 6.04 kWh and the renewable energy generated by the PV system was about 21.53 kWh. During the day, approximately 86% of the high peaks of the electrical load are supplied by renewable energy generated by the photovoltaic system, while during the night, the desired energy is taken from the grid and SCM units (depending on the SCM capacity).
Figure 8.
Power distribution for sunny day 10 April 2020 for 0 SCM units (a) and 2 SCM units (b), respectively.
Figure 9a–d shows the ESC and ESS percentages for the selected sunny day 10 April 2020, for 0, 2, 3, and 5 SCM units. SCM is designed to be charged using energy generated by the photovoltaic system, and the energy taken from the grid decreases with increasing SCM size because of feeding the desired load with SCM energy. At the same time, the surplus energy generated by the photovoltaic system, which supplies the grid, decreases as the SCM increases as a result of energy accumulation in the SCM. As a result, in our study, ESC increased from 18.63% to 21.88% with an increase in SCM capacity (see Figure 9a). Furthermore, energy self-sufficiency increased from 66.34% to 81.14% with increasing SCM capacity (see Figure 9b). Energy ESC and ESS increased with increasing SCM capacity increase.
Figure 9.
ESC percentage (a) and ESS percentage (b) for the sunny day of 10 April 2020.
6.3. Monthly Energy Flow
Figure 10a–c shows the monthly energy generated by the PV system; the simulated results show high energy production during the sunny months (April–September) due to the highest solar irradiance and longest day hours, while the highest production was recorded on June at about 492.9 kWh. The energy taken from the grid decreased with increasing SCM capacity and during the sunny months (April–September) and was significantly lower during the months October–March due to the high energy produced by the PV system components (see Figure 10b). The energy fed to the grid decreased as the SCM capacity increased due to the energy flow to charge the SCM and not to the grid. During the sunny months (April–September), the energy fed to the grid decreased significantly more than for other periods (October–March) (see Figure 10c).

Figure 10.
Monthly PV energy generation (a), energy taken from the grid (b), and energy fed to the grid (c).
6.4. Annual Energy Flow
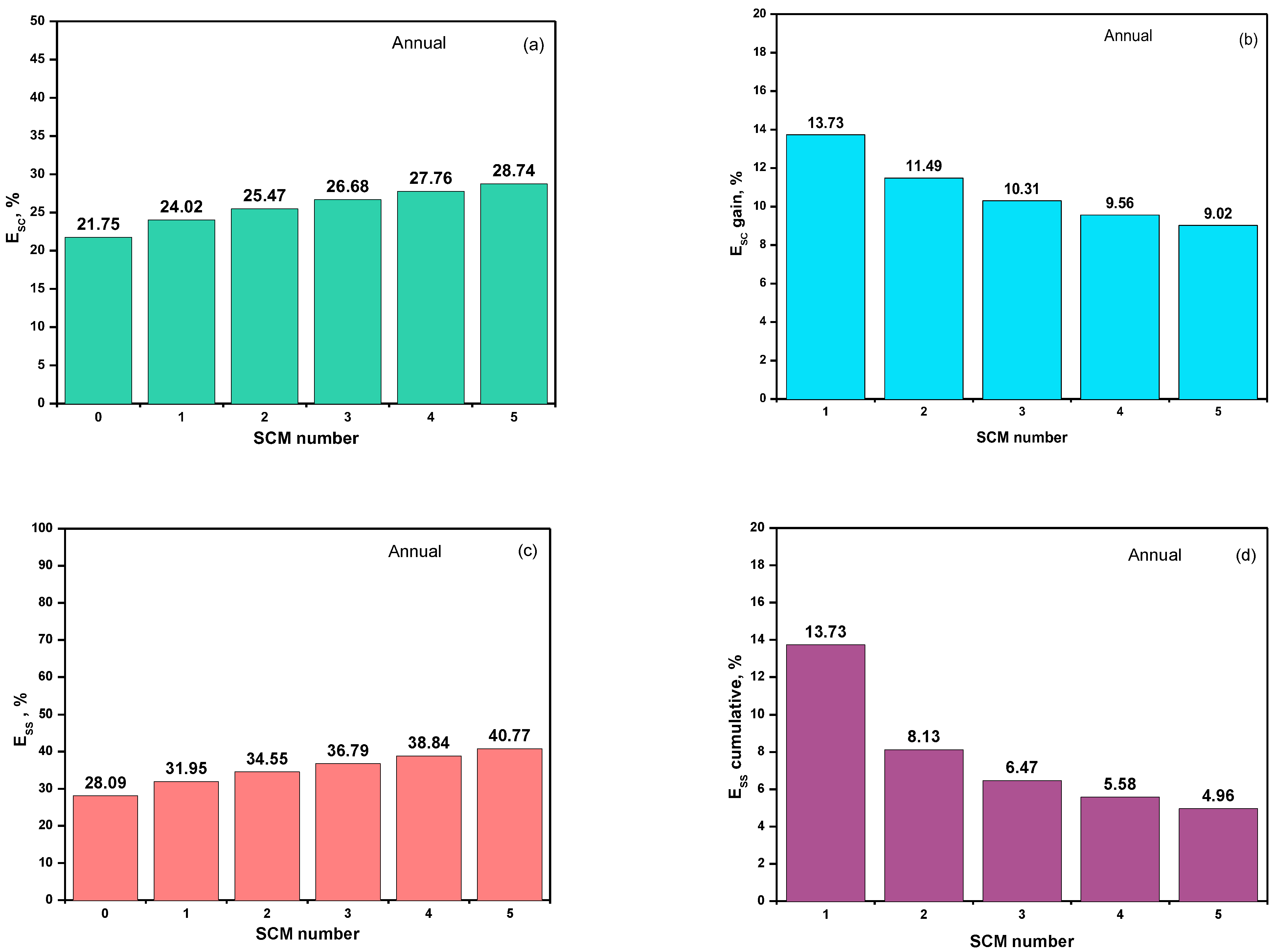
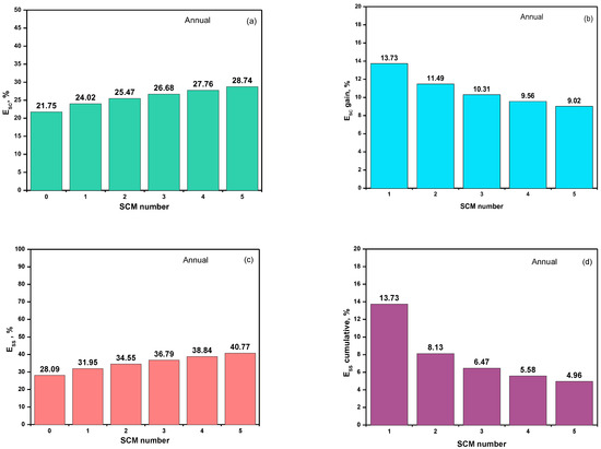
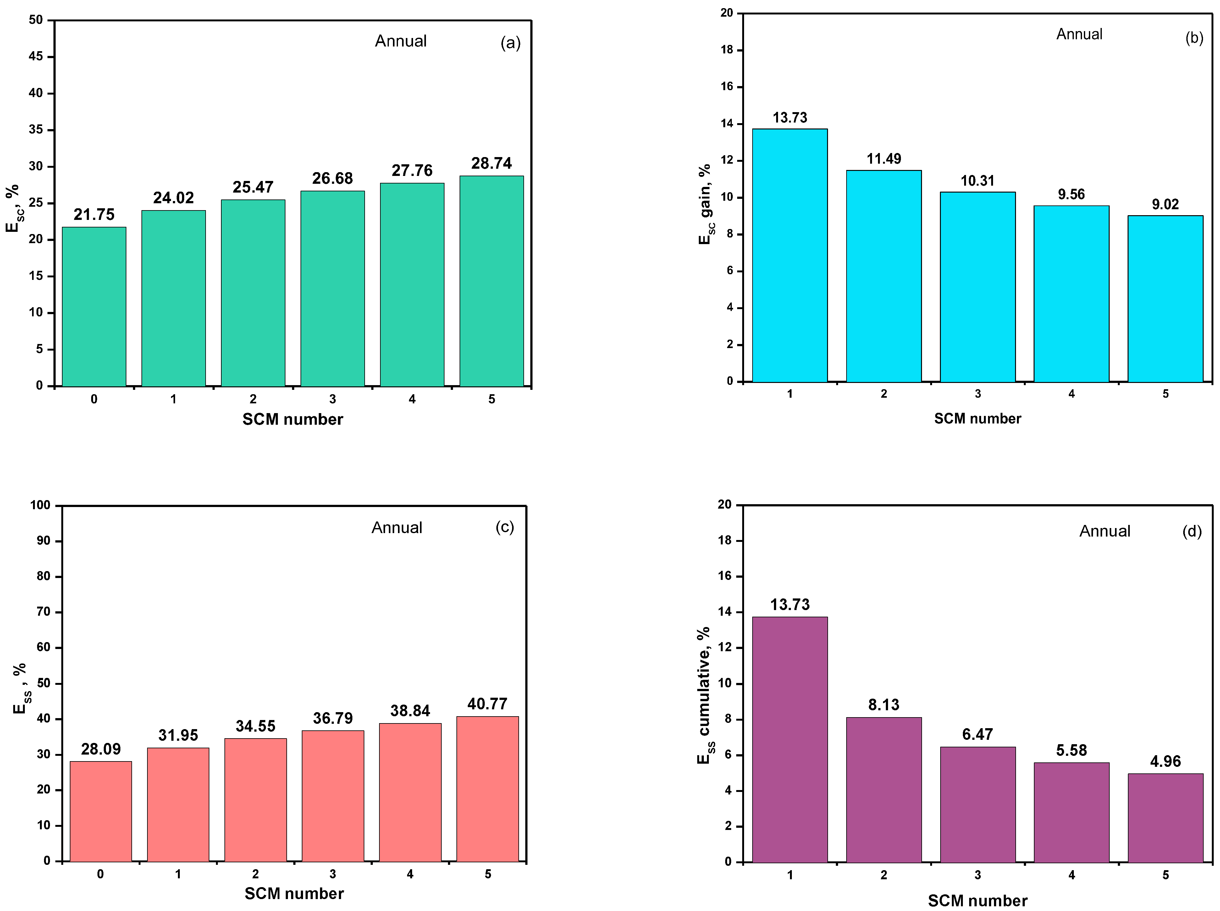
Figure 11a–d shows the annual ESC%, ESC gain, ESS%, and cumulative ESS. The annual energy taken from the grid decreased with increasing SCM. It was shown that, without SCM, about 1883.9 kWh and about 1555.6 kWh for 5 SCM were taken from the grid, respectively; at the same time, the energy fed to the grid dropped from 2648.2 kWh to 2310.1 kWh for the cases without SCM and 5 SCM, respectively, due to the energy flow to charge SCM. The energy is used to charge SCM unit, and the system was designed to charge SCM from the photovoltaic component only. For one SCM, the annual energy required to charge the component is about 102.9 kWh and the discharge is about 101.1 kWh, which is less than the charging energy due to limited SCM’s efficiency and wiring losses. The value of the annual energy of charge/discharge SCM increases with increasing component capacity; however, this increase is not linear.
Figure 11.
Annual ESC percentage (a), ESC gain (b), ESS percentage (c), and cumulative ESS (d).
Figure 11a,b shows the ESC percentage and the ESC gain, respectively. The ESC percentage increased with increasing SCM capacity, which was recorded as 21.75% without SCM to 28.74% for 5 SCM. Furthermore, the ESC gain decreased from 13.73% for 1 SCM to 9.02% for 5 SCM. Figure 11a,b shows the percentage of energy self-consumption ESS and the cumulative energy self-consumption ESS, respectively. The percentage of ESC increased with increasing SCM capacity, which was recorded as 28.09% without SCM up to 40.77% for 5 SCM units. Furthermore, the cumulative energy self-consumption ESC decreased from 13.73% at 1 SCM to 4.69% for 5 SCM units. The renewable energy fraction increased from 0.643 for the case without SCM up to 0.687 for 5 SCM units.
7. Conclusions
Solar energy has the potential to play an important role in both rural and grid-connected locations. However, increasing energy self-consumption is critical before such systems can be deployed internationally to maintain the stability of the national grid system, national grid safety, and increase local energy consumption. The goal of this research was to assess the impact of ultra-supercapacitors, which function as a short-time, fast-response storage unit, on energy self-consumption using realistic high temporal resolution data. A solar energy system designed for this purpose consists of photovoltaic modules (6 pcs., 3.0 kWp), between 0 and 5 SCM units (500 F/unit), an inverter, and a control unit. Experimental data for the desired electrical load, ambient temperature, and solar irradiance were measured in Krakow City, Poland, for the entire year 2020 at a resolution of 1 min. The key findings can be summarized as follows.
The implementation of the SCM storage unit can significantly benefit the energy self-consumption ESC, particularly when the SCM is designed to only charge electrical energy from renewable sources. Based on the analysis for the household with annual energy consumption of approximately 2620 kWh and using 5 SCM, an increase in the annual energy self-consumption ESC from 21.75% up to 28.74% was observed, as well as an increase in the energy self-sufficiency ESS from 28.09% up to 40.77%. When the SCM is fully charged, the system can deliver the peak energy needed to decrease the maximum power taken from the grid. Many countries have penalties for exceeding the maximum power of the customer, and this solution may help with this problem. It is shown that approximately 1883.9 kWh and 1555.6 kWh are taken from the grid for the systems without SCM and with 5 SCM, respectively, but what is important is that maximum current flow from the grid is often limited. On a sunny day, about 86% of the high peaks of the electrical load are supplied by renewable energy generated by the photovoltaic system with SCM. The energy fed to the grid decreased from 2648.2 kWh to 2310.1 kWh for the cases without SCM and 5 SCM, respectively, and what is essential is that the power flow is more stable and does not include high fluctuation peaks.
The presented study did not consider economic aspects, which can be an important subject of hybrid renewable energy system optimization, but not the only one. It must be noticed that economic aspects depend on region, country, time, hindering transferability, and replicability of analyses. The diversity comes mainly from feed-in tariffs, local subsidies, and political impact. Pointed factors significantly impact the optimization process in which economic objectives are the main target. This is main reason why the economic investigation become invalid a few years after the analysis. Studies presented in the literature in the past were focused mainly on energy feeding the grid system due to profitable tariffs; however, at present, as a result of consumer costs increasing and tariffs decreasing, the self-consumption maximization of one of the most important factors for the grid safety and stability, as well as for effective system operation.
On the other hand, one of the key reasons for a renewable energy system is active participation in the green energy market as well as proactive environmental actions and protection against the inevitable increase of the cost of energy. It is clear that most aware consumers are interested in the implementation of technology that is able to enhance local energy consumption (increase self-consumption), and they want to rely less on energy from the grid system.
Author Contributions
Conceptualization, methodology, M.J. and Q.H.; software, validation, formal analysis, Q.H.; investigation, resources, M.J. and Q.H.; writing—original draft preparation, writing—review and editing, visualization, M.J. and Q.H.; supervision, M.J. All authors have read and agreed to the published version of the manuscript.
Funding
The present work was partially supported by the Polish Ministry of Science (Grant AGH No. 16.16.210.476).
Data Availability Statement
Not applicable.
Conflicts of Interest
The authors declare no conflict of interest.
References
- Chong, L.W.; Wong, Y.W.; Rajkumar, R.K.; Isa, D. Modelling and Simulation of Standalone PV Systems with Battery-supercapacitor Hybrid Energy Storage System for a Rural Household. Energy Procedia 2017, 107, 232–236. [Google Scholar] [CrossRef]
- Fahmi, M.I.; Rajkumar, R.; Wong, Y.W.; Chong, L.W.; Arelhi, R.; Isa, D. The effectiveness of new solar photovoltaic system with supercapacitor for rural areas. Int. J. Renew. Energy Dev. 2016, 5, 249–257. [Google Scholar] [CrossRef]
- Ghaib, K.; Ben-Fares, F.Z. A design methodology of stand-alone photovoltaic power systems for rural electrification. Energy Convers. Manag. 2017, 148, 1127–1141. [Google Scholar] [CrossRef]
- Jing, W.; Lai, C.H.; Wong, W.S.H.; Wong, M.L.D. A comprehensive study of battery-supercapacitor hybrid energy storage system for stand-alone PV power system in rural electrification. Appl. Energy 2018, 224, 340–356. [Google Scholar] [CrossRef]
- Javed, K.; Ashfaq, H.; Singh, R. Application of Supercapacitor as Hybrid Energy Storage Device in Stand-alone PV System. In Proceedings of the 2019 International Conference on Power Electronics, Control and Automation, ICPECA 2019—Proceedings, New Delhi, India, 16–17 November 2019. [Google Scholar] [CrossRef]
- Chong, L.W.; Wong, Y.W.; Rajkumar, R.K.; Isa, D. An optimal control strategy for stand-alone PV system with Battery-Supercapacitor Hybrid Energy Storage System. J. Power Sources 2016, 331, 553–565. [Google Scholar] [CrossRef]
- Chong, L.W.; Wong, Y.W.; Rajkumar, R.K.; Isa, D. An adaptive learning control strategy for stand-alone PV system with battery-supercapacitor hybrid energy storage system. J. Power Sources 2018, 394, 35–49. [Google Scholar] [CrossRef]
- Choudhary, M.K.; Sharma, A.K. Integration of PV, Battery and Supercapacitor in Islanded Microgrid. In Proceedings of the 2020 International Conference on Emerging Frontiers in Electrical and Electronic Technologies, ICEFEET 2020, Patna, India, 10–11 July 2020. [Google Scholar] [CrossRef]
- Eroglu, A.; Dey, T.; Dey, K.; Whelan, G. Supercapacitor implementation for PV power generation system and integration. Appl. Comput. Electromagn. Soc. J. 2018, 33–34. [Google Scholar]
- Das, M.; Mandal, R. A comparative performance analysis of direct, with battery, supercapacitor, and battery-supercapacitor enabled photovoltaic water pumping systems using centrifugal pump. Sol. Energy 2018, 171, 302–309. [Google Scholar] [CrossRef]
- Fahmi, M.I.; Rajkumar, R.; Arelhi, R.; Isa, D. The performance of a solar PV system using supercapacitor and varying loads. In Proceedings of the 2014 IEEE Student Conference on Research and Development, SCOReD 2014, Penang, Malaysia, 16–17 December 2014. [Google Scholar] [CrossRef]
- Hernández, J.C.; Sanchez-Sutil, F.; Muñoz-Rodríguez, F.J.; Baier, C.R. Optimal sizing and management strategy for PV household-prosumers with self-consumption/sufficiency enhancement and provision of frequency containment reserve. Appl. Energy 2020, 277, 115529. [Google Scholar] [CrossRef]
- Jaszczur, M.; Hassan, Q. An optimisation and sizing of photovoltaic system with supercapacitor for improving self-consumption. Appl. Energy 2020, 279, 115776. [Google Scholar] [CrossRef]
- Jayalakshmi, N.S.; Gaonkar, D.N.; Nempu, P.B. Power control of P.V./fuel cell/supercapacitor hybrid system for stand-alone applications. Int. J. Renew. Energy Res. 2016, 6, 672–679. [Google Scholar]
- Thounthong, P.; Chunkag, V.; Sethakul, P.; Sikkabut, S.; Pierfederici, S.; Davat, B. Energy management of fuel cell/solar cell/supercapacitor hybrid power source. J. Power Sources 2011, 196, 313–324. [Google Scholar] [CrossRef]
- Xiong, L.; Nour, M. Techno-economic analysis of a residential PV-storage model in a distribution network. Energies 2019, 12, 3062. [Google Scholar] [CrossRef]
- Ahmad, T. A hybrid grid connected PV battery energy storage system with power quality improvement. Sol. Energy 2016, 125, 180–191. [Google Scholar] [CrossRef]
- Monocrystalline, Sunceco PV Module. Available online: https://sunceco.com (accessed on 1 May 2021).
- Absopulse Inverter. Available online: https://absopulse.com (accessed on 1 May 2021).
- Maxwell Super Capacitor. Available online: https://www.maxwell.com (accessed on 1 May 2021).
- Jaszczur, M.; Hassan, Q.; Palej, P.; Abdulateef, J. Multi-Objective optimisation of a micro-grid hybrid power system for household application. Energy 2020, 202, 117738. [Google Scholar] [CrossRef]
- Jaszczur, M.; Hassan, Q.; Abdulateef, A.M.; Abdulateef, J. Assessing the temporal load resolution effect on the photovoltaic energy flows and self-consumption. Renew. Energy 2021, 169, 1077–1090. [Google Scholar] [CrossRef]
- Hassan, Q. Optimisation of solar-hydrogen power system for household applications. Int. J. Hydrogen Energy 2020, 45, 33111–33127. [Google Scholar] [CrossRef]
- Jaszczur, M.; Hassan, Q.; Teneta, J. Temporal load resolution impact on PV/grid system energy flows. MATEC Web Conf. 2018, 240, 04003. [Google Scholar] [CrossRef][Green Version]
- Jaszczur, M.; Hassan, Q.; Al-Anbagi, H.N.; Palej, P. A numerical analysis of a HYBRID PV+ WT power system. E3S Web Conf. 2019, 128, 05001. [Google Scholar] [CrossRef]
- Stephant, M.; Abbes, D.; Hassam-Ouari, K.; Labrunie, A.; Robyns, B. Distributed optimization of energy profiles to improve photovoltaic self-consumption on a local energy community. Simul. Model. Pract. Theory 2021, 108, 102242. [Google Scholar] [CrossRef]
- Jaszczur, M.; Hassan, Q.; Styszko, K.; Teneta, J. Impact of dust and temperature on energy conversion process in photovoltaic module. Therm. Sci. 2019, 23 (Suppl. 4), 1199–1210. [Google Scholar] [CrossRef]
- Hassan, Q.; Jaszczur, M.; Abdulateef, J. Optimization of P.V./wind/diesel hybrid power system in homer for rural electrification. J. Phys. Conf. Ser. 2016, 745, 032006. [Google Scholar] [CrossRef]
- Luthander, R.; Widén, J.; Nilsson, D.; Palm, J. Photovoltaic self-consumption in buildings: A review. Appl. Energy 2015, 142, 80–94. [Google Scholar] [CrossRef]
- Hassan, Q. Evaluation and optimization of off-grid and on-grid photovoltaic power system for typical household electrification. Renew. Energy 2021, 164, 375–390. [Google Scholar] [CrossRef]
- Thebault, M.; Gaillard, L. Optimization of the integration of photovoltaic systems on buildings for self-consumption–Case study in France. City Environ. Interact. 2021, 10, 100057. [Google Scholar] [CrossRef]
- Ceran, B.; Mielcarek, A.; Hassan, Q.; Teneta, J.; Jaszczur, M. Aging effects on modelling and operation of a photovoltaic system with hydrogen storage. Appl. Energy 2021, 297, 117161. [Google Scholar] [CrossRef]
- Hassan, Q. Assessing of renewable energy for electrical household ancillary based on photovoltaics and wind turbines. IOP Conf. Ser. Mater. Sci. Eng. 2021, 1076, 012006. [Google Scholar] [CrossRef]
- Abdulateef, A.M.; Jaszczur, M.; Hassan, Q.; Anish, R.; Niyas, H.; Sopian, K.; Abdulateef, J. Enhancing the melting of phase change material using a fins–nanoparticle combination in a triplex tube heat exchanger. J. Energy Storage 2021, 35, 102227. [Google Scholar] [CrossRef]
- Jiménez-Castillo, G.; Rus-Casas, C.; Tina, G.M.; Muñoz-Rodriguez, F.J. Effects of smart meter time resolution when analyzing photovoltaic self-consumption system on a daily and annual basis. Renew. Energy 2021, 164, 889–896. [Google Scholar] [CrossRef]
- Campana, P.E.; Cioccolanti, L.; François, B.; Jurasz, J.; Zhang, Y.; Varini, M.; Yan, J. Li-ion batteries for peak shaving, price arbitrage, and photovoltaic self-consumption in commercial buildings: A Monte Carlo Analysis. Energy Convers. Manag. 2021, 234, 113889. [Google Scholar] [CrossRef]
- Roldan-Fernandez, J.M.; Burgos-Payan, M.; Riquelme-Santos, J.M. Assessing the decarbonisation effect of household photovoltaic self-consumption. J. Clean. Prod. 2021, 318, 128501. [Google Scholar] [CrossRef]
- Amabile, L.; Bresch-Pietri, D.; El Hajje, G.; Labbé, S.; Petit, N. Optimizing the self-consumption of residential photovoltaic energy and quantification of the impact of production forecast uncertainties. Adv. Appl. Energy 2021, 2, 100020. [Google Scholar] [CrossRef]
- Hassan, Q.; Abbas, M.K.; Abdulateef, M.A.; Abdulateef, J.; Abdulmajeed, M. Assessment the potential solar energy with the models for optimum tilt angles of maximum solar irradiance for Iraq. Case Stud. Chem. Environ. Eng. 2021, 4, 100140. [Google Scholar] [CrossRef]
Publisher’s Note: MDPI stays neutral with regard to jurisdictional claims in published maps and institutional affiliations. |
© 2021 by the authors. Licensee MDPI, Basel, Switzerland. This article is an open access article distributed under the terms and conditions of the Creative Commons Attribution (CC BY) license (https://creativecommons.org/licenses/by/4.0/).