Temperature and Electric Field Distribution Characteristics of a DC-GIL Basin-Type Spacer with 3D Modelling and Simulation
Abstract
:1. Introduction
2. Simulation Model
2.1. Geometry of the GIL Model
2.2. Mathematical Model of the GIL
2.2.1. Heat Generation
2.2.2. Heat Transfer
2.2.3. Turbulent Flow
3. Results and Discussions
3.1. Influence of Geometry on Temperature Distribution
3.2. Surface Temperature Distribution of the Spacer
3.3. Influence of Gas Pressure on Temperature Distribution
3.4. Influence of Ambient Temperature on Temperature Distribution
3.5. Influence of the Load Current on Temperature Distribution
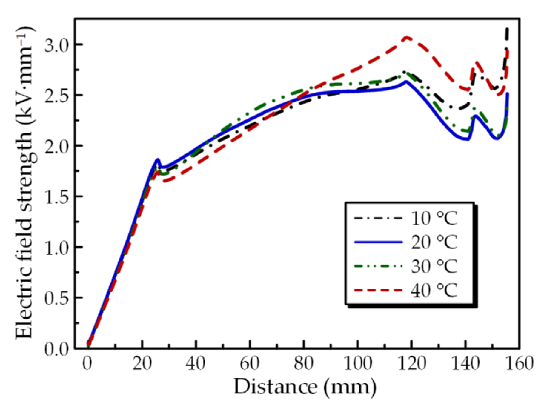
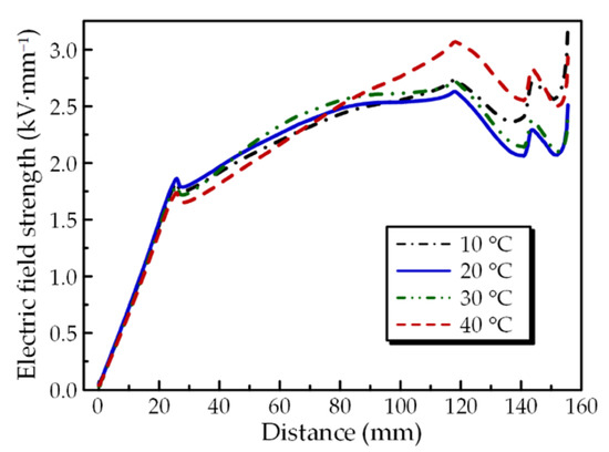
3.6. Influence of the Thermal Gradient on Electric Field Distribution
4. Conclusions
- The specific heat capacity and thermal conductivity of the spacer were measured under various temperatures and applied in the simulation. Higher temperatures appeared at the upper part of the spacer as the consequence of natural convection. The temperature difference could be 10 °C in the middle of the spacer. The temperature of the convex surface was slightly higher than that of the concave surface due to the flow motion towards the spacer near the shielding. Moreover, a temperature difference of about 3 °C could be found.
- With an increase in the SF6 pressure from 0.4 to 0.6 MPa, the temperature of the conductor decreased from 66 to 60 °C due to the improvement in the convection characteristics with an increase in heat capacity per unit volume. With an increase in the ambient temperature from 10 to 40 °C, the temperature of the spacer increased linearly with the variation in the ambient temperature, which was attributed to the linear decrease in heat dissipation. The temperature difference between the inner and outer parts of the spacer increased from 20 to 40 °C with an increase in the load current from 2500 to 4000 A.
- An obvious increase in the electric field strength of 0.5 kV·mm−1 appeared at the spacer surface considering the influence of the thermal gradient compared to the result without the thermal gradient. With an increase in the load current, the field strength increased. Thus, special attention should be paid to the insulation properties under a high load current, different weather conditions and different seasons for the long-term operation of DC-GIL. Further, the 3D temperature distribution can promote an understanding of the insulation characteristics of the GIL in both transient and steady conditions.
Author Contributions
Funding
Institutional Review Board Statement
Informed Consent Statement
Data Availability Statement
Conflicts of Interest
References
- Koch, H. Gas-Insulated Transmission Lines; John Wiley & Sons: London, UK, 2012; pp. 4–5. [Google Scholar]
- Li, X.; Liu, W.D.; Xu, Y.; Chen, W.; Bi, J. Surface Charge Accumulation and Pre-Flashover Characteristics Induced by Metal Particles on The Insulator Surfaces of 1100 kV GILs under AC Voltage. High Volt. 2020, 5, 134–142. [Google Scholar]
- Xing, Y.Q.; Liu, L.; Xu, Y.; Yang, Y.; Li, C.Y. Defects and Failure Types of Solid Insulation in Gas Insulated Switchgear: In situ Study and Case Analysis. High Volt. 2021. [Google Scholar] [CrossRef]
- Okabe, S.; Ueta, G.; Nojima, K. Resistance Characteristics and Electrification Characteristics of GIS Epoxy Insulators under DC Voltage. IEEE Trans. Dielectr. Electr. Insul. 2014, 21, 1260–1267. [Google Scholar] [CrossRef]
- Zavattoni, L. Conduction Phenomena through Gas and Insulating Solids in HVDC Gas Insulated Substations, and Consequences on Electric Field Distribution. Ph.D. Thesis, Université de Grenoble, Grenoble, France, 2014. [Google Scholar]
- Du, B.X.; Liang, H.C.; Li, J.; Ran, Z.Y. Electrical Field Distribution along SF6/N2 Filled DC-GIS/GIL Epoxy Spacer. IEEE Trans. Dielectr. Electr. Insul. 2018, 25, 1202–1210. [Google Scholar] [CrossRef]
- Ma, G.M.; Zhou, H.Y.; Lu, S.J.; Wang, Y.; Liu, S.P.; Li, C.R.; Tu, Y.P. Effect of Material Volume Conductivity on Surface Charges Accumulation on Spacers under DC Electro-Thermal Coupling Stress. IEEE Trans. Dielectr. Electr. Insul. 2018, 25, 1211–1220. [Google Scholar] [CrossRef]
- Chakir, A.; Koch, H. Turbulent Natural Convection and Thermal Behaviour of Cylindrical Gas-Insulated Transmission Lines (GIL). In Proceedings of the IEEE PES Summer Meeting, Vancouver, Canada, 15–19 July 2001. [Google Scholar]
- Kim, J.K.; Hahn, S.C.; Park, K.Y.; Hong, K.K.; Oh, Y.H. Temperature Rise Prediction of EHV GIS Bus Bar by Coupled Magnetothermal Finite Element Method. IEEE Trans. Magn. 2005, 41, 1636–1639. [Google Scholar]
- Rebzani, N.; Clavel, E.; Marty, P.; Morin, A. Numerical Multiphysics Modeling of Temperature Rises in Gas Insulated Busbars. IEEE Trans. Dielectr. Electr. Insul. 2016, 23, 2579–2586. [Google Scholar] [CrossRef]
- Novak, B.; Koller, L. Steady-State Heating of Gas Insulated Busbars. In Proceedings of the 2012 IEEE/PES Transmission and Distribution Conference and Exposition (T&D), Orlando, FL, USA, 5–10 May 2012. [Google Scholar]
- Chen, G.; Tu, Y.; Wang, C.; Cheng, Y.; Jiang, H.; Zhou, H.; Jin, H. Analysis on Temperature Distribution and Current-Carrying Capacity of GIL Filled with Fluoronitriles-CO2 Gas Mixture. J. Electr. Eng. Technol. 2018, 13, 2402–2411. [Google Scholar]
- Yan, W.; Li, C.; Lei, Z.; Han, T.; Zhang, Z.; Fabiani, D. Surface Charging on HVDC Spacers Considering Time-Varying Effect of Temperature and Electric Fields. IEEE Trans. Dielectr. Electr. Insul. 2019, 26, 1316–1324. [Google Scholar] [CrossRef]
- Liang, H.C.; Du, B.X.; Li, J. Electric Field Regulation and Parameter Optimization of Surface Nonlinear Conductivity Spacer for 500 kV DC-GIL. IEEE Trans. Dielectr. Electr. Insul. 2020, 27, 1330–1338. [Google Scholar] [CrossRef]
- Lienhard, H.I.V.; Lienhard, H.V. A Heat Transfer Textbook, 3rd ed.; Phlogiston Press: Cambridge, MA, USA, 2003; p. 528. [Google Scholar]
- Yunus, A.C. Heat Transfer: A Practical Approach, 2nd ed.; Mcgraw-Hill: New York, NY, USA, 2002; pp. 465–466. [Google Scholar]
- Kueh, T.H.; Goldstein, R.J. Correlating Equations for Natural Convection Heat Transfer between Horizontal Circular Cylinders. Int. J. Heat Mass Transfer. 1976, 19, 1127–1134. [Google Scholar]
- COMSOL. CFD Module User’s Guide; COMSOL Multiphysics 5.5; COMSOL: Burlington, MA, USA, 2019; pp. 207–209. [Google Scholar]
- Qiao, Y.; Liang, R.; Gao, P.; Zhu, S.Y.; Chen, C.Y.; Qin, Y.X.; Tang, X.Z. Heat Transfer Analysis of Different Conditions for SF6/N2 Gas-Insulated Transmission Lines. IEEE Trans. Power Del. 2020, 5, 160–165. [Google Scholar]
- Wang, J.; Chen, C.; Li, Q.M.; Liu, S.H.; Wang, Z.Y. Thermal-Induced Flexible Property of Gas Insulated Lines and Influencing Factors based on Thermal Mechanical Coupling Analysis. High Volt. Eng. 2017, 43, 429–437. [Google Scholar]


















| Inner Diameter (mm) | Thickness (mm) | Material | |
|---|---|---|---|
| Conductor | 40 | 15 | Aluminum |
| Enclosure | 215 | 10 | Aluminum alloy |
| Thermal Conductivity (W·m−1·K−1) | Specific Heat Capacity (J·kg−1·K−1) | Density (kg·m−3) | |
|---|---|---|---|
| Conductor | 218 | 895 | 2690 |
| Enclosure | 152 | 819 | 2660 |
Publisher’s Note: MDPI stays neutral with regard to jurisdictional claims in published maps and institutional affiliations. |
© 2021 by the authors. Licensee MDPI, Basel, Switzerland. This article is an open access article distributed under the terms and conditions of the Creative Commons Attribution (CC BY) license (https://creativecommons.org/licenses/by/4.0/).
Share and Cite
Li, X.; Wan, M.; Yan, S.; Lin, X. Temperature and Electric Field Distribution Characteristics of a DC-GIL Basin-Type Spacer with 3D Modelling and Simulation. Energies 2021, 14, 7889. https://doi.org/10.3390/en14237889
Li X, Wan M, Yan S, Lin X. Temperature and Electric Field Distribution Characteristics of a DC-GIL Basin-Type Spacer with 3D Modelling and Simulation. Energies. 2021; 14(23):7889. https://doi.org/10.3390/en14237889
Chicago/Turabian StyleLi, Xiaolong, Mingde Wan, Shouyi Yan, and Xin Lin. 2021. "Temperature and Electric Field Distribution Characteristics of a DC-GIL Basin-Type Spacer with 3D Modelling and Simulation" Energies 14, no. 23: 7889. https://doi.org/10.3390/en14237889
APA StyleLi, X., Wan, M., Yan, S., & Lin, X. (2021). Temperature and Electric Field Distribution Characteristics of a DC-GIL Basin-Type Spacer with 3D Modelling and Simulation. Energies, 14(23), 7889. https://doi.org/10.3390/en14237889

