Abstract
Syngas fermentation via the Wood-Ljungdahl (WL) pathway is a promising approach for converting gaseous pollutants (CO and CO2) into high-value commodities. Because the WL involves several enzymes with trace metal components, it requires an adequate supply of micronutrients in the fermentation medium for targeted bioprocessing such as bioethanol production. Plackett-Burman statistical analysis was performed to examine the most efficient trace elements (Ni, Mg, Ca, Mn, Co, Cu, B, W, Zn, Fe, and Mo) and their concentrations for Clostridium ljungdahlii on ethanol production. Overall, 1.5 to 2.5 fold improvement in ethanol production could be achieved with designed trace element concentrations. The effects of tungsten and copper on ethanol and biomass production were determined to be the most significant, respectively. The model developed was statistically significant and has the potential to significantly decrease the cost of trace element solutions by 18–22%. This research demonstrates the critical importance of optimizing the medium for syngas fermentation in terms of product distribution and economic feasibility.
1. Introduction
Air pollution has a direct negative effect on human health, reducing people’s quality of life. In recent years, increasing industrialization and increased demand for cars have contributed significantly to increased pollutant emissions, contributing to global warming and other environmental problems. To address these issues and decrease our reliance on fossil fuels, we ought to accelerate the development of sustainable, safe, and alternative renewable energy sources. Recent years have seen a surge in interest in biomass-based fuel and chemical production technologies, including organic waste and CO2 capture and utilization (CCU) [1,2].
Bioethanol is one of the most promising sustainable energy options. Bioethanol is typically produced through fermentation of first-generation sugar or starch-based sources (sugar beet, corn, and glucose) or second-generation sources (lignocellulosic wastes such as urban solid wastes, grass, and field wastes) after sugars are extracted through proper pretreatment operations [3]. However, a substantial portion of lignin included in the lignocellulosic material is unusable. Alternatively, these materials may be gasified to produce syngas, a combination of CO, CO2, N2, H2, and CH4. Gasification is a thermochemical process that transforms any carbon-based substances to syngas. The composition of syngas produced varies depending on the properties of the raw materials and the gasification technique used. The syngas can then be converted into value-added compounds such as ethanol by specialized bacteria called acetogens through the Wood-Ljungdahl (WL) pathway [4,5]. The gas mixture including CO and other syngas components is also emitted during industrial operations such as steel milling and petroleum refining. This gas mixture can be converted to useful products through the syngas fermentation process, a waste-to-products technology. The stoichiometry of conversion from CO and CO2 to ethanol is given below:
6CO + 3H2O → C2H5OH + 4CO2
2CO2 + 6H2 → C2H5OH + 3H2O
By optimizing the fermentation conditions and medium utilized, the ethanol production from syngas fermentation may be significantly increased [6,7]. Trace metals, which serve as cofactors for enzymes involved in the WL pathway, are critical in the production of bioethanol. The key enzymes in this pathway, including formate dehydrogenase (FDH), bifunctional carbon monoxide dehydrogenase/acetyl-CoA synthase (CODH/ACS), and hydrogenase (H2ase), are metalloenzymes [8,9]. FDH catalyzes the reduction of CO2 to formate. Additionally, solvent-producing Clostridia possess iron and zinc-containing alcohol dehydrogenase (ADH), the main enzyme responsible for reduction of acetyl-CoA to ethanol [10]. A lack or excess of these trace elements may result in inefficient ethanol synthesis. Additionally, excessive usage of these elements would result in a rise in production costs. Since metalloenzymes are critical for syngas fermentation, it is crucial to optimize the element concentrations in the growth media.
Saxena and Tanner [11] conducted a study to determine the effects of trace metals; Co2+, Fe2+, Cu2+, Mn2+, Mo6+, Ni2+, Zn2+, SeO4−, and WO4− on growth and ethanol production, as well as the activities of CODH, FDH, H2ase, and ADH in C. ragsdalei. They observed that optimizing trace metal concentrations in the fermentation medium could significantly increase ethanol production yield. Similarly, many experimental results demonstrate that these trace metals have different impacts on strains such as C. carboxidivorans and C. autoethanogenum [12,13]. C. ljungdahlii is an acetogen that has been used as a model strain in WL pathway studies. C. ljungdahlii is a chemolithotrophic, gram-positive anaerobe that was isolated for the first time in 1993 from chicken yard waste [14]. It conserves energy by coupling the WL pathway to a non-Na+-dependent Rnf complex, ferredoxin:NAD+ oxidoreductase [15]. This strain produces ethanol, acetic acid, and trace quantities of 2,3-butanediol and lactate during C1 gas conversion [16].
By evaluating many factors concurrently, a statistical technique may assist in enhancing the quality of the study. It is also a more time and cost-effective alternative than classical approaches. The Plackett-Burman method is a screening technique that is widely used in experimental design. Fermentation media comprising a wide range of different chemicals that may not contribute equally to production yields may be efficiently screened first using a limited number of tests, which makes this approach appealing to researchers [17,18].
In this study, different concentrations of 11 essential trace element solution components (Ni, Mg, Ca, Mn, Co, Cu, B, W, Zn, Fe, and Mo) were tested simultaneously at two levels using the Plackett-Burman statistical method to identify the critical elements necessary for C. ljungdahlii growth and metabolite production from a syngas mixture containing CO 60%, CO2 10%, H2 10%, CH4 10%, and N2 10%. At the same time, the synergistic and multiple effects of 11 elements were examined. To the best of the authors’ knowledge, no research has been conducted to optimize the trace metal requirements of C. ljungdahlii.
2. Materials and Methods
2.1. Microorganisms
Clostridium ljungdahlii DSM 13528 was acquired in lyophilized form from the Deutsche Sammlung von Mikroorganismen und Zellkulturen (DSMZ) GmbH (Braunschweig, Germany). The DSMZ-recommended strict anaerobic medium was used for revitalization. The microorganisms were maintained in 20% glycerol stock at −80 °C for long-term preservation and continuity. All experiments were conducted in a laminar flow cabinet (Telstar Class II, USA).
2.2. Growth Medium
The growth medium (DSMZ 879) contains the following elements per liter of distilled water: NH4Cl (1 g), KCl (0.1 g), MgSO4 × 7H2O (0.2 g), NaCl (0.8 g), KH2PO4 (0.1 g), CaCl2 × 2H2O (0.02 g), yeast extract (1 g, Merck), 10 mL trace element solution, 0.5 mL Na-resazurin solution (0.1% w/v), NaHCO3 (1 g), D-Fructose (5 g), vitamin solution 10 mL, L-Cysteine-HCl × H2O (0.3 g), and Na2S × 9H2O (0.3 g). Trace element stock solution (Modified Wolin’s mineral solution) per liter of distilled water includes: 1.5 g nitrilotriacetic acid, 3 g MgSO4 × 7H2O, 0.5 g MnSO4 × H2O, 1 g NaCl, 0.1 g FeSO4 × 7H2O, 0.18 g CoSO4 × 7H2O, 0.1 g CaCl2 × 2H2O, 0.18 g ZnSO4 × 7H2O, 0.01 g CuSO4 × 5H2O, 0.02 g KAl(SO4)2 × 12H2O, 0.01 g H3BO3, 0.01 g Na2MoO4 × 2H2O, 0.03 g NiCl2 × 6H2O, 0.3 mg Na2SeO3 × 5H2O, and 0.4 mg Na2WO4 × 2H2O. Vitamin stock solution per liter of distilled water contains: 2 mg biotin, 2 mg folic acid, 10 mg pyridoxine-HCl, 5 mg thiamine-HCl, 5 mg riboflavin, 5 mg nicotinic acid, 5 mg Ca–D–pantothenate, 0.1 mg Vitamin B12, 5 mg p-aminobenzoic acid, and 5 mg α—lipoic acid.
2.3. Batch Reactors
In this study, 100 mL serum bottles with a 50 mL working volume were used as batch reactors. Following medium addition to the batch reactors, the headspace was purged with 99% pure nitrogen and shaken to eliminate oxygen before being sealed with a rubber stopper and aluminum crimps to maintain anaerobic conditions for the bacteria. The reactors were then sterilized by autoclaving for 20 min at 121 °C. (Hirayama HV-110 L). After sterilization and cooling to room temperature, 2.5 mL fructose 10% (w/v) and 0.5 mL vitamin solution were added to each reactor from a sterile stock solution. The medium was inoculated with a 10% active culture (v/v). For 24–48 h, bottles were shaken at 100 rpm in an incubator set to the optimal growth temperature of 37 °C. Weekly subcultures of C. ljungdahlii were performed by transferring it to fresh medium. pH was maintained between 4.5 and 5.
2.4. Trace Elements, Plackett-Burman Method and Bottle Batch Experiments
The basal media components used in the production of bioethanol from synthesis gas are very pure and costly chemicals. As a result, an optimized medium with lower concentrations of these chemicals whilst improving ethanol production will substantially contribute to process cost reduction. The statistical program employed (Design Expert 7.0, StatEase®, USA) has experimental designs for the Plackett-Burman technique with 11, 19, 20, 24, and 31 factors. The most efficient trace elements were selected and their impacts on biomass and metabolite synthesis were determined using an 11-factor approach in this research.
The experimental design was recommended by the statistical software Design Expert 7.0 based on the minimum and maximum values of the trace elements to be optimized. The concentration ranges for the trace elements were determined based on their amounts reported in the literature [19,20,21,22,23]. The following are the maximum values for the trace elements utilized in this study: FeSO4 × 7H2O (0.8 g/L); CoSO4 × 7H2O (0.2 g/L); CuSO4 × 5H2O (0.1 g/L); MnSO4 × H2O (1 g/L), Na2MoO4 × 2H2O (0.02 g/L), NiCl2 × 6H2O (0.02/L), CaCl2 × 2H2O (0.1 g/L), Na2WO4 × 2H2O (0.02 g/L), ZnSO4 × 7H2O (0.2 g/L), H3BO3 (0.01 g/L), and MgSO4 × 7H2O (3 g/L). The lowest values were set to 0 g/L. To eliminate the effect of trace metals from the inoculum, the concentrations of these metals were determined by employing ICP analysis. The amounts of trace metals in the inoculum are listed in Table 1.
Table 1.
ICP analysis result of the inoculum.
The quantity of trace metals present in each reactor after including their carryover from the inoculum is shown in Table 2. Hence, these values are considered for the statistical analysis to understand the significance of each trace metal on the growth and metabolite production of C. ljungdahlii.
Table 2.
Stock trace element concentrations presented in g/L in batch reactors after incorporating their presence from inoculum.
Each trace element solution was prepared using 1.5 g of nitrilotriacetic acid and 1 g of sodium chloride in 1 L of distilled water according to the experimental design described by the Plackett-Burman technique. A 50 mL medium with the chemical composition described in Section 2.2 without trace metals was prepared and 0.5 mL of specific stock trace metal solution was added later into each bottle. The bottles preparations and the experimental conditions were as described in Section 2.3. As a control, we used a modified Wolin’s mineral solution as suggested for C. ljungdahlii in the DSMZ 879 medium. An additional set of experiments was performed without the inclusion of trace metals (reactor 12). Each batch reactor experiment was performed in duplicate. Reactors were inoculated with bacteria at a rate of 10% (v/v) from active stock cultures grown in the DSMZ 879 medium. After 48 h, 10 mL syngas (CO 60%, CO2 10%, H2 10%, CH4 10%, and N2 10%) was injected into the headspace of reactors using a sterile syringe [24]. When required, 2 M HCl or 2 M NaOH was used to alter the pH. Every 24 h, 0.75 mL of sample was taken from each bottle to analyze the metabolites, biomass, and pH. Samples were analyzed immediately for biomass determination, and a portion of them were stored at −4 °C until metabolite analysis. The Plackett-Burman trials’ responses (biomass and metabolites production) were evaluated using the tools available in the Design Expert 7.0 software.
2.5. Analytical Methods
The growth of microorganisms was monitored at 600 nm using a spectrophotometer (ThermoScience UV) against a blank of pure water. After correlating the observed absorbance to the previously prepared calibration curve, the corresponding biomass concentration (mg/L) was calculated [Biomass (mg/L) = 321.88 × OD600 + 15.752 (R2 = 0.9097)].
Daily pH readings were taken using pH paper (Merck 0–14). The concentrations of metabolites (ethanol and formic acid) and fructose were determined using High-Performance Liquid Chromatography (HPLC) with a Refractive Index Detector (ThermoScience Ultimate 3000 UHPLC, USA). The column was a HyperREZ XP Carbohydrate +H 8 m (30 × 2.5 × 8). The carrier liquid was 10 mM H2SO4 at a flow rate of 1 mL/min, at a pressure of 70–80 bar, at a column temperature of 50 °C, and Refractive Index Detector temperature of 50 °C. Prior to analysis, the samples were centrifuged at 10,000 rpm for 10 min and the supernatant filtered through 0.22 µm filters [24]. ICP analysis was performed at an external lab (Radix, Istanbul, Turkey).
2.6. Kinetic Analysis
Kinetic analysis for ethanol was calculated with the modified Gompertz method [25]. The equation is as follows:
In this equation, is the ethanol production (mg/L), is the ethanol production rate (mg /L.h), is the lag time (h) of the process, and (h) is the production time. The analysis was performed to calculate the maximum ethanol production (in mg/L), lag time, and -value using Statistica 10.0 (Stat Soft, Inc., Tulsa, OK, USA).
3. Results
3.1. Bacterial Growth
Due to rapid acclimation, a small lag time was detected for all reactors except reactor 12, which received no trace metal addition (data not shown). The experiments lasted 384 h until the ethanol production stabilized. As expected, a maximum biomass of 208.8800 mg/L was found with DSMZ medium, as the culture collection formulation is designed to promote rapid microbial growth (Figure 1). Reactor 8 had the second highest biomass, reaching 183.1296 mg/L. In all of the experimental trials, a biomass close to 100 mg/L was found. As stated later, the reactor 1 with the highest concentration of ethanol and the lowest concentration of formic acid achieved a biomass of 127.7662 mg/L. Without adding trace metals to reactor 12, a biomass of 177.0139 mg/L was obtained. Without the inclusion of trace metals, growth may be ascribed to the presence of nutrients such as yeast extract, which may include key components necessary for development and maintenance of microbial cells.
Figure 1.
Biomass obtained in different experimental trials.
3.2. Formic Acid Production
With DSMZ trace metal solution, the highest formic acid production was 1350 mg/L (Figure 2). No formic acid was detected in reactor 1 and a trace (45 mg/L) of formic acid was detected in reactor 9, and both were the highest ethanol producing reactors (Section 3.3). The low concentrations of formic acid in reactors 1 and 9 and the reported high concentrations of ethanol confirm the remarkable influence of trace metals on the metabolites produced by acetogens. The bacterium may use and convert the produced formic acid to ethanol, thus increasing the final ethanol titer in such reactors.
Figure 2.
Formic acid production in different experimental trials.
3.3. Ethanol Production
In comparison to DSMZ medium, an increase in ethanol production was found for all tested trace element concentration combinations (Figure 3). While ethanol production of 210 mg/L was observed using DSMZ media, ethanol production varied between 240 and 530 mg/L as a consequence of altering the media content designed using a statistical approach. The maximum ethanol production was estimated to be 530 mg/L in reactor 1 and 430 mg/L in reactor 9. Various combinations of trace elements increased the yield of ethanol by 1.2 to 2.5 times. Ethanol production was also increased in reactor 12 compared to the DSMZ medium, indicating that certain trace metal concentrations had an inhibitory impact.
Figure 3.
Ethanol production in different experimental trials.
During the experiment, the amount of fructose in the medium was analyzed and no significant change was observed in the amount of fructose after the synthesis gas feed at the 48th hour after inoculation, confirming that ethanol production using syngas as substrate instead of fructose.
3.4. Statistical Analysis
Using the Design Expert 7.0 software, the observed ethanol production values were evaluated. The study was performed under the assumption that the Zn impact was insignificant (p = 1.27 > 0.05) and the model was statistically significant (p = 0.0427 < 0.05), based on the results of trials conducted using the experimental design developed in the Design Expert 7.0 software (Table 3). Na2WO4 × 2H2O (p = 0.0135), MnSO4 × H2O (p = 0.0309), CuSO4 × 5H2O (p = 0.0433), and MgSO4 × H2O (p = 0.0477) were determined to be significant trace elements in this model.
Table 3.
ANOVA analysis report by Plackett-Burman in trace element optimization with Clostridium ljungdahlii.
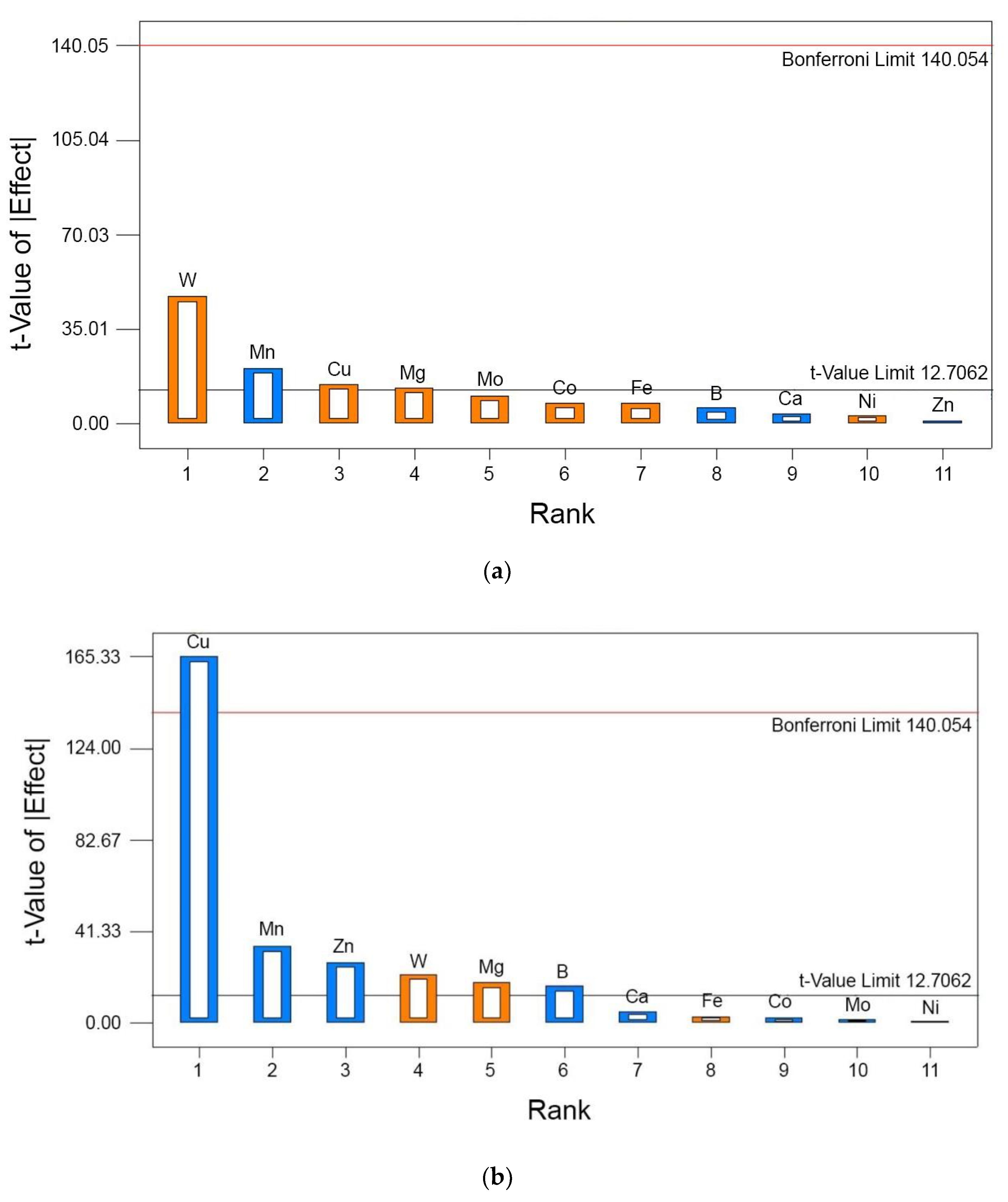
3.4.1. Pareto Chart
The Pareto chart is a technique for ranking items in descending order of their importance values from left to right. The trace metals that have a positive effect on ethanol/biomass production in C. ljungdahlii are shown by an orange bar, while those that have a detrimental effect are indicated by a blue bar. Two horizontal lines are shown in the graph: a pink line at the upper level represents the Bonferroni limit, and a blue line at the lower lever indicates the t-value limit; both are statistically accepted limits equivalent to confidence intervals [26]. Figure 4 illustrates Pareto charts for ethanol and biomass. To understand the effect of W, for example, the Pareto chart reveals that the t-value of effect of W on ethanol production is more than the t-value limit but less than the Bonferroni limit. Along with W, Cu has been proven to have a positive effect on ethanol production, as shown by the orange-colored bar, whereas t-value of effect of Cu is more than the Bonferroni limit, as shown by the blue bar, indicating a substantial negative impact (extremely important) on the growth of C. ljungdahlii (Figure 4b).
Figure 4.
Pareto Charts for effect of trace metals on (a) ethanol and (b) biomass production.
3.4.2. Main Effects Plot
Figure 5 illustrates the main effects plot for the ethanol and biomass effects, respectively, given the presence of tungsten and copper in the medium. It is used to indicate the mean response values at each design parameter level. When the mean response varies throughout the factor’s level, a main effect is deemed to exist. Under −1 and +1 tungsten supplementation, ethanol production increased from 279.87 mg/L to 417.62 mg/L. Copper supplementation reduced the biomass from 170.5689 to 117.5517 mg/L under the −1 and +1 conditions studied.
Figure 5.
Main effects plot for (a) ethanol (mg/L) and (b) biomass (mg/L) production.
3.4.3. Optimized Trace Metal Composition for Ethanol
The influence of trace metals on the Wood-Ljungdahl pathway is a critical topic that has received much attention in recent years [21]. Apart from the kind of trace element used, the concentrations of the trace element have an effect on the syngas fermentation process. Several research have also focused on substituting for the costly components of the growth media [24,27]. Table 4 summarizes the three potential optimal medium compositions (#1, #2, and #3) identified via a statistical approach that may improve ethanol production performance.
Table 4.
The optimal combination of trace element (g/L) for ethanol production by Clostridium ljungdahlii present in stock solution as determined using the statistical method.
The cost of the trace element solution will be decreased by 18%, 18%, and 22% for the optimal medium compositions #1, #2, and #3, respectively (calculations were made according to prices from Merck and Sigma prices). This decrease is significant for scaling up operations when dealing with industrial reactors on a larger scale. The optimized medium indicates that a 526 mg/L, 526 mg/L, and 515 mg/L bioethanol production can be achieved with trace metal combination (Table 4) for medium #1, #2, and #3, respectively.
3.5. Kinetic Analysis
Kinetic analysis was performed on ethanol production using a modified Gompertz equation. The performance of batch-type reactors for bioethanol production was examined using their kinetic data, including ethanol production rate (mg /L.h), lag time (h), and maximum ethanol production (mg/L). The ethanol production data and time were computed, and the equation was solved using Statistica 11.0 (USA, Trial version). The high R2 values for all results indicate that the predicted data are close to the actual data. Reactor 1 attained significant improvement, a 2.5-fold increase, and the highest ethanol production rates, 18 mg /L.h. Reactors 3, 6, and 7 all performed similarly in terms of increasing ethanol production, and their rate values are comparable (12.58 mg /L.h, 13.51 mg /L.h, and 12.61 mg /L.h). Due to the fact that ethanol production began immediately on the first day of the experiments and reached maximum levels during the first two days, the lag times are as short as 2 to 3 h (Table 5).
Table 5.
Kinetic analysis on ethanol production using modified Gompertz equation.
4. Discussion
In this research, we obtained formic acid and ethanol as the main metabolites, with no acetic acid accumulation. Acetic acid may be simultaneously generated and used in the production of ethanol or ethanol is being generated via the direct acetyl-CoA to acetaldehyde route. Formic acid accumulation is found lower in the reactors with the highest ethanol production, as indicated in Figure 2 and Figure 3. This is particularly observed for reactors 1, 8, 9, and 10, which have the highest ethanol production. Based on the presence or absence of a certain trace metal employed in such reactors, the formic acid generated is reduced even further, and the carbon is channeled into the ethanol production process, leading to an increase in the overall ethanol produced.
Acetyl-CoA is the primary intermediate formed during the Wood-Ljungdahl (WL) pathway of CO2 reduction by acetogens. By adjusting the medium, gas compositions, and process conditions, the carbon flow toward growth and product production has been enhanced [28,29]. The enzymes involved in the WL pathway are metalloenzymes, whose activities are altered by the presence of particular metals in the media. From earlier research on the effects of trace metals on acetogens, it is clear that their effects and the optimum concentrations needed in the medium vary across acetogenic strains. The lack of statistical significance for some trace metals in our studies suggests that neither an inhibitory nor an enhancing impact on growth and products occurred at the concentrations examined. Table 6 summarizes the role of essential trace metals in the WL pathway. For example, iron is a key metal that is present in the majority of the enzymes in the WL pathway as well as a component of the protein (ferredoxin) involved in energy conservation. Iron is found in the active sites of carbon monoxide dehydrogenase/acetyl-CoA synthase (CODH/ACS), corrinoid iron-sulfur protein (CFeSP), and enzymes involved in the synthesis of ethanol in acetogens, such as acetaldehyde/alcohol dehydrogenase (ADHE) and aldehyde ferredoxin oxidoreductase (AFOR). However, saturation of the medium with these trace metals may have little impact on overall growth or metabolites production. This may explain why we observed no impact of iron (p > 0.05) in our study. Saxena and Tanner [11] observed a similar finding when the Fe2+ concentration exceeded 20.4 µM when using C. ragsdalei. NiFe-H2ase, which catalyzes hydrogen oxidation generating reducing equivalent for CO2 reduction, and bifunctional CODH/ACS, which catalyzes acetyl-CoA synthesis, are both nickel-containing enzymes. In contrast to C. ragsdalei [11] and C. carboxidivorans P7 [30], our research using C. ljungdahlii did not observe a negative effect of biomass and metabolites on nickel reduction, possibly attributed to the utilization of differing compositions of gaseous substrates.
Table 6.
The functions and roles of the trace metals in acetogens.
Clostridia have either molybdenum-or tungsten-containing FDH. As shown by previous research with C. ragsdalei and C. carboxidivorans, as well as our results, it is reasonable to assume that C. ljungdahlii, and all acetate-generating Clostridia in general, consist of tungsten-iron-selenium-containing FDH. The aldehyde ferredoxin oxidoreductase (AFOR) needs tungsten (W) as a cofactor to catalyze the conversion of acids produced during the acidogenesis phase to aldehyde utilizing the electron supplied by the reduced ferredoxin. Tungsten (W) had the greatest impact on C. ljungdahlii ethanol production in our research. This is consistent with its positive effects on the production of ethanol in strains such as C. autoethanogenum [13] and C. ragsdalei [11]. Abubackar et al. [13] investigated ethanol production by adjusting the W concentration and found a 128% improvement with 0.75 µM W compared to the control trial without its addition. Additionally, they found that the lack of W results in an increase in the buildup of acetic acid in the medium and a decrease in total ethanol synthesis [42].
In addition to W, Cu is identified as a major factor affecting C. ljungdahlii, with a very substantial negative impact on growth. Excess Cu may be the source of biomass/ethanol production inhibition due to Cu-Ni complexes in the cluster of ACS. Thus, the inactive version of the ACS enzyme (Cu-Ni) results in decreased carbon flow toward growth and metabolites [31].
The following table (Table 7) summarizes the results of some trace metal optimization studies for ethanol/biomass enhancement for a variety of clostridia under varied gas compositions. While several trace metals showed consistency in their impact on different acetogenic bacteria, the composition of syngas may have had a role in enhancing or diminishing the effects of specific trace metals. The absence of H2 in the gas mixture demands channeling a portion of the CO to produce reducing power by CODH, which may not occur when H2 is present in an adequate quantity in the gas mixture. Similarly, in the presence of CO, an enzyme such as H2ase may be inhibited.
Table 7.
Optimal amount of transition metal and Selenium compositions reported in various studies.
On other hand, Zn has shown variable impact on different bacterial strains, affecting their growth and metabolite synthesis depending on the available concentrations. Li et al. [43] investigated the effects of Zn on C. carboxidivorans by measuring growth, CO2 uptake, and metabolite production at various concentrations. Alcohol production was found to be much greater at 0 µM Zn concentrations than at 7 µM Zn concentrations. According to the study, zinc supplementation had no significant effect on the expression of alcohol dehydrogenase, acetyl-CoA transferase, or acetate kinase genes [43]. In our research, no statistically significant impact of Zn on ethanol production by C. ljungdahlii was observed. In addition, an expected iron effect on the bacterium was not observed. A reasonable explanation may be that the inoculum has provided the necessary quantity of Fe and Zn (Table 1).
Xie et al. (2015) observed 800 mg/L ethanol production with C. ljungdahlii at 37 °C and stirring speed of 200 rpm, using syngas containing 20% CO2 and 80% CO in a modified DSMZ 879 medium without sodium sulfide [23]. Najafpour et al. (2005) reported production of a maximum of 12 mg/L ethanol in 108 h in their study with C. ljungdahlii in serum bottles, using syngas containing 55% CO, 20% H2, 15% Ar, 10% CO2 at 37 °C [19]. As a next step, the optimized trace metal will be tested in bioreactor under controlled fermentation condition such as optimal pH and continuous fed mode operation.
Our results, in conjunction with those from the literature, indicate that each trace metal has a distinct effect on the growth and synthesis of metabolites in each bacterium, which is largely influenced by the bacterium’s energy conservation mechanism and their presence at the active sites of the enzymes. Thus, it is critical to examine their effects on the biocatalyst when scaling up and commercialization, since they have a significant impact on the process’s economics. As the syngas fermentation technology is a continuous progress, the green premium may be reduced even more, enabling the technology to compete with fossil fuel-based approaches in the near future.
5. Conclusions
The biological conversion of syngas, one of the key gases that contribute to air pollution, into a plethora of value-added products such as ethanol is a cost-effective, sustainable, and environment friendly approach of producing value-added products. Because the presence and concentrations of trace metals in the medium have a direct effect on ethanol production, we optimized the trace metal combination for Clostridium ljungdahlii for enhanced ethanol production and to reduce the overall cost. The statistical experimental design approach was used to produce a 2.5-fold increase in ethanol production in this research using optimized trace metal concentrations (Plackett-Burman). Improving the product yields and decreasing the process cost preliminary study for optimization could be beneficial for bioprocesses.
Author Contributions
Conceptualization, T.K.G. and H.N.A.; methodology, T.K.G. and H.N.A.; software, T.K.G.; validation, S.S., T.K.G. and H.N.A.; formal analysis, T.K.G. and H.N.A.; investigation, S.S., and T.K.G.; resources, T.K.G. and N.A., data curation, T.K.G.; writing—original draft preparation, S.S., H.N.A., T.K.G.; writing—review and editing, N.A.; visualization, T.K.G. and S.S.; supervision, T.K.G.; project administration, T.K.G.; funding acquisition, T.K.G. All authors have read and agreed to the published version of the manuscript.
Funding
This research was funded by The Scientific and Technological Research Council of Turkey (TUBITAK-CAYDAG) [project no 118Y305] and Ege University Scientific Research Projects Coordination [project no FDK-2020-22039].
Institutional Review Board Statement
Not applicable.
Informed Consent Statement
Not applicable.
Data Availability Statement
All data generated by this study is contained within this article.
Acknowledgments
This experimental work was financially supported by The Scientific and Technological Research Council of Turkey (TUBITAK-CAYDAG) [project no 118Y305] and Ege University Scientific Research Projects Coordination [project no FDK-2020-22039] HNA also thanks the Xunta de Galicia (Spain) for his postdoctoral fellowship (ED481D 2019/033).
Conflicts of Interest
The authors declare no conflict of interest.
References
- Karmee, S.K. Liquid biofuels from food waste: Current trends, prospect and limitation. Renew. Sustain. Energy Rev. 2016, 53, 945–953. [Google Scholar] [CrossRef]
- Kamkeng, A.D.N.; Wang, M.; Hu, J.J.; Du, W.; Qian, F. Transformation technologies for CO2 utilisation: Current status, challenges and future prospects. Chem. Eng. J. 2021, 409, 128138. [Google Scholar] [CrossRef]
- Kennes, D.; Abubackar, H.N.; Diaz, M.; Veiga, M.C.; Kennes, C. Bioethanol production from biomass: Carbohydrate vs syngas fermentation. J. Chem. Technol. Biotechnol. 2016, 91, 304–317. [Google Scholar] [CrossRef]
- Bengelsdorf, F.R.; Beck, M.H.; Erz, C.; Hoffmeiste, S.; Karl, M.M.; Riegler, P.; Wirth, S.; Poehlein, A.; Botz, D.W.; Dürre, P. Bacterial Anaerobic Synthesis Gas (Syngas) and CO2 + H2 Fermentation. Adv. Appl. Microbiol. 2018, 103, 143–221. [Google Scholar] [CrossRef] [PubMed]
- Liberato, V.; Benevenuti, C.; Coelho, F.; Botelho, A.; Amaral, P.; Pereira, N., Jr.; Ferreira, T. Clostridium sp. as Bio-Catalyst for Fuels and Chemicals Production in a Biorefinery Context. Catalysts 2019, 9, 962. [Google Scholar] [CrossRef] [Green Version]
- Han, Y.F.; Xie, B.T.; Wu, G.X.; Guo, Y.Q.; Li, D.M.; Huang, Z.Y. Combination of Trace Metal to Improve Solventogenesis of Clostridium carboxidivorans P7 in Syngas Fermentation. Front. Microbiol. 2020, 11, 1–12. [Google Scholar] [CrossRef] [PubMed]
- Richter, H.; Martin, M.E.; Angenent, L.T. A Two-Stage Continuous Fermentation System for Conversion of Syngas into Ethanol. Energies 2013, 6, 3987–4000. [Google Scholar] [CrossRef] [Green Version]
- Ragsdale, S.W.; Pierce, E. Acetogenesis and the Wood-Ljungdahl pathway of CO2 fixation. Biochim. Biophys. Acta-Proteins Proteom. 2008, 1784, 1873–1898. [Google Scholar] [CrossRef] [Green Version]
- Appel, A.M.; Bercaw, J.E.; Bocarsly, A.B.; Dobbe, H.; DuBois, D.L.; Dupuis, K.; Ferry, J.G.; Fujita, E.; Hille, R.; Kenis, P.J.A.; et al. Frontiers, opportunities, and challenges in biochemical and chemical catalysis of CO2 fixation. Chem. Rev. 2013, 113, 6621–6658. [Google Scholar] [CrossRef] [Green Version]
- Korkhin, Y.; Kalb, A.J.; Peretz, M.; Bogin, O.; Burstein, Y.; Frolow, F. NADP-dependent bacterial alcohol dehydrogenases: Crystal structure, cofactor-binding and cofactor specificity of the ADHs of Clostridium beijerinckii and Thermoanaerobacter brockii. J. Mol. Biol. 1998, 278, 967–981. [Google Scholar] [CrossRef]
- Saxena, J.; Tanner, R.S. Effect of trace metals on ethanol production from synthesis gas by the ethanologenic acetogen, Clostridium ragsdalei. J. Ind. Microbiol. Biotechnol. 2011, 38, 513–521. [Google Scholar] [CrossRef] [PubMed]
- Phillips, J.R.; Atiyeh, H.K.; Tanner, R.S.; Torres, J.R.; Saxena, J.; Wilkins, M.R.; Huhnke, R.L. Butanol and hexanol production in Clostridium carboxidivorans syngas fermentation: Medium development and culture techniques. Bioresour. Technol. 2015, 190, 114–121. [Google Scholar] [CrossRef] [PubMed]
- Abubackar, H.N.; Veiga, M.C.; Kennes, C. Carbon monoxide fermentation to ethanol by Clostridium autoethanogenum in a bioreactor with no accumulation of acetic acid. Bioresour. Technol. 2015, 186, 122–127. [Google Scholar] [CrossRef] [PubMed] [Green Version]
- Tanner, R.S.; Miller, L.M.; Yang, D. Clostridial rRNA Homology Group I. Int. J. Syst. Bacteriol. 1993, 43, 232–236. [Google Scholar] [CrossRef] [Green Version]
- Schuchmann, K.; Müller, V. Autotrophy at the thermodynamic limit of life: A model for energy conservation in acetogenic bacteria. Nat. Rev. Microbiol. 2014, 12, 809–821. [Google Scholar] [CrossRef]
- Köpke, M.; Mihalcea, C.; Liew, F.M.; Tizard, J.H.; Ali, M.S.; Conolly, J.J.; Al-Sinawi, B.; Simpson, S.D. 2,3-Butanediol production by acetogenic bacteria, an alternative route to chemical synthesis, using industrial waste gas. Appl. Environ. Microbiol. 2011, 77, 5467–5475. [Google Scholar] [CrossRef] [Green Version]
- Benevenuti, C.; Botelho, A.; Ribeiro, R.; Branco, M.; Pereira, A.; Vieira, A.C.; Ferreira, T.; Amaral, P. Experimental Design to Improve Cell Growth and Ethanol Production in Syngas Fermentation by Clostridium carboxidivorans. Catalysts 2020, 10, 59. [Google Scholar] [CrossRef] [Green Version]
- Gundogdu, T.K.; Deniz, I.; Caliskan, G.; Sahin, S.; Azbar, N. Experimental design methods for bioengineering applications. Crit. Rev. Biotechnol. 2014, 36, 368–388. [Google Scholar] [CrossRef]
- Najafpour, G.; Younesi, H. Ethanol and acetate synthesis from waste gas using batch culture of Clostridium ljungdahlii. Enzyme Microb. Technol. 2006, 38, 223–228. [Google Scholar] [CrossRef]
- Cotter, J.L.; Chinn, M.S.; Grunden, A.M. Influence of process parameters on growth of Clostridium ljungdahlii and Clostridium autoethanogenum on synthesis gas. Enzyme Microb. Technol. 2009, 44, 281–288. [Google Scholar] [CrossRef]
- Park, S.; Ahn, B.; Kim, Y.K. Growth enhancement of bioethanol-producing microbe Clostridium autoethanogenum by changing culture medium composition. Bioresour. Technol. Rep. 2019, 6, 237–240. [Google Scholar] [CrossRef]
- Aghbashlo, M.; Tabatabaei, M.; Hosseini, S.S.; Younesi, H.; Najafpour, G. Performance analysis of a continuous bioreactor for ethanol and acetate synthesis from syngas via Clostridium ljungdahlii using exergy concept. Clean Technol. Environ. Policy 2016, 18, 853–865. [Google Scholar] [CrossRef]
- Xie, B.T.; Liu, Z.Y.; Tian, L.; Li, F.L.; Chen, X.H. Physiological response of Clostridium ljungdahlii DSM 13528 of ethanol production under different fermentation conditions. Bioresour. Technol. 2015, 177, 302–307. [Google Scholar] [CrossRef]
- Gunay, B.; Azbar, N.; Keskin, T. The effect of corn syrup and whey on the conversion process of CO to ethanol using Clostridium ljungdahlii. Chemosphere 2020, 261, 127734. [Google Scholar] [CrossRef] [PubMed]
- Phukoetphim, N.; Salakkam, A.; Laopaiboon, P.; Laopaiboon, L. Kinetic models for batch ethanol production from sweet sorghum juice under normal and high gravity fermentations: Logistic and modified Gompertz models. J. Biotechnol. 2017, 243, 6975. [Google Scholar] [CrossRef] [PubMed]
- Har, C.L.; Hii, S.L.; Yong, C.K.; Siew, S.P. Statistical Screening of Factors Affecting Production of Fermentable Sugars from Sugarcane Bagasse under Solid-state Conditions. BioResources 2013, 8, 4546–4562. [Google Scholar] [CrossRef] [Green Version]
- Sun, X.; Atiyeh, H.K.; Zhang, H.; Tanner, R.S.; Huhnke, R.L. Enhanced ethanol production from syngas by Clostridium ragsdalei in continuous stirred tank reactor using medium with poultry litter biochar. Appl. Energy 2019, 236, 1269–1279. [Google Scholar] [CrossRef]
- Jack, J.; Lo, J.; Maness, P.C.; Ren, Z.J. Directing Clostridium ljungdahlii fermentation products via hydrogen to carbon monoxide ratio in syngas. Biomass Bioenergy 2019, 124, 95–101. [Google Scholar] [CrossRef]
- Daniell, J.; Köpke, M.; Simpson, S.D. Commercial Biomass Syngas Fermentation. Energies 2012, 5, 5372–5417. [Google Scholar] [CrossRef] [Green Version]
- Shen, S.; Gu, Y.; Chai, C.; Jiang, W.; Zhuang, Y.; Wang, Y. Enhanced alcohol titre and ratio in carbon monoxide-rich off-gas fermentation of Clostridium carboxidivorans through combination of trace metals optimization with variable-temperature cultivation. Bioresour. Technol. 2017, 239, 236–243. [Google Scholar] [CrossRef]
- Seravalli, J.; Xiao, Y.; Gu, W.; Cramer, S.P.; Antholine, W.E.; Krymov, V.; Gerfen, G.J.; Ragsdale, S.W. Evidence that NiNi acetyl-CoA synthase is active and that the CuNi enzyme is not. Biochemistry 2004, 43, 3944–3955. [Google Scholar] [CrossRef] [PubMed]
- Drennan, C.L.; Doukov, T.I.; Ragsdale, S.W. The metalloclusters of carbon monoxide dehydrogenase/acetyl-CoA synthase: A story in pictures. J. Biol. Inorg. Chem. 2004, 9, 511–515. [Google Scholar] [CrossRef]
- Naomichi, K.; Nagai, N.S. Effects of trace metal ions on the growth, homoacetogenesis and corrinoid production by Clostridium thermoaceticum. J. Ferment. Bioeng. 1991, 71, 181–185. [Google Scholar] [CrossRef]
- Hu, S.I.; Pezacka, E.; Wood, H.G. Acetate synthesis from carbon monoxide by Clostridium thermoaceticum: Purification of the corrinoid protein. J. Biol. Chem. 1984, 259, 8892–8897. [Google Scholar] [CrossRef]
- Bramlett, M.R.; Tan, X.; Lindahl, P.A. Inactivation of acetyl CoA synthase/carbon monoxide dehydrogenase by copper. J. Am. Chem. Soc. 2003, 125, 9316–9317. [Google Scholar] [CrossRef] [PubMed]
- Liu, C.L.; Mortenson, L.E. Formate dehydrogenase of Clostridium pasteurianum. J. Bacteriol. 1984, 159, 375–380. [Google Scholar] [CrossRef] [PubMed] [Green Version]
- Wagner, R.; Andreesen, J.R. Accumulation and incorporation of 185W-tungsten into proteins of Clostridium acidiurici and Clostridium cylindrosporum. Arch. Microbiol. 1987, 147, 295–299. [Google Scholar] [CrossRef]
- Yamamoto, I.; Saiki, T.; Liu, S.M.; Ljungdahl, L.G. Purification and properties of NADP-dependent formate dehydrogenase from Clostridium thermoaceticum, a tungsten-selenium-iron protein. J. Biol. Chem. 1983, 258, 1826–1832. [Google Scholar] [CrossRef]
- Chen, J.S. Alcohol dehydrogenase: Multiplicity and relatedness in the solvent-producing clostridia. FEMS Microbiol. Rev. 1995, 17, 263–273. [Google Scholar] [CrossRef]
- Scopes, R.K. An iron-activated alcohol dehydrogenase. FEBS Lett. 1983, 156, 303–306. [Google Scholar] [CrossRef] [Green Version]
- Drake, H.L.; Kusel, K.; Matthies, C. Acetogenic prokaryotes. The prokaryotes. In A Handbook on the Biology of Bacteria; Dworkin, M., Falkow, S., Rosenberg, E., Schleifer, K.H., Stackebrandt, E., Eds.; Springer: New York, NY, USA, 2006; Volume 2, pp. 354–420. [Google Scholar]
- Abubackar, H.N.; Veiga, M.C.; Kennes, C. Ethanol and acetic acid production from carbon monoxide in a clostridium strain in batch and continuous gas-fed bioreactors. Int. J. Environ. Res. Public Health 2015, 12, 1029–1043. [Google Scholar] [CrossRef] [PubMed] [Green Version]
- Li, D.; Meng, C.; Wu, G.; Xie, B.; Han, Y.; Guo, Y.; Song, C.; Gao, Z.; Huang, Z. Efects of zinc on the production of alcohol by Clostridium carboxidivorans P7 using model syngas. J. Ind. Microbiol. Biotechnol. 2018, 45, 61–69. [Google Scholar] [CrossRef] [PubMed]
Publisher’s Note: MDPI stays neutral with regard to jurisdictional claims in published maps and institutional affiliations. |
© 2021 by the authors. Licensee MDPI, Basel, Switzerland. This article is an open access article distributed under the terms and conditions of the Creative Commons Attribution (CC BY) license (https://creativecommons.org/licenses/by/4.0/).




