Sign in to use this feature.

Years

Between: -

Subjects

remove_circle_outline
remove_circle_outline
remove_circle_outline
remove_circle_outline
remove_circle_outline
remove_circle_outline

Journals

Article Types

Countries / Regions

Search Results (12)

Search Parameters:
Keywords = Clostridium ljungdahlii

Order results
Result details
Results per page
Select all
Export citation of selected articles as:
14 pages, 3828 KB  
Article
pH-Dependent Metabolic Regulation in Clostridium ljungdahlii During CO Fermentation
by Ze-Rong Liu, Zhi-Qiong Wen, Jing-Wen Wu, Hui-Peng Gao, Quan Zhang, Lan-Peng Li, Li-Cheng Liu, Qiang Li, Fu-Li Li and Zi-Yong Liu
Fermentation 2025, 11(3), 154; https://doi.org/10.3390/fermentation11030154 - 19 Mar 2025
Cited by 2 | Viewed by 1663
Abstract
Clostridium ljungdahlii is a model acetogenic bacterium utilized for ethanol production from syngas, with its growth and ethanol synthesis being profoundly influenced by fermentation pH. However, the mechanistic basis of this pH-dependent regulation remains poorly understood. In this study, we systematically investigated the [...] Read more.
Clostridium ljungdahlii is a model acetogenic bacterium utilized for ethanol production from syngas, with its growth and ethanol synthesis being profoundly influenced by fermentation pH. However, the mechanistic basis of this pH-dependent regulation remains poorly understood. In this study, we systematically investigated the impact of pH on the growth and metabolic profile of C. ljungdahlii under controlled pH conditions using CO as the sole carbon and energy source. At pH 6.0, C. ljungdahlii consumed around 6.0 M carbon monoxide, producing 413 ± 43 mM acetate, 288 ± 35 mM ethanol, and 17 ± 2 mM 2,3-butanediol, with a maximum optical density (OD) of 15.9. In contrast, at pH 5.3, the strain exhibited enhanced metabolic activity, consuming around 9.6 M carbon monoxide and generating 235 ± 24 mM acetate, 756 ± 26 mM ethanol, 38 ± 4 mM 2,3-butanediol, and 28 ± 7 mM lactate, achieving a maximum OD of 30. This represents an approximate twofold increase in both ethanol production and biomass accumulation compared to pH 6.0. Proteomic and parallel reaction monitoring (PRM) analyses demonstrated that the expression levels of key enzymes in central metabolic pathways were marginally higher at pH 6.0 than at pH 5.3, indicating that the observed physiological enhancements were not attributable to differential enzyme expression but likely stemmed from variations in ATP synthesis efficiency. Further optimization experiments revealed that the optimal pH for growth and ethanol production by C. ljungdahlii under CO-sufficient and nutrient-replete conditions is approximately 5.3. These findings provide critical insights into the pH-dependent metabolic regulation of C. ljungdahlii and establish essential parameters for scaling up syngas fermentation for ethanol production. Additionally, this study offers a foundation for further exploration of the unique proton motive force-driven ATP synthesis system in C. ljungdahlii and its broader implications for metabolic network regulation. Full article
(This article belongs to the Special Issue Biofuels Production and Processing Technology, 3rd Edition)
Show Figures

Figure 1

13 pages, 6956 KB  
Article
Clostridia as Promising Biofactory for Heterotrophic (Fructose) and Autotrophic (C1-Gas) Fermentation
by Marina Fernández-Delgado, Mónica Coca, Susana Lucas, María Teresa García-Cubero and Juan Carlos López-Linares
Fermentation 2024, 10(11), 572; https://doi.org/10.3390/fermentation10110572 - 8 Nov 2024
Cited by 2 | Viewed by 1713
Abstract
This study compared the performance of Clostridium ljungdahlii and Clostridium aceticum in the fermentation of fructose and C1-gasses (CO, CO2, N2) to produce valuable products such as ethanol and acetic acid. In heterotrophic fermentation (fructose), C. ljungdahlii yielded high [...] Read more.
This study compared the performance of Clostridium ljungdahlii and Clostridium aceticum in the fermentation of fructose and C1-gasses (CO, CO2, N2) to produce valuable products such as ethanol and acetic acid. In heterotrophic fermentation (fructose), C. ljungdahlii yielded high ethanol concentrations (350 mg/L) and acetic acid (500 mg/L), with optimal production at pH 8 on the first day of fermentation. Although autotrophic fermentation (C1-gasses) resulted in lower ethanol levels (200 mg/L), it remained a viable option. Conversely, C. aceticum predominantly produced acetic acid in both fermentation modes, with higher concentrations in the heterotrophic fermentation (1600 mg/L) than the autotrophic fermentation (380 mg/L). These findings demonstrate the versatility of both microorganisms for producing valuable metabolites. C. ljungdahlii shows promise for bioethanol production, while C. aceticum excels at generating acetic acid, a crucial component in bioplastics and various industrial processes. Full article
Show Figures

Figure 1

17 pages, 3682 KB  
Article
Characterizing Novel Acetogens for Production of C2–C6 Alcohols from Syngas
by Rahul Thunuguntla, Hasan K. Atiyeh, Raymond L. Huhnke and Ralph S. Tanner
Processes 2024, 12(1), 142; https://doi.org/10.3390/pr12010142 - 6 Jan 2024
Cited by 4 | Viewed by 3333
Abstract
Utilizing syngas components CO, CO2, and H2 to produce fatty acids and alcohols offers a sustainable approach for biofuels and chemicals, reducing the global carbon footprint. The development of robust strains, especially for higher alcohol titers in C4 and C6 compounds, [...] Read more.
Utilizing syngas components CO, CO2, and H2 to produce fatty acids and alcohols offers a sustainable approach for biofuels and chemicals, reducing the global carbon footprint. The development of robust strains, especially for higher alcohol titers in C4 and C6 compounds, and the creation of cost-effective media are crucial. This study compared syngas fermentation capabilities of three novel strains (Clostridium carboxidivorans P20, C. ljungdahlii P14, and C. muellerianum P21) with existing strains (C. ragsdalei P11 and C. carboxidivorans P7) in three medium formulations. Fermentations in 250-mL bottles were conducted at 37 °C using H2:CO2:CO (30:30:40) using P11, P7, and corn steep liquor (CSL) media. Results showed that P11 and CSL media facilitated higher cell mass, alcohol titer, and gas conversion compared to the P7 medium. Strains P7, P14, and P20 formed 1.4- to 4-fold more total alcohols in the CSL medium in comparison with the P7 medium. Further, strain P21 produced more butanol (0.9 g/L) and hexanol (0.7 g/L) in the medium with CSL, offering cost advantages over P7 and P11 media containing yeast extract. Enhancing strain activity and selectivity in converting syngas into C4 and C6 alcohols requires further development, medium formulation improvements, and characterization, particularly for the new strain P21. Full article
(This article belongs to the Special Issue Fermentation and Bioprocess Engineering Processes)
Show Figures

Graphical abstract

19 pages, 3176 KB  
Article
Pleiotropic Regulator GssR Positively Regulates Autotrophic Growth of Gas-Fermenting Clostridium ljungdahlii
by Huan Zhang, Can Zhang, Xiaoqun Nie, Yuwei Wu, Chen Yang, Weihong Jiang and Yang Gu
Microorganisms 2023, 11(8), 1968; https://doi.org/10.3390/microorganisms11081968 - 31 Jul 2023
Cited by 2 | Viewed by 2010
Abstract
Clostridium ljungdahlii is a representative autotrophic acetogen capable of producing multiple chemicals from one-carbon gases (CO2/CO). The metabolic and regulatory networks of this carbon-fixing bacterium are interesting, but still remain minimally explored. Here, based on bioinformatics analysis followed by functional screening, [...] Read more.
Clostridium ljungdahlii is a representative autotrophic acetogen capable of producing multiple chemicals from one-carbon gases (CO2/CO). The metabolic and regulatory networks of this carbon-fixing bacterium are interesting, but still remain minimally explored. Here, based on bioinformatics analysis followed by functional screening, we identified a RpiR family transcription factor (TF) that can regulate the autotrophic growth and carbon fixation of C. ljungdahlii. After deletion of the corresponding gene, the resulting mutant strain exhibited significantly impaired growth in gas fermentation, thus reducing the production of acetic acid and ethanol. In contrast, the overexpression of this TF gene could promote cell growth, indicating a positive regulatory effect of this TF in C. ljungdahlii. Thus, we named the TF as GssR (growth and solvent synthesis regulator). Through the following comparative transcriptomic analysis and biochemical verification, we discovered three important genes (encoding pyruvate carboxylase, carbon hunger protein CstA, and a BlaI family transcription factor) that were directly regulated by GssR. Furthermore, an upstream regulator, BirA, that could directly bind to gssR was found; thus, these two regulators may form a cascade regulation and jointly affect the physiology and metabolism of C. ljungdahlii. These findings substantively expand our understanding on the metabolic regulation of carbon fixation in gas-fermenting Clostridium species. Full article
(This article belongs to the Special Issue Physiology, Genetic and Industrial Applications of Clostridia)
Show Figures

Figure 1

14 pages, 4238 KB  
Article
Comparison of Syngas-Fermenting Clostridia in Stirred-Tank Bioreactors and the Effects of Varying Syngas Impurities
by Luis Oliveira, Anton Rückel, Lisa Nordgauer, Patric Schlumprecht, Elina Hutter and Dirk Weuster-Botz
Microorganisms 2022, 10(4), 681; https://doi.org/10.3390/microorganisms10040681 - 22 Mar 2022
Cited by 16 | Viewed by 3369
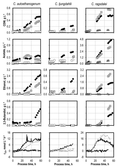
Abstract
In recent years, syngas fermentation has emerged as a promising means for the production of fuels and platform chemicals, with a variety of acetogens efficiently converting CO-rich gases to ethanol. However, the feasibility of syngas fermentation processes is related to the occurrence of [...] Read more.
In recent years, syngas fermentation has emerged as a promising means for the production of fuels and platform chemicals, with a variety of acetogens efficiently converting CO-rich gases to ethanol. However, the feasibility of syngas fermentation processes is related to the occurrence of syngas impurities such as NH3, H2S, and NOX. Therefore, the effects of defined additions of NH4+, H2S, and NO3 were studied in autotrophic batch processes with C. autoethanogenum, C. ljungdahlii, and C. ragsdalei while applying continuously gassed stirred-tank bioreactors. Any initial addition of ammonium and nitrate curbed the cell growth of the Clostridia being studied and reduced the final alcohol concentrations. C. ljungdahlii showed the highest tolerance to ammonium and nitrate, whereas C. ragsdalei was even positively influenced by the presence of 0.1 g L−1 H2S. Quantitative goals for the purification of syngas were identified for each of the acetogens studied in the used experimental setup. Syngas purification should in particular focus on the NOX impurities that caused the highest inhibiting effect and maintain the concentrations of NH3 and H2S within an acceptable range (e.g., NH3 < 4560 ppm and H2S < 108 ppm) in order to avoid inhibition through the accumulation of these impurities in the bioreactor. Full article
(This article belongs to the Section Microbial Biotechnology)
Show Figures

Graphical abstract

15 pages, 4972 KB  
Article
Effectively Converting Cane Molasses into 2,3-Butanediol Using Clostridiumljungdahlii by an Integrated Fermentation and Membrane Separation Process
by Yuling Yang, Tingting Deng, Weifeng Cao, Fei Shen, Sijia Liu, Jing Zhang, Xinquan Liang and Yinhua Wan
Molecules 2022, 27(3), 954; https://doi.org/10.3390/molecules27030954 - 30 Jan 2022
Cited by 10 | Viewed by 3673
Abstract
Firstly, 2,3-butanediol (2,3-BDO) is a chemical platform used in several applications. However, the pathogenic nature of its producers and the expensive feedstocks used limit its scale production. In this study, cane molasses was used for 2,3-BDO production by a nonpathogenic Clostridium ljungdahlii. [...] Read more.
Firstly, 2,3-butanediol (2,3-BDO) is a chemical platform used in several applications. However, the pathogenic nature of its producers and the expensive feedstocks used limit its scale production. In this study, cane molasses was used for 2,3-BDO production by a nonpathogenic Clostridium ljungdahlii. It was found that cane molasses alone, without the addition of other ingredients, was favorable for use as the culture medium for 2,3-BDO production. Compared with the control (i.e., the modified DSMZ 879 medium), the differential genes are mainly involved in the pathways of carbohydrate metabolism, membrane transport, and amino acid metabolism in the case of the cane molasses alone. However, when cane molasses alone was used, cell growth was significantly inhibited by KCl in cane molasses. Similarly, a high concentration of sugars (i.e., above 35 g/L) can inhibit cell growth and 2,3-BDO production. More seriously, 2,3-BDO production was inhibited by itself. As a result, cane molasses alone with an initial 35 g/L total sugars was suitable for 2,3-BDO production in batch culture. Finally, an integrated fermentation and membrane separation process was developed to maintain high 2,3-BDO productivity of 0.46 g·L−1·h−1. Meanwhile, the varied fouling mechanism indicated that the fermentation properties changed significantly, especially for the cell properties. Therefore, the integrated fermentation and membrane separation process was favorable for 2,3-BDO production by C. ljungdahlii using cane molasses. Full article
Show Figures

Graphical abstract

18 pages, 1940 KB  
Article
Screening of Gas Substrate and Medium Effects on 2,3-Butanediol Production with C. ljungdahlii and C. autoethanogenum Aided by Improved Autotrophic Cultivation Technique
by Luca Ricci, Valeria Agostino, Debora Fino and Angela Re
Fermentation 2021, 7(4), 264; https://doi.org/10.3390/fermentation7040264 - 13 Nov 2021
Cited by 13 | Viewed by 5660
Abstract
Gas fermentation by acetogens of the genus Clostridium is an attractive technology since it affords the production of biochemicals and biofuels from industrial waste gases while contributing to mitigate the carbon cycle alterations. The acetogenic model organisms C. ljungdahlii and C. autoethanogenum have [...] Read more.
Gas fermentation by acetogens of the genus Clostridium is an attractive technology since it affords the production of biochemicals and biofuels from industrial waste gases while contributing to mitigate the carbon cycle alterations. The acetogenic model organisms C. ljungdahlii and C. autoethanogenum have already been used in large scale industrial fermentations. Among the natural products, ethanol production has already attained industrial scale. However, some acetogens are also natural producers of 2,3-butanediol (2,3-BDO), a platform chemical of relevant industrial interest. Here, we have developed a lab-scale screening campaign with the aim of enhancing 2,3-BDO production. Our study generated comparable data on growth and 2,3-BDO production of several batch gas fermentations using C. ljungdahlii and C. autoethanogenum grown on different gas substrates of primary applicative interest (CO2 · H2, CO · CO2, syngas) and on different media featuring different compositions as regards trace metals, mineral elements and vitamins. CO · CO2 fermentation was found to be preferable for the production of 2,3-BDO, and a fair comparison of the strains cultivated in comparable conditions revealed that C. ljungdahlii produced 3.43-fold higher titer of 2,3-BDO compared to C. autoethanogenum. Screening of different medium compositions revealed that mineral elements, Zinc and Iron exert a major positive influence on 2,3-BDO titer and productivity. Moreover, the CO2 influence on CO fermentation was explored by characterizing C. ljungdahlii response with respect to different gas ratios in the CO · CO2 gas mixtures. The screening strategies undertaken in this study led to the production of 2.03 ± 0.05 g/L of 2,3-BDO, which is unprecedented in serum bottle experiments. Full article
(This article belongs to the Section Microbial Metabolism, Physiology & Genetics)
Show Figures

Figure 1

15 pages, 2219 KB  
Article
Design of Low-Cost Ethanol Production Medium from Syngas: An Optimization of Trace Metals for Clostridium ljungdahlii
by Simge Sertkaya, Nuri Azbar, Haris Nalakath Abubackar and Tugba Keskin Gundogdu
Energies 2021, 14(21), 6981; https://doi.org/10.3390/en14216981 - 25 Oct 2021
Cited by 13 | Viewed by 4031
Abstract
Syngas fermentation via the Wood-Ljungdahl (WL) pathway is a promising approach for converting gaseous pollutants (CO and CO2) into high-value commodities. Because the WL involves several enzymes with trace metal components, it requires an adequate supply of micronutrients in the fermentation [...] Read more.
Syngas fermentation via the Wood-Ljungdahl (WL) pathway is a promising approach for converting gaseous pollutants (CO and CO2) into high-value commodities. Because the WL involves several enzymes with trace metal components, it requires an adequate supply of micronutrients in the fermentation medium for targeted bioprocessing such as bioethanol production. Plackett-Burman statistical analysis was performed to examine the most efficient trace elements (Ni, Mg, Ca, Mn, Co, Cu, B, W, Zn, Fe, and Mo) and their concentrations for Clostridium ljungdahlii on ethanol production. Overall, 1.5 to 2.5 fold improvement in ethanol production could be achieved with designed trace element concentrations. The effects of tungsten and copper on ethanol and biomass production were determined to be the most significant, respectively. The model developed was statistically significant and has the potential to significantly decrease the cost of trace element solutions by 18–22%. This research demonstrates the critical importance of optimizing the medium for syngas fermentation in terms of product distribution and economic feasibility. Full article
(This article belongs to the Special Issue Environmental Aspects and Impacts of Hydrogen Technologies)
Show Figures

Figure 1

27 pages, 5001 KB  
Article
Side-by-Side Comparison of Clean and Biomass-Derived, Impurity-Containing Syngas as Substrate for Acetogenic Fermentation with Clostridium ljungdahlii
by Alba Infantes, Michaela Kugel, Klaus Raffelt and Anke Neumann
Fermentation 2020, 6(3), 84; https://doi.org/10.3390/fermentation6030084 - 19 Aug 2020
Cited by 27 | Viewed by 4153
Abstract
Syngas, the product of biomass gasification, can play an important role in moving towards the production of renewable chemical commodities, by using acetogenic bacteria to ferment those gaseous mixtures. Due to the complex and changing nature of biomass, the composition and the impurities [...] Read more.
Syngas, the product of biomass gasification, can play an important role in moving towards the production of renewable chemical commodities, by using acetogenic bacteria to ferment those gaseous mixtures. Due to the complex and changing nature of biomass, the composition and the impurities present in the final biomass-derived syngas will vary. Because of this, it is important to assess the impact of these factors on the fermentation outcome, in terms of yields, productivity, and product formation and ratio. In this study, Clostridium ljungdahlii was used in a fed-batch fermentation system to analyze the effect of three different biomass-derived syngases, and to compare them to equivalent, clean syngas mixtures. Additionally, four other clean syngas mixtures were used, and the effects on product ratio, productivity, yield, and growth were documented. All biomass-derived syngases were suitable to be used as substrates, without experiencing any complete inhibitory effects. From the obtained results, it is clear that the type of syngas, biomass-derived or clean, had the greatest impact on product formation ratios, with all biomass-derived syngases producing more ethanol, albeit with lesser total productivity. Full article
Show Figures

Figure 1

21 pages, 3135 KB  
Article
Evaluation of Media Components and Process Parameters in a Sensitive and Robust Fed-Batch Syngas Fermentation System with Clostridium ljungdahlii
by Alba Infantes, Michaela Kugel and Anke Neumann
Fermentation 2020, 6(2), 61; https://doi.org/10.3390/fermentation6020061 - 18 Jun 2020
Cited by 24 | Viewed by 5409
Abstract
The fermentation of synthesis gas, or syngas, by acetogenic bacteria can help in transitioning from a fossil-fuel-based to a renewable bioeconomy. The main fermentation products of Clostridium ljungdahlii, one of such microorganisms, are acetate and ethanol. A sensitive, robust and reproducible system [...] Read more.
The fermentation of synthesis gas, or syngas, by acetogenic bacteria can help in transitioning from a fossil-fuel-based to a renewable bioeconomy. The main fermentation products of Clostridium ljungdahlii, one of such microorganisms, are acetate and ethanol. A sensitive, robust and reproducible system was established for C. ljungdahlii syngas fermentation, and several process parameters and medium components (pH, gas flow, cysteine and yeast extract) were investigated to assess its impact on the fermentation outcomes, as well as real time gas consumption. Moreover, a closed carbon balance could be achieved with the data obtained. This system is a valuable tool to detect changes in the behavior of the culture. It can be applied for the screening of strains, gas compositions or media components, for a better understanding of the physiology and metabolic regulation of acetogenic bacteria. Here, it was shown that neither yeast extract nor cysteine was a limiting factor for cell growth since their supplementation did not have a noticeable impact on product formation or overall gas consumption. By combining the lowering of both the pH and the gas flow after 24 h, the highest ethanol to acetate ratio was achieved, but with the caveat of lower productivity. Full article
Show Figures

Figure 1

37 pages, 2417 KB  
Review
Clostridium sp. as Bio-Catalyst for Fuels and Chemicals Production in a Biorefinery Context
by Vanessa Liberato, Carolina Benevenuti, Fabiana Coelho, Alanna Botelho, Priscilla Amaral, Nei Pereira and Tatiana Ferreira
Catalysts 2019, 9(11), 962; https://doi.org/10.3390/catal9110962 - 15 Nov 2019
Cited by 70 | Viewed by 13488
Abstract
Clostridium sp. is a genus of anaerobic bacteria capable of metabolizing several substrates (monoglycerides, diglycerides, glycerol, carbon monoxide, cellulose, and more), into valuable products. Biofuels, such as ethanol and butanol, and several chemicals, such as acetone, 1,3-propanediol, and butyric acid, can be produced [...] Read more.
Clostridium sp. is a genus of anaerobic bacteria capable of metabolizing several substrates (monoglycerides, diglycerides, glycerol, carbon monoxide, cellulose, and more), into valuable products. Biofuels, such as ethanol and butanol, and several chemicals, such as acetone, 1,3-propanediol, and butyric acid, can be produced by these organisms through fermentation processes. Among the most well-known species, Clostridium carboxidivorans, C. ragsdalei, and C. ljungdahlii can be highlighted for their ability to use gaseous feedstocks (as syngas), obtained from the gasification or pyrolysis of waste material, to produce ethanol and butanol. C. beijerinckii is an important species for the production of isopropanol and butanol, with the advantage of using hydrolysate lignocellulosic material, which is produced in large amounts by first-generation ethanol industries. High yields of 1,3 propanediol by C. butyricum are reported with the use of another by-product from fuel industries, glycerol. In this context, several Clostridium wild species are good candidates to be used as biocatalysts in biochemical or hybrid processes. In this review, literature data showing the technical viability of these processes are presented, evidencing the opportunity to investigate them in a biorefinery context. Full article
(This article belongs to the Special Issue Catalytic Biomass to Renewable Biofuels and Biomaterials)
Show Figures

Figure 1

14 pages, 444 KB  
Article
A Two-Stage Continuous Fermentation System for Conversion of Syngas into Ethanol
by Hanno Richter, Michael E. Martin and Largus T. Angenent
Energies 2013, 6(8), 3987-4000; https://doi.org/10.3390/en6083987 - 7 Aug 2013
Cited by 149 | Viewed by 15778
Abstract
We have established a two-stage continuous fermentation process for production of ethanol from synthesis gas (syngas) with Clostridium ljungdahlii. The system consists of a 1-L continuously stirred tank reactor as a growth stage and a 4-L bubble column equipped with a cell [...] Read more.
We have established a two-stage continuous fermentation process for production of ethanol from synthesis gas (syngas) with Clostridium ljungdahlii. The system consists of a 1-L continuously stirred tank reactor as a growth stage and a 4-L bubble column equipped with a cell recycle module as an ethanol production stage. Operating conditions in both stages were optimized for the respective purpose (growth in stage one and alcohol formation in stage two). The system was fed with an artificial syngas mixture, mimicking the composition of syngas derived from lignocellulosic biomass (60% CO, 35% H2, and 5% CO2). Gas recycling was used to increase the contact area and retention time of gas in the liquid phase, improving mass transfer and metabolic rates. In stage two, the biocatalyst was maintained at high cell densities of up to 10 g DW/L. Ethanol was continuously produced at concentrations of up to 450 mM (2.1%) and ethanol production rates of up to 0.37 g/(L·h). Foam control was essential to maintain reactor stability. A stoichiometric evaluation of the optimized process revealed that the recovery of carbon and hydrogen from the provided carbon monoxide and hydrogen in the produced ethanol was 28% and 74%, respectively. Full article
(This article belongs to the Special Issue Biomass and Biofuels 2013)
Show Figures

Figure 1

Back to TopTop