Fundamentals of the Thermal Analysis of Complex Arrangements of Underground Heat Sources
Abstract
:1. Introduction
2. Basic Principles
2.1. Steady-State Temperatures
- r—distance between a point source (with losses W) and the considered point,
- λ—thermal conductivity of the soil, and
- c—constant.
2.2. Transient Temperatures
3. Some Basic Examples
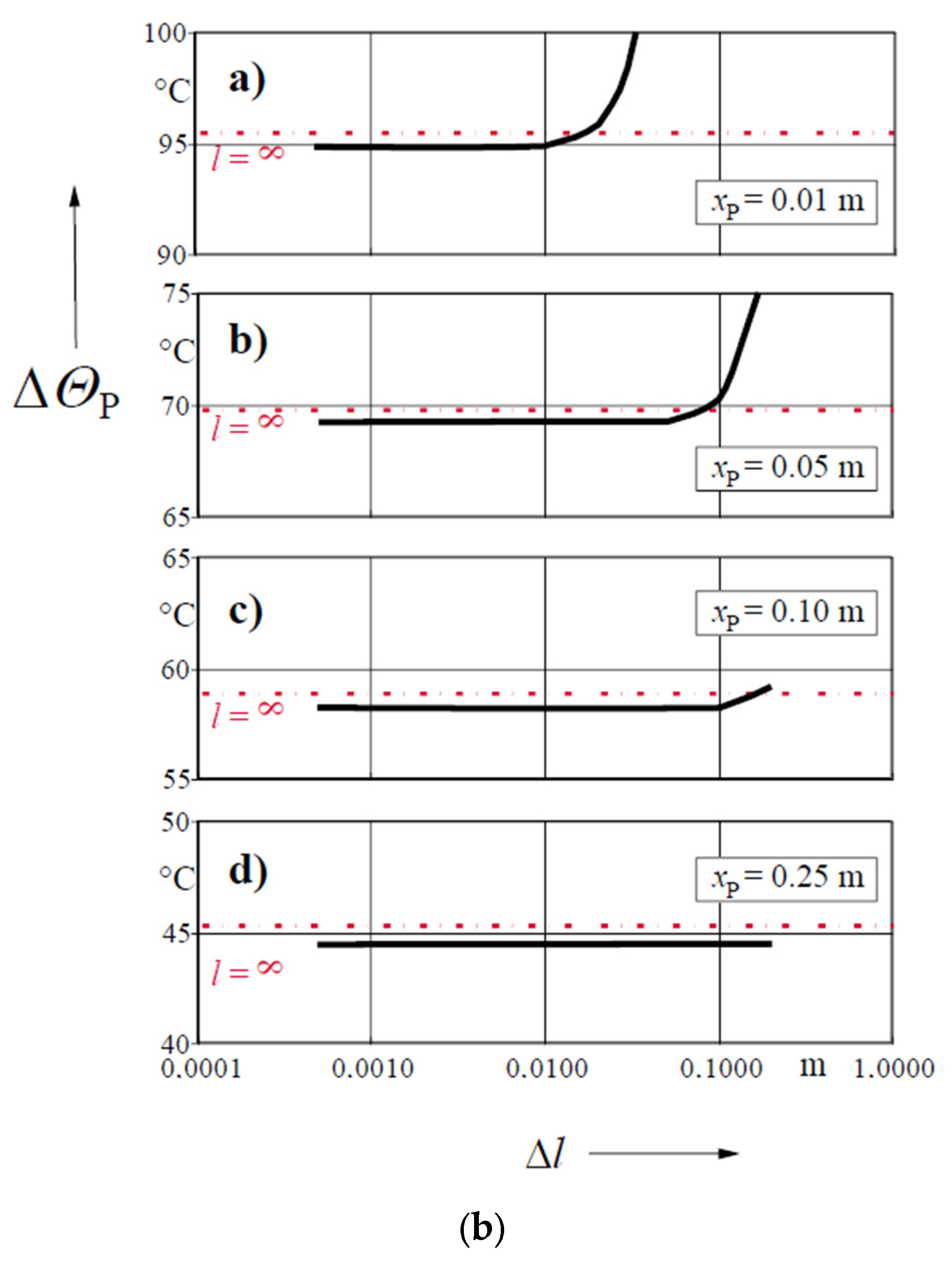
3.1. Line Source with Locally Varying Losses
3.2. Line Source with a 90° Bend
4. Temperature and Rating Analysis of a Complicated Cable Route
4.1. Steady State, without Longitudinal Heat Fluxes
- = temperature rise of conductor section is because of the dielectric losses of cable, (K)
- T1, T2, T3 = thermal resistance of the insulation, armor bedding and the jacket, respectively, (K.m/W).
- λ1, λ2 = sheath and armor loss factors, respectively
- = total losses of section js in cable j, (W).
- δi,j is the Kronecker-symbol with δi,j = 1 for i = j and δi,j = 0 otherwise.
- is the thermal resistance between section js of cable j and section is of cable, (K·m/W). Following (3), with Ns,j sectors (i.e., point sources) of the influencing cable j, we have:where the radii r+ and r-- are the distances between the considered section is and the influencing point source js (and its image source, respectively).
4.2. Steady State, with Consideration of the Longitudinal Heat Fluxes
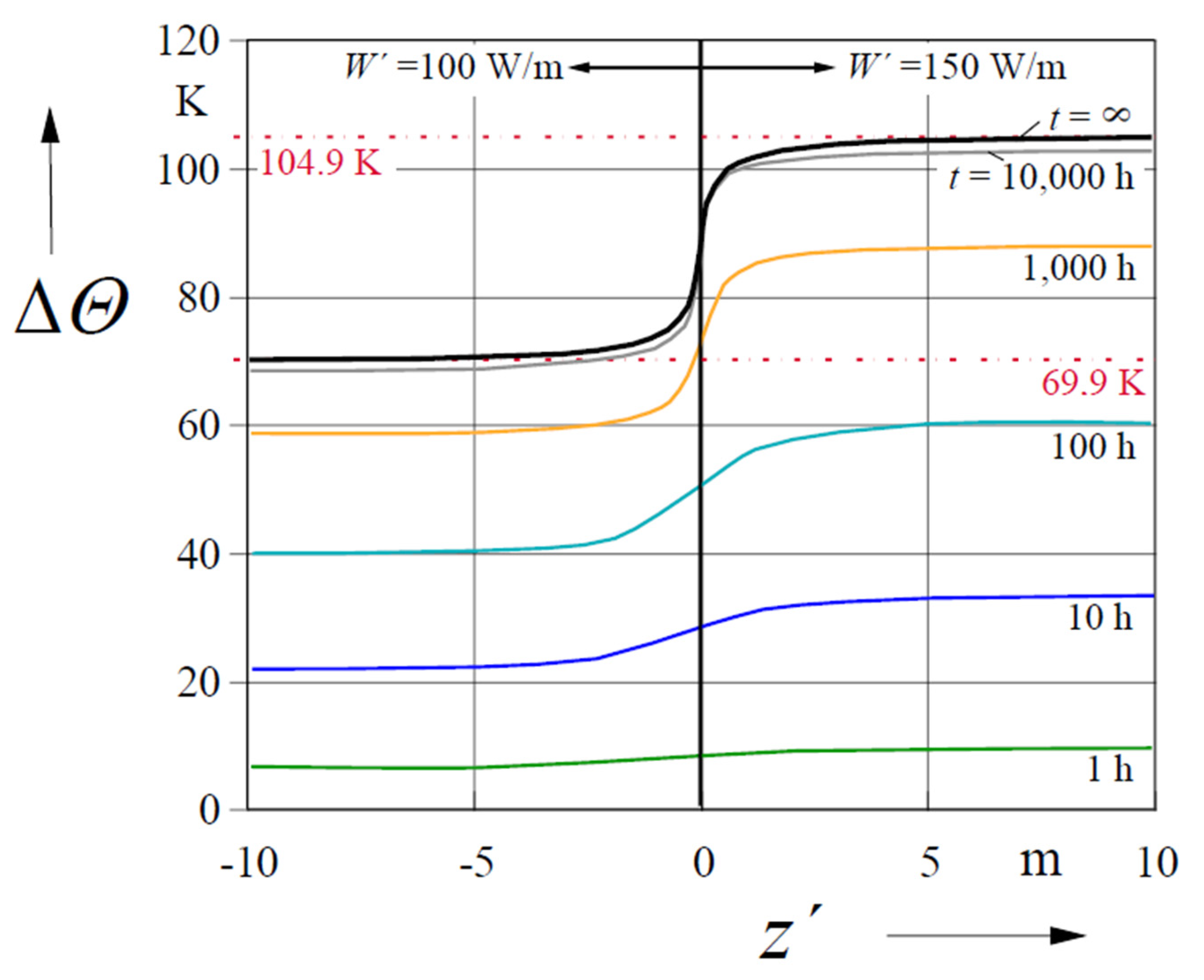
4.3. Transient Behaviour (without Longitudinal Heat Fluxes)
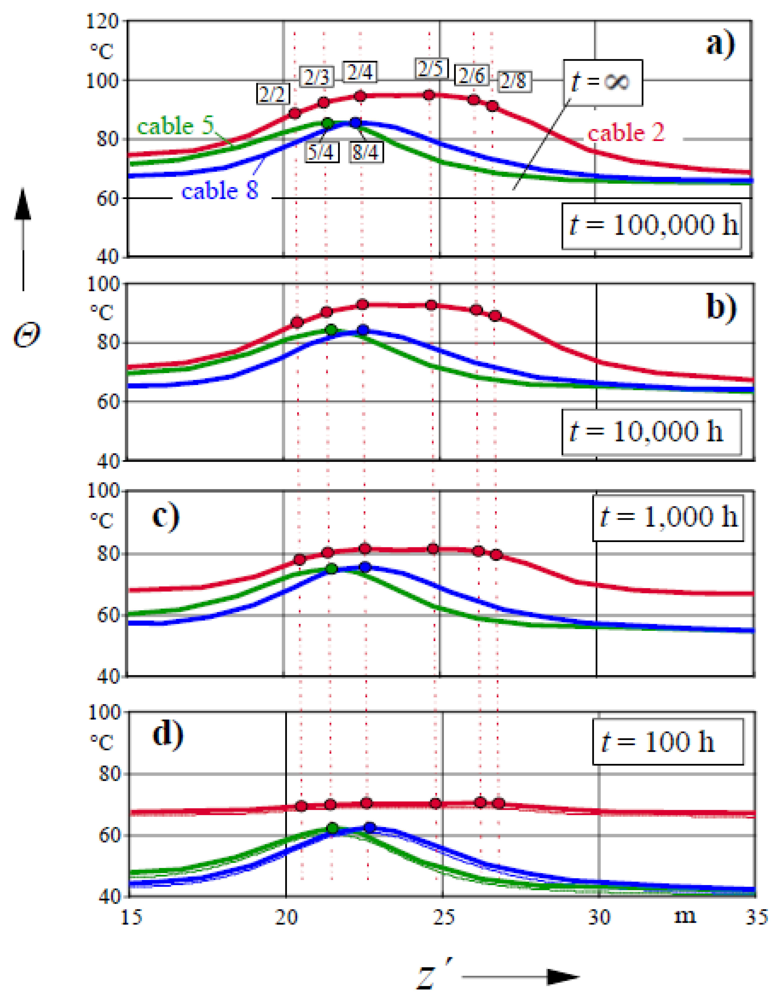
4.4. Transient Behaviour with Consideration of the Longitudinal Heat Fluxes
5. Conclusions
- The most simple geometric definition is achieved by using equidistant points along the cable axis.
- This method is much easier to handle compared with the finite line sources with their special systems of coordinates.
- It provides a very simple formulae for expressing temperature rises, relating only to the distance r between the considered point and the point source.
- It enables the consideration of varying temperatures along the cable conductor.
- It enables the analysis of transient conductor temperatures even for complicated, nonlinear cable runs.
- It enables the analysis of transient cable temperatures, taking into account the longitudinal heat fluxes, even for very complicated, nonlinear cable runs.
Author Contributions
Funding
Institutional Review Board Statement
Informed Consent Statement
Data Availability Statement
Conflicts of Interest
References
- IEC 60287-1-1. Electric Cables–Calculation of the current rating-art 1-1: Current rating equations (100% load factor) and calculation of losses–General, IEC, (2014–2011).
- IEC 60287-2-1. Electric Cables–Calculation of the current RC. Kemp et al. Sirolex: A finite element computer program for the thermal analysis, design and monitoring of underground and aerial high and medium voltage insulated cable systems, -part 2-1: Thermal resistances (calculation of thermal resistances, IEC, (2015-1).
- IEC 60853-2. Calculation of cyclic and emergency rating of cables. Part 2–Cyclic rating of cables greater than 18/30 (36) kV and emergency ratings for cables of all voltages, (1989-07).
- Anders, G.J. Rating of Electric Power Cables–Ampacity Calculations for Transmission, Distribution and Industrial Installations; Institute of Electrical and Electronics Engineers: New York, NY, USA, 1997. [Google Scholar]
- Bremnes, J.J.; Evenset, G.; Stolan, R. Power. Loss and inductance of steel armoured multi-core cables: Comparison of IEC values with “2.5D” FEA results and measurements. [report B1-116, Cigre Paris Session, 2010].
- Sturm, S.; Paulus, J.; Berger, F.; Abken, K.-L. 3D-FEM modelling of losses in armoured submarine power cables and comparison with measurements. [report B1-215, CIGRE 2020].
- Pilgrim, J.; Catmuli, S.; Chippendale, R.; Levin, L.; Stratford, P.; Tyreman, R. Current Rating Optimisation for Offshore Wind Farm Export Cables. [report B1-108, CIGRE 2014].
- Huang, Z.; Lewin, L.; Swingler, S. Rating of HVDC Submarine Cable Crossings, report A6.2. In Proceedings of the Jicable 9th International Conference on Insulated Power Cables, Versailles, France, 21–24 June 2015. [Google Scholar]
- You, L.; Wang, J.; Liu, G.; Ma, H.; Zheng, M. Thermal Rating of Offshore Wind Farm Cables Installed in Ventilated J-Tubes. Energies 2018, 11, 545. [Google Scholar] [CrossRef] [Green Version]
- Fu, C.-Z.; Si, W.-R.; Quan, L.; Yang, J. Numerical Study of Convection and Radiation Heat Transfer in Pipe Cable. Math. Probl. Eng. 2018, 2018, 1–12. [Google Scholar] [CrossRef] [Green Version]
- Chippendale, R.; Cangy, P.; Pilgrim, J. Thermal Rating of J tubes using Finite Element Analysis Techniques, report B5.4. In Proceedings of the Jicable 9th International Conference on Insulated Power Cables, Versailles, France, 21–24 June 2015. [Google Scholar]
- Brakelmann, H. Erweitertes Verfahren zur Berechnung der Belastbarkeit kompliziert aufgebauter Kabeltrassen. In Extended Calculation Method for Current Ratings of Complicated Cable Routes; University of Duisburg-Essen: Duisburg, Germany, 1986; pp. 894–898. [Google Scholar]
- Anders, G.J.; Brakelmann, H. Cable crossings-derating considerations. I. Derivation of derating equations. IEEE Trans. Power Deliv. 1999, 14, 709–714. [Google Scholar] [CrossRef]
- Anders, G.J.; Brakelmann, H. Cable crossings-derating considerations. II. Example of derivation of derating curves. IEEE Trans. Power Deliv. 1999, 14, 715–720. [Google Scholar] [CrossRef]
- Anders, G.J.; Dorison, E. Derating Factor for Cable Crossings with Consideration of Longitudinal Heat Flow in Cable Screen. IEEE Trans. Power Deliv. 2004, 19, 926–932. [Google Scholar] [CrossRef]
- Brakelmann, H.; Anders, G.J. A new method for analyzing complex cable arrangements. IEEE Trans. Power Deliv. 2021. [Google Scholar] [CrossRef]
- Carslaw, H.S.; Jaeger, J.C. Conduction of Heat in Solids; Oxford Science Publications: Oxford, UK, 1946. [Google Scholar]
- Abramowitz, M.; Stegun, I.A.; Irene, A. Handbook of mathematical functions. In National Bureau of Standards Applied Mathematics Series-55, 10th ed.; National Bureau of Standards: Washington, DC, USA, 1972. [Google Scholar]
- Brakelmann, H.; Anders, G.J. Transient Thermal Response of Power Cables with Temperature Dependent Losses. IEEE Trans. Power Deliv. 2021, 2777–2784. [Google Scholar] [CrossRef]

















| Point | x | y | z | z′ | Explanation |
|---|---|---|---|---|---|
| m | m | m | m | ||
| cable 2 | |||||
| 2/1 | 1.00 | 2.00 | 18.00 | 18.00 | beginning of bend 1 |
| 2/2 | 1.80 | 2.00 | 20.20 | 20.40 | crossing point with cable 4 |
| 2/3 | 2.70 | 2.00 | 20.70 | 21.35 | crossing point with cable 5 |
| 2/4 | 3.70 | 2.00 | 21.00 | 22.50 | crossing point with cable 6 |
| 2/5 | 6.02 | 2.00 | 21.00 | 24.72 | crossing point with cable 7 |
| 2/6 | 7.41 | 2.00 | 21.00 | 26.14 | crossing point with cable 8 |
| 2/7 | 8.02 | 2.00 | 21.00 | 26.70 | beginning of bend 2 |
| 2/8 | 8.70 | 2.00 | 21.10 | 26.72 | crossing point with cable 9 |
| 2/9 | 11.00 | 2.00 | 24.00 | 31.40 | end of bend 2 |
| cable 5 | |||||
| 5/1 | 5.59 | 2.00 | 13.00 | 13.00 | beginning of cable rising (L = 2.0 m) |
| 5/2 | 5.59 | 1.40 | 15.00 | 15.00 | end of cable rising (L = 1.4 m) |
| 5/3 | 5.59 | 1.40 | 16.59 | 16.70 | beginning of the bend |
| 5/4 | 2.70 | 1.40 | 20.70 | 21.90 | crossing point with cable 2 |
| cable 8 | |||||
| 8/1 | 10.59 | 2.00 | 13.00 | 13.00 | beginning of cable rising (L = 2.0 m) |
| 8/2 | 10.59 | 1.40 | 15.00 | 15.00 | end of cable rising (L = 1.4 m) |
| 8/3 | 10.59 | 1.40 | 16.59 | 16.70 | beginning of the bend |
| 8/4 | 7.41 | 1.40 | 21.00 | 22.30 | crossing point with cable 2 |
Publisher’s Note: MDPI stays neutral with regard to jurisdictional claims in published maps and institutional affiliations. |
© 2021 by the authors. Licensee MDPI, Basel, Switzerland. This article is an open access article distributed under the terms and conditions of the Creative Commons Attribution (CC BY) license (https://creativecommons.org/licenses/by/4.0/).
Share and Cite
Brakelmann, H.; Anders, G.J.; Zajac, P. Fundamentals of the Thermal Analysis of Complex Arrangements of Underground Heat Sources. Energies 2021, 14, 6813. https://doi.org/10.3390/en14206813
Brakelmann H, Anders GJ, Zajac P. Fundamentals of the Thermal Analysis of Complex Arrangements of Underground Heat Sources. Energies. 2021; 14(20):6813. https://doi.org/10.3390/en14206813
Chicago/Turabian StyleBrakelmann, Heiner, George J. Anders, and Piotr Zajac. 2021. "Fundamentals of the Thermal Analysis of Complex Arrangements of Underground Heat Sources" Energies 14, no. 20: 6813. https://doi.org/10.3390/en14206813
APA StyleBrakelmann, H., Anders, G. J., & Zajac, P. (2021). Fundamentals of the Thermal Analysis of Complex Arrangements of Underground Heat Sources. Energies, 14(20), 6813. https://doi.org/10.3390/en14206813

