Bidirectional Power Sharing for DC Microgrid Enabled by Dual Active Bridge DC-DC Converter
Abstract
1. Introduction
- This study proposes a power management control strategy for PV and BESS systems with seamless mode transitions in order to ensure the power balance of a dc microgrid in stand-alone operation.
- In order to enhance the robustness of the dc-bus voltage, this work introduces an outstanding contribution for designing hybrid control structures when nonlinear systems are transformed into linear systems in order to overcome external disturbances, system uncertainties, and measurement noises. The proposed control scheme is based on the combination of Feedback Linearization Control (FLC) approach and robust parametric control approach.
- This study introduces a comprehensive point-of-view about the use of DAB converter in dc systems. In addition, an explanation to control the power flow in DAB dc-dc converter under SPS modulation scheme and the proposed power management control is also introduced.
2. Description of the DC Microgrid
2.1. DC Microgrid Topology Motivation
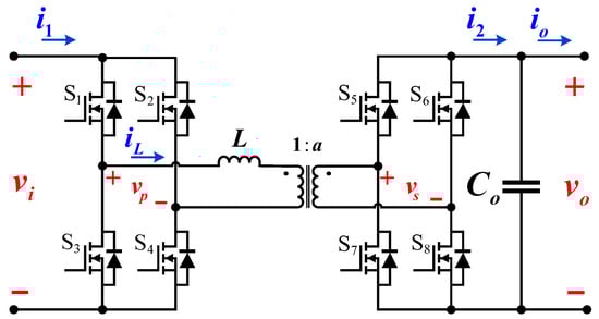
2.2. Description of DC Microgrid Elements
3. Operation and Control of DC Microgrid in Stand-Alone Operation
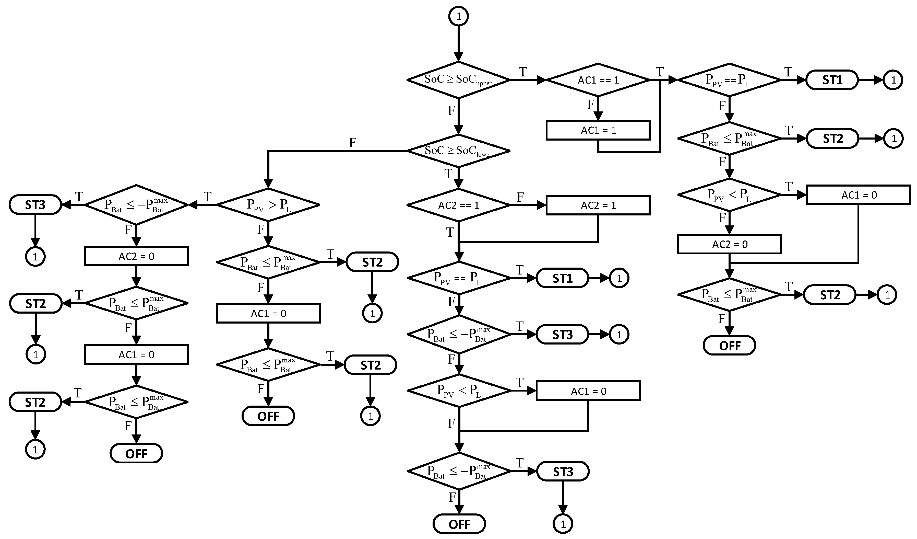
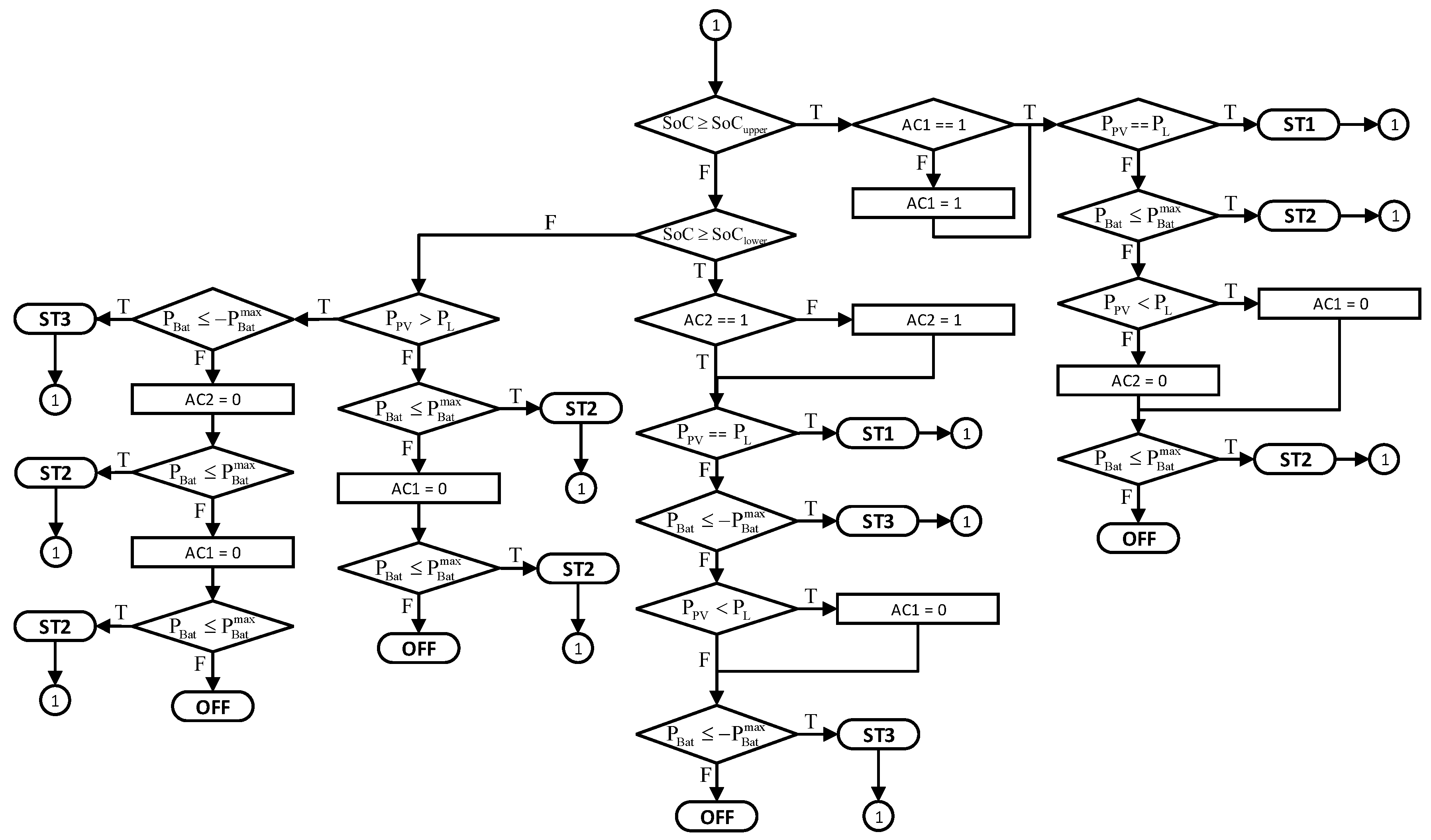
3.1. Power Management Algorithm
3.2. Battery Discharging Mode Control
3.2.1. CPL Linearization
3.2.2. Feedback Linearization Control
3.2.3. Robust Control Design
3.3. Battery Charging Mode Control
4. Description of Case Studies
4.1. Case Study I: Disconnection of the Generation Source
4.2. Case Study II: Disconnection of the Non-Critical Load
4.3. Case Study III: DC Bus Voltage Regulation Capability
5. Assessment of Results
5.1. Case Study I: Disconnection of the Generation Source
5.2. Case Study II: Disconnection of the Non-Critical Load
5.3. Case Study III: DC Bus Voltage Regulation Capability
6. Conclusions
Author Contributions
Funding
Conflicts of Interest
References
- Da Silva, R.L.; Borges, V.L.F.; Possamai, C.E.; Barbi, I. Solid-State Transformer for Power Distribution Grid Based on a Hybrid Switched-Capacitor LLC-SRC Converter: Analysis, Design and Experimentation. IEEE Access 2020, 8, 141182–141207. [Google Scholar] [CrossRef]
- Shi, Y.; Li, R.; Xue, Y.; Li, H. Optimized Operation of Current-Fed Dual Active Bridge DC–DC Converter for PV Applications. IEEE Trans. Ind. Electron. 2015, 62, 6986–6995. [Google Scholar] [CrossRef]
- Blinov, A.; Kosenko, R.; Vinnikov, D.; Parsa, L. Bidirectional Isolated Current Source DAB Converter with Extended ZVS/ZCS Range and Reduced Energy Circulation for Storage Applications. IEEE Trans. Ind. Electron. 2019, 67, 10552–10563. [Google Scholar] [CrossRef]
- She, X.; Yu, X.; Wang, F.; Huang, A.Q. Design and Demonstration of a 3.6-kV–120-V/10-kVA Solid-State Transformer for Smart Grid Application. IEEE Trans. Power Electron. 2014, 29, 3982–3996. [Google Scholar] [CrossRef]
- Iyer, V.M.; Gulur, S.; Bhattacharya, S. Small-Signal Stability Assessment and Active Stabilization of a Bidirectional Battery Charger. IEEE Trans. Ind. Appl. 2019, 55, 563–574. [Google Scholar] [CrossRef]
- Yu, X.; She, X.; Zhou, X.; Huang, A.Q. Power Management for DC Microgrid Enabled by Solid-State Transformer. IEEE Trans. Smart Grid 2014, 5, 954–965. [Google Scholar] [CrossRef]
- Lucas, K.E.; Pagano, D.J.; Vaca-Benavides, D.A.; García-Arcos, R.; Rocha, E.M.; Medeiros, R.L.; Ríos, S.J. Robust Control of Interconnected Power Electronic Converters to Enhance Performance in dc distribution systems: A case of study. IEEE Trans. Power Electron. 2020, 36, 4851–4863. [Google Scholar] [CrossRef]
- Tahim, A.P.N.; Pagano, D.J.; Lenz, E.; Stramosk, V. Modeling and Stability Analysis of Islanded DC Microgrids Under Droop Control. IEEE Trans. Power Electron. 2015, 30, 4597–4607. [Google Scholar] [CrossRef]
- Lucas-Marcillo, K.E.; Plaza Guingla, D.A.; Barra, W.; De Medeiros, R.L.P.; Rocha, E.M.; Vaca-Benavides, D.A.; Orellana, S.J.R.; Muentes, E.V.H. Novel Robust Methodology for Controller Design Aiming to Ensure DC Microgrid Stability Under CPL Power Variation. IEEE Access 2019, 7, 64206–64222. [Google Scholar] [CrossRef]
- Shivam; Dahiya, R. Stability analysis of islanded DC microgrid for the proposed distributed control strategy with constant power loads. Comput. Electr. Eng. 2018, 70, 151–162. [Google Scholar] [CrossRef]
- Morstyn, T.; Hredzak, B.; Agelidis, V.G. Cooperative multi-agent control of heterogeneous storage devices distributed in a dc microgrid. IEEE Trans. Power Syst. 2016, 31, 2974–2986. [Google Scholar] [CrossRef]
- Elsayed, A.T.; Mohamed, A.A.; Mohamed, O.A. DC microgrids and distribution systems: An overview. Electr. Power Syst. Res. 2014, 119, 407–417. [Google Scholar] [CrossRef]
- Dragičević, T.; Lu, X.; Vasquez, J.C.; Guerrero, J.M. DC Microgrids-Part I: A Review of Control Strategies and Stabilization Techniques. IEEE Trans. Power Electron. 2016, 31, 4876–4891. [Google Scholar] [CrossRef]
- Dragičević, T.; Lu, X.; Vasquez, J.C. DC Microgrids-Part II: A Review of Power Architectures, Applications, and Standardization Issues. IEEE Trans. Power Electron. 2016, 31, 3528–3549. [Google Scholar] [CrossRef]
- Doncker, R.W.A.A.; Divan, D.M.; Kheraluwala, M.H. A three-phase soft-switched high-power-density DC/DC converter for high-power applications. IEEE Trans. Ind. Appl. 1991, 27, 63–73. [Google Scholar] [CrossRef]
- Zhao, B.; Song, Q.; Liu, W.; Sun, Y. Overview of Dual-Active-Bridge Isolated Bidirectional DC-DC Converter for High-Frequency-Link Power-Conversion System. IEEE Trans. Power Electron. 2014, 29, 4091–4106. [Google Scholar] [CrossRef]
- Oggier, G.G.; GarcÍa, G.O.; Oliva, A.R. Switching Control Strategy to Minimize Dual Active Bridge Converter Losses. IEEE Trans. Power Electron. 2009, 24, 1826–1838. [Google Scholar] [CrossRef]
- Bai, H.; Mi, C. Eliminate Reactive Power and Increase System Efficiency of Isolated Bidirectional Dual-Active-Bridge DC–DC Converters Using Novel Dual-Phase-Shift Control. IEEE Trans. Power Electron. 2008, 23, 2905–2914. [Google Scholar] [CrossRef]
- Krismer, F.; Kolar, J.W. Closed Form Solution for Minimum Conduction Loss Modulation of DAB Converters. IEEE Trans. Power Electron. 2012, 27, 174–188. [Google Scholar] [CrossRef]
- Fraytag, J.; Kirsten, A.L.; Heldwein, M.L. Impact analysis of a multi-variables modulation on the transformer of the dual-active-bridge converter. IET Power Electron. 2020, 13, 1041–1050. [Google Scholar] [CrossRef]
- Hiltunen, J.; Väisänen, V.; Juntunen, R.; Silventoinen, P. Variable-Frequency Phase Shift Modulation of a Dual Active Bridge Converter. IEEE Trans. Power Electron. 2015, 30, 7138–7148. [Google Scholar] [CrossRef]
- Costinett, D.; Maksimovic, D.; Zane, R. Design and Control for High Efficiency in High Step-Down Dual Active Bridge Converters Operating at High Switching Frequency. IEEE Trans. Power Electron. 2013, 28, 3931–3940. [Google Scholar] [CrossRef]
- Farhangi, B.; Toliyat, H.A. Modeling and Analyzing Multiport Isolation Transformer Capacitive Components for Onboard Vehicular Power Conditioners. IEEE Trans. Ind. Electron. 2015, 62, 3134–3142. [Google Scholar] [CrossRef]
- Fritz, N.; Rashed, M.; Bozhko, S.; Cuomo, F.; Wheeler, P. Flux control modulation for the dual active bridge DC/DC converter. J. Eng. 2019, 2019, 4353–4358. [Google Scholar] [CrossRef]
- Lucas, K.E.; Pagano, D.J.; Medeiros, R.L.P. Single Phase-Shift Control of DAB Converter using Robust Parametric Approach. In Proceedings of the 2019 IEEE 15th Brazilian Power Electronics Conference and 5th IEEE Southern Power Electronics Conference (COBEP/SPEC), Santos, Brazil, 1–4 December 2019; pp. 1519–1524. [Google Scholar]
- Javaid, U.; Freijedo, F.D.; Dujic, D.; van der Merwe, W. Dynamic Assessment of Source–Load Interactions in Marine MVDC Distribution. IEEE Trans. Ind. Electron. 2017, 64, 4372–4381. [Google Scholar] [CrossRef]
- Siddique, H.A.B.; De Doncker, R.W. Evaluation of DC Collector-Grid Configurations for Large Photovoltaic Parks. IEEE Trans. Power Deliv. 2018, 33, 311–320. [Google Scholar] [CrossRef]
- Freijedo, F.D.; Rodriguez-Diaz, E.; Dujic, D. Stable and Passive High-Power Dual Active Bridge Converters Interfacing MVDC Grids. IEEE Trans. Ind. Electron. 2018, 65, 9561–9570. [Google Scholar] [CrossRef]
- Cupelli, M.; Gurumurthy, S.K.; Bhanderi, S.K.; Yang, Z.; Joebges, P.; Monti, A.; De Doncker, R.W. Port Controlled Hamiltonian Modeling and IDA-PBC Control of Dual Active Bridge Converters for DC Microgrids. IEEE Trans. Ind. Electron. 2019, 66, 9065–9075. [Google Scholar] [CrossRef]
- Datta, A.J.; Ghosh, A.; Zare, F.; Rajakaruna, S. Bidirectional power sharing in an ac/dc system with a dual active bridge converter. IET Gener. Transm. Distrib. 2019, 13, 495–501. [Google Scholar] [CrossRef]
- Tarisciotti, L.; Costabeber, A.; Chen, L.; Walker, A.; Galea, M. Current-Fed Isolated DC/DC Converter for Future Aerospace Microgrids. IEEE Trans. Ind. Appl. 2019, 55, 2823–2832. [Google Scholar] [CrossRef]
- Vuyyuru, U.; Maiti, S.; Chakraborty, C. Active Power Flow Control Between DC Microgrids. IEEE Trans. Smart Grid 2019, 10, 5712–5723. [Google Scholar] [CrossRef]
- Chen, L.; Gao, F.; Shen, K.; Wang, Z.; Tarisciotti, L.; Wheeler, P.; Dragicevic, T. Predictive Control based DC Microgrid Stabilization with the Dual Active Bridge Converter. IEEE Trans. Ind. Electron. 2020, 67, 8944–8956. [Google Scholar] [CrossRef]
- Lucas Marcillo, K.E.; Guingla, D.A.P.; Barra, W.; De Medeiros, R.L.P.; Rocha, E.M.; Benavides, D.A.V.; Nogueira, F.G. Interval Robust Controller to Minimize Oscillations Effects Caused by Constant Power Load in a DC Multi-Converter Buck-Buck System. IEEE Access 2019, 7, 26324–26342. [Google Scholar] [CrossRef]
- Bayat, H.; Yazdani, A. A Hybrid MMC-Based Photovoltaic and Battery Energy Storage System. IEEE Power Energy Technol. Syst. J. 2019, 6, 32–40. [Google Scholar] [CrossRef]
- Tahim, A.P.N.; Pagano, D.J.; Ponce, E. Nonlinear Control of dc-dc Bidirectional Converters in Stand-alone dc Microgrids. In Proceedings of the 2012 IEEE 51st IEEE Conference on Decision and Control (CDC), Maui, HI, USA, 10–13 December 2012; pp. 3068–3073. [Google Scholar]
- Morstyn, T.; Savkin, V.; Hredzak, B.; Agelidis, V.G. Multi-Agent Sliding Mode Control for State of Charge Balancing Between Battery Energy Storage Systems Distributed in a DC Microgrid. IEEE Trans. Smart Grid 2018, 9, 4735–4743. [Google Scholar] [CrossRef]
- Mahmood, H.; Michaelson, D.; Jiang, J. Strategies for Independent Deployment and Autonomous Control of PV and Battery Units in Islanded Microgrids. IEEE J. Emerg. Sel. Top. Power Electron. 2015, 3, 742–755. [Google Scholar] [CrossRef]
- Lenz, E.; Pagano, D.J.; Saito, M.T.; Pou, J. Nonlinear control of a bidirectional power converter for connecting batteries in DC microgrids. In Proceedings of the 2017 IEEE 8th International Symposium on Power Electronics for Distributed Generation Systems (PEDG), Florianopolis, Brazil, 17–20 April 2017; pp. 1–8. [Google Scholar]
- Cai, H.; Xiang, J.; Wei, W. Decentralized Coordination Control of Multiple Photovoltaic Sources for DC Bus Voltage Regulating and Power Sharing. IEEE Trans. Ind. Electron. 2018, 65, 5601–5610. [Google Scholar] [CrossRef]
- Cai, H.; Xiang, J.; Wei, W.; Chen, M.Z.Q. V– dp/dv Droop Control for PV Sources in DC Microgrids. IEEE Trans. Power Electron. 2018, 33, 7708–7720. [Google Scholar] [CrossRef]
- Lu, X.; Sun, K.; Guerrero, J.M.; Vasquez, J.C.; Huang, L. Double-Quadrant State-of-Charge-Based Droop Control Method for Distributed Energy Storage Systems in Autonomous DC Microgrids. IEEE Trans. Smart Grid 2015, 6, 147–157. [Google Scholar] [CrossRef]
- Lucas, K.E.; Pagano, D.J.; Plaza, D.A.; Vaca-Benavides, D.A.; Ríos, S.J. Robust Feedback Linearization Control for DAB Converter feeding a CPL. In Proceedings of the 21st IFAC World Congress, Berlin, Germany, 12–17 July 2020; pp. 1–8. [Google Scholar]
- Rocha, E.M.; Barra, W.; Lucas, K.E.; Medeiros, R.L.P.; Vaca-Benavides, D.A. Design and Experimental Assessment of a Robust Voltage Control for DC-DC Converters Considering Components Parametric Uncertainties. IEEE Access 2020, 8, 109217–109231. [Google Scholar] [CrossRef]

















| States | Description |
|---|---|
| ST1 | This state selects the battery standby mode of BESS and voltage mode control of the PV system |
| ST2 | This state selects the battery discharging mode BESS and of MPPT mode of the PV system |
| ST3 | This state selects the battery charging mode of BESS and voltage mode control of the PV system |
| AC1 | This variable handles disconnection and reconnection of the non-critical load |
| AC2 | This variable handles disconnection and reconnection of the PV generation system |
| Parameter | Symbol | Value |
|---|---|---|
| Battery energy storage system | ||
| Battery voltage | 400 V | |
| DC-bus voltage | 400 V | |
| Phase-shift at rated power | 45 | |
| Series inductance | L | 125 H |
| Inductor resistance | 70 m | |
| Coupling capacitor | 20 F | |
| Output Capacitor | 470 F | |
| Transformer turns ratio | a | 1 |
| Switching frequency | 40 kHz | |
| Output Power | 3 kW | |
| PV System with DAB Converter | ||
| PV Power | 3 kW | |
| Series inductance | 125 H | |
| Inductor resistance | 70 m | |
| Coupling capacitor | 20 F | |
| Output Capacitor | 470 F | |
| Transformer turns ratio | a | 1 |
| Switching frequency | 40 kHz | |
| Buck Converter | ||
| Maximum output Power | 3 kW | |
| Switching frequency | 40 kHz | |
| Input voltage | 400 V | |
| Filter inductor | 100 H | |
| Output Capacitor | 4700 F | |
| Resistance Load | ||
| Load resistance | R | 53.33 |
| DAB in Voltage Mode Control | ||
|---|---|---|
| Classical Control | 0.00296 | 0.01990 |
| Robust FLC | 5.57139 | 623.561 |
| DAB in Current Mode Control | ||
| 3.0 | ||
Publisher’s Note: MDPI stays neutral with regard to jurisdictional claims in published maps and institutional affiliations. |
© 2021 by the authors. Licensee MDPI, Basel, Switzerland. This article is an open access article distributed under the terms and conditions of the Creative Commons Attribution (CC BY) license (http://creativecommons.org/licenses/by/4.0/).
Share and Cite
Ríos, S.J.; Pagano, D.J.; Lucas, K.E. Bidirectional Power Sharing for DC Microgrid Enabled by Dual Active Bridge DC-DC Converter. Energies 2021, 14, 404. https://doi.org/10.3390/en14020404
Ríos SJ, Pagano DJ, Lucas KE. Bidirectional Power Sharing for DC Microgrid Enabled by Dual Active Bridge DC-DC Converter. Energies. 2021; 14(2):404. https://doi.org/10.3390/en14020404
Chicago/Turabian StyleRíos, Sara J., Daniel J. Pagano, and Kevin E. Lucas. 2021. "Bidirectional Power Sharing for DC Microgrid Enabled by Dual Active Bridge DC-DC Converter" Energies 14, no. 2: 404. https://doi.org/10.3390/en14020404
APA StyleRíos, S. J., Pagano, D. J., & Lucas, K. E. (2021). Bidirectional Power Sharing for DC Microgrid Enabled by Dual Active Bridge DC-DC Converter. Energies, 14(2), 404. https://doi.org/10.3390/en14020404

