Continuous Integrated Process of Biodiesel Production and Purification—The End of the Conventional Two-Stage Batch Process?
Abstract
1. Introduction
2. Materials and Methods
2.1. Materials
Chemicals
2.2. Methods
2.2.1. Preparation of Deep Eutectic Solvents (DESs)
2.2.2. Optimization of Integrated Biodiesel Production and Purification Processes
2.2.3. Integrated Biodiesel Production and Purification in a Batch Reactor
2.2.4. Integrated Biodiesel Production and Purification Process in a Microsystem
2.2.5. Influence of Temperature on the Efficiency of Glycerol Extraction
2.2.6. Measurement of the Concentration of Fatty Acid Methyl Esters and Glycerol by Gas Chromatography
2.2.7. Spectrophotometric Measurement of Glycerol Concentration
2.2.8. Measurement of Lipase Activity
2.2.9. Optimization of the Extraction Process by Response Surface Methodology (RSM)
2.2.10. Artificial Neural Network (ANN) Modeling
3. Results
3.1. Optimization of Biodiesel Synthesis and the Glycerol Extraction Process
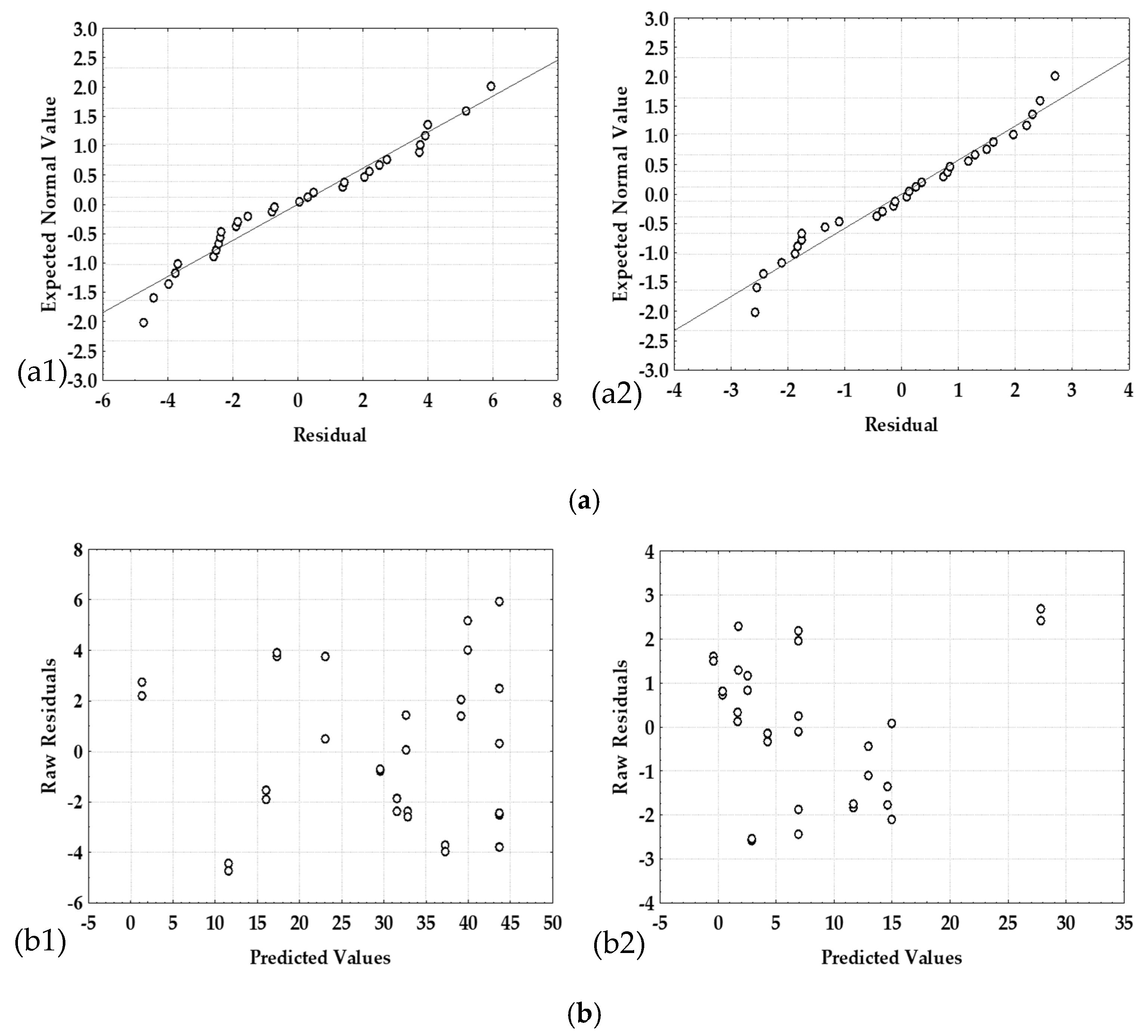
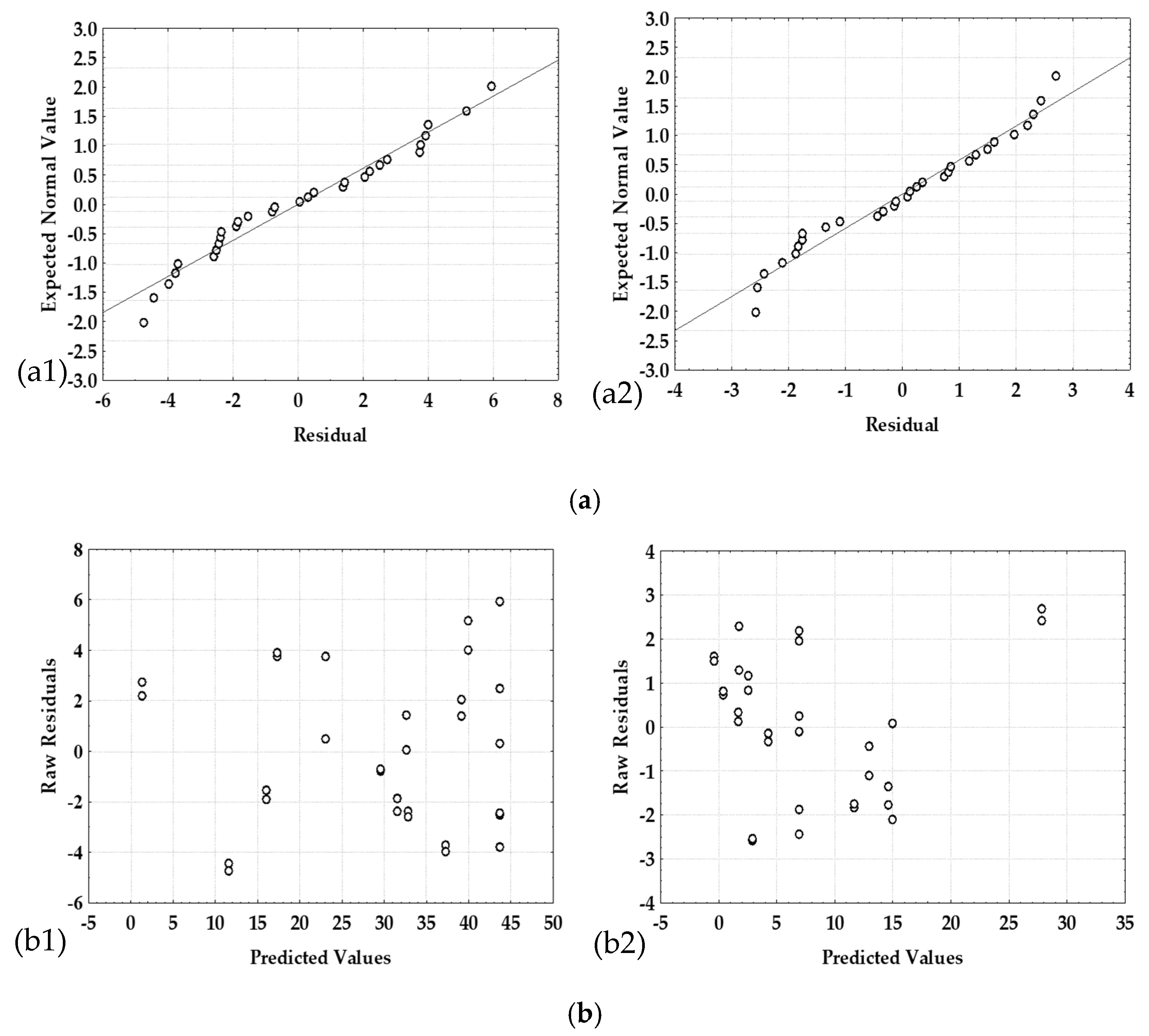
3.2. Artificial Neural Networks (ANN) Modelling
3.3. Integrated Production and Purification of Biodiesel—Batch Reactor versus Microreactor
4. Conclusions
Author Contributions
Funding
Institutional Review Board Statement
Informed Consent Statement
Data Availability Statement
Conflicts of Interest
List of Symbols and Abbreviations
| t | Time (h) |
| T | Temperature (°C) |
| Y | Yield (%) |
| V | Reactor volume (mL) |
| X | Independent variables (-) |
| w | Mass fraction (%) |
| Greek letters | |
| β | Regression coefficients (-) |
| γ | Mass concentration (mg mL−1) |
| λ | Wavelength (nm) |
| η | Extraction efficiency (%) |
| τ | Residence time (s) |
| Abbreviations | |
| ANN | Artificial neural networks |
| ChCl:Gly | Choline chloride:glycerol |
| ChCl:EG | Choline chloride:ethylene glycol |
| DES | Deep eutectic solvent(s) |
| DF | Degree of freedom |
| E | Enzyme |
| FAME | Fatty acid methyl ester(s) |
| FID | Flame ionization detector |
| HBD | Hydrogen bond donor |
| HBA | Hydrogen bond acceptor |
| MLP | Multi-layer perceptron |
| MS | Mean square |
| PTFE | Polytetrafluoroethylene |
| RMSE | Root mean squared error |
| RSM | Response surface methodology |
| SS | Sum of squares |
References
- Franjo, M.; Šalić, A.; Zelić, B. Microstructured devices for biodiesel production by transesterification. Biomass Conv. Bioref. 2018, 8, 1005–1020. [Google Scholar] [CrossRef]
- Chattopadhyay, S.; Sen, R. Fuel properties, engine performance and environmental benefits of biodiesel produced by a green process. Appl. Energy 2013, 105, 319–326. [Google Scholar] [CrossRef]
- Chang, W.R.; Hwang, J.J.; Wu, W. Environmental impact and sustainability study on biofuels for transportation applications. Renew. Sustain. Energy Rev. 2017, 67, 277–288. [Google Scholar] [CrossRef]
- De Oliveira, F.C.; Coelho, S.T. History, evolution, and environmental impact of biodiesel in Brazil: A review. Renew. Sustain. Energy Rev. 2017, 75, 168–179. [Google Scholar] [CrossRef]
- Mandal, B.; Palit, S.; Chowdhuri, A.K.; Mandal, B.K. Environmental impact of using biodiesel as fuel in transportation: A review. Int. J. Glob. Warm. 2011, 3, 232. [Google Scholar] [CrossRef]
- Gojun, M.; Bačić, M.; Ljubić, A.; Šalić, A.; Zelić, B. Transesterification in microreactors—Overstepping obstacles and shifting towards biodiesel production on a microscale. Micromachines 2020, 11, 457. [Google Scholar] [CrossRef] [PubMed]
- Sharma, K.S. Improvement of biodiesel product yield during simple consecutive—Competitive reactions. J. Encapsulation Adsorpt. Sci. 2015, 5, 204–216. [Google Scholar] [CrossRef][Green Version]
- Šalić, A.; Jurinjak Tušek, A.; Sander, A.; Zelić, B. Lipase catalysed biodisel synthesis with integrated glycerol separation in continuously operated michrochips connected in series. New Biotechnol. 2018, 47, 80–88. [Google Scholar] [CrossRef] [PubMed]
- Alajmi, F.S.M.D.A.; Hairuddin, A.A.; Adam, N.M.; Abdullah, L.C. Recent trends in biodiesel production from commonly used animal fats. Int. J. Energy Res. 2018, 42, 885–902. [Google Scholar] [CrossRef]
- Kim, K.H.; Lee, O.K.; Lee, E.Y. Nano-immobilized biocatalysts for biodiesel production from renewable and sustainable resources. Catalysts 2018, 8, 68. [Google Scholar]
- Roman-Figueroa, C.; Olivares-Carrillo, P.; Paneque, M.; Palacios-Nereo, F.J.; Quesada-Medina, J. High-yield production of biodiesel by non-catalytic supercritical methanol transesterification of crude castor oil (Ricinus communis). Energy 2016, 107, 165–171. [Google Scholar] [CrossRef]
- Aboelazayem, O.; Gadalla, M.; Saha, B. Biodiesel production from waste cooking oil via supercritical methanol: Optimisation and reactor simulation. Renew. Energy 2018, 124, 144–154. [Google Scholar] [CrossRef]
- Farobie, O.; Matsumura, Y. State of the art of biodiesel production under supercritical conditions. Prog. Energy Combust. Sci. 2017, 63, 173–203. [Google Scholar] [CrossRef]
- Gebremariam, S.N.; Marchetti, J.M. Biodiesel production technologies: Review. AIMS Energy 2017, 5, 425–457. [Google Scholar] [CrossRef]
- Bora, P.; Boro, J.; Konwar, L.J.; Deka, D. Formulation of microemulsion based hybrid biofuel from waste cooking oil—A comparative study with biodiesel. J. Energy Inst. 2016, 89, 560–568. [Google Scholar] [CrossRef]
- Attaphong, C.; Do, L.; Sabatini, D.A. Vegetable oil-based microemulsions using carboxylate-based extended surfactants and their potential as an alternative renewable biofuel. Fuel 2012, 94, 606–613. [Google Scholar] [CrossRef]
- Salmani, M.H.; Rehman, S.; Zaidi, K.; Hasan, A.K. Study of ignition characteristics of microemulsion of coconut oil under off diesel engine conditions. Eng. Sci. Technol. Int. J. 2015, 18, 318–324. [Google Scholar] [CrossRef][Green Version]
- Liquid Petroleum Products—Fatty Acid Methyl Esters (FAME) for Use in Diesel Engines and Heating Applications—Requirements and Test Methods (EN 14214:2012+A2:2019). Available online: https://www.en-standard.eu/bs-en-14214-2012-a2-2019-liquid-petroleum-products.-fatty-acid-methyl-esters-fame-for-use-in-diesel-engines-and-heating-applications.-requirements-and-test-methods/ (accessed on 1 January 2021).
- Zhang, L.; Xie, T.; Xu, N. Biodiesel synthesis in microreactors. Green Process. Synth. 2012, 1, 61–70. [Google Scholar]
- Šalić, A.; Zelić, B. Synergy of microtechnology and biotechnology: Microreactors as an effective tool for processes. Food Technol. Biotechnol. 2018, 56, 464–479. [Google Scholar] [CrossRef]
- Lam, M.K.; Lee, K.T.; Mohamed, A.R. Homogeneous, heterogeneous and enzymatic catalysis for transesterification of high free fatty acid oil (waste cooking oil) to biodiesel: A review. Biotechnol. Adv. 2010, 28, 500–518. [Google Scholar] [CrossRef]
- Fernandez-Lafuente, R. Lipase from Thermomyces lanuginosus: Uses and prospects as an industrial biocatalyst. J. Mol. Catal. B Enzym. 2010, 62, 197–212. [Google Scholar] [CrossRef]
- Madhawan, A.; Arora, A.; Das, J.; Kuila, A.; Sharma, V. Microreactor technology for biodiesel production: A review. Biomass Convers. Biorefin. 2018, 8, 485–496. [Google Scholar] [CrossRef]
- Aghel, B.; Mohadesi, M.; Sahraei, S. Effect of different cosolvents on transesterification of waste cooking oil in a microreactor. Chem. Eng. Technol. 2018, 41, 598–605. [Google Scholar] [CrossRef]
- Quitain, A.T.; Mission, E.G.; Sumigawa, Y.; Sasaki, M. Supercritical carbon dioxide-mediated esterification in a microfluidic reactor. Chem. Eng. Process 2018, 123, 168–173. [Google Scholar] [CrossRef]
- Aghel, B.; Mohadesi, M.; Sahraei, S.; Shariatifar, M. New heterogeneous process for continuous biodiesel production in microreactors. Can. J. Chem. Eng. 2017, 95, 1280–1287. [Google Scholar] [CrossRef]
- Santana, H.S.; Silva, J.L.; Tortola, D.S.; Taranto, O.P. Transesterification of sunflower oil in microchannels with circular obstructions. Chin. J. Chem. Eng. 2018, 26, 852–863. [Google Scholar] [CrossRef]
- Ho, K.C.; Shahbaz, K.; Rashmi, W.; Mjalli, F.S.; Hashim, M.A.; Alnashef, I.M. Removal of glycerol from palm oil-based biodiesel using new ionic liquids analogues. J. Eng. Sci. Technol. 2015, 10, 98. [Google Scholar]
- Petračić, A.; Sander, A.; Magić, L. Separation of free glycerol and glycerides from biodiesel by means of liquid-liquid extraction. Sci. J. Energy Eng. 2017, 5, 87–94. [Google Scholar] [CrossRef][Green Version]
- Homan, T.; Shahbaz, K.; Farid, M.M. Improving the production of propyl and butyl esters-based biodiesel by purification using deep eutectic solvents. Sep. Purif. Technol. 2017, 174, 570–576. [Google Scholar] [CrossRef]
- Cvjetko Bubalo, M.; Jurinjak Tušek, A.; Vinković, M.; Radošević, K.; Gaurina Srček, V.; Radojčić Redovniković, I. Cholinium-based deep eutectic solvents and ionic liquids for lipase-catalyzed synthesis of butyl acetate. J. Mol. Catal. B Enzym. 2015, 122, 188–198. [Google Scholar] [CrossRef]
- Tang, S.; Baker, G.A.; Zhao, H. Ether- and alcohol-functionalized task-specific ionic liquids: Attractive properties and applications. Chem. Soc. Rev. 2012, 41, 4030–4066. [Google Scholar] [CrossRef] [PubMed]
- Šalić, A.; Jurinjak Tušek, A.; Gojun, M.; Zelić, B. Biodiesel purification in microextractors: Choline chloride based deep eutectic solvents vs water. Sep. Purif. Technol. 2020, 242, 116783. [Google Scholar] [CrossRef]
- Gotor-Fernandez, V.; Paul, C.E. Deep eutectic solvents for redox biocatalysis. J. Biotechnol. 2019, 293, 24–35. [Google Scholar] [CrossRef] [PubMed]
- Miličević, N.; Panić, M.; Valinger, D.; Cvjetko Bubalo, M.; Benković, M.; Jurina, T.; Gajdoš Kljusurić, J.; Radojčić Redovniković, I.; Jurinjak Tušek, A. Developement of continuously operated aqueous two-phase microextraction process using natural deep eutectic solvents. Sep. Purif. Technol. 2020, 244, 116746. [Google Scholar] [CrossRef]
- Bas, D.; Boyac, I.H. Modeling and optimization I: Usability of response surface methodology. J. Food Eng. 2007, 78, 836–845. [Google Scholar] [CrossRef]
- Bezzera, M.A.; Santelli, R.E.; Oliveira, E.P.; Villar, L.S.; Escaleira, L.A. Response surface methodology (RSM) as a tool for optimization in analytical chemistry. Talanta 2008, 76, 965–977. [Google Scholar] [CrossRef]
- Budžaki, S.; Šalić, A.; Zelić, B.; Tišma, M. Enzyme-catalysed biodiesel production from edible and waste cooking oils. Chem. Biochem. Eng. Q. 2015, 29, 329–333. [Google Scholar]
- Bondioli, P.; Della Bella, L. An alternative spectrophotometric method for the determination of free glycerol in biodiesel. Eur. J. Lipid Sci. Technol. 2005, 107, 153–157. [Google Scholar] [CrossRef]
- Chumuang, N.; Punsuvon, V. Response surface methodology for biodiesel production using calcium methoxide catalyst assisted with tetrahydrofuran as cosolvent. J. Chem. 2017, 2017, 4190818. [Google Scholar] [CrossRef]
- Hayyan, M.; Mjalli, F.S.; Hashim, M.A.; AlNashef, I.M. A novel technique for separating glycerine from palm oil-based biodiesel using ionic liquids. Fuel Process. Technol. 2010, 91, 116–120. [Google Scholar] [CrossRef]
- Merza, F.; Fawzy, A.; Al Nashef, I.; Al-Zuhair, S.; Taher, H. Effectiveness of using deep eutectic solvents in enzymatic biodiesel production from waste oils. Energy Rep. 2018, 4, 77–83. [Google Scholar] [CrossRef]
- Lu, J.; Chen, Y.; Wang, F.; Tan, T. Effect of water on methanolysis of glycerol trioleate catalyzed by immobilized lipase Candida sp. 99–125 in organic solvent system. J. Mol. Catal. B Enzym. 2009, 56, 122–125. [Google Scholar] [CrossRef]
- Gorke, J.T.; Srienc, F.; Kazlauskas, R.J. Hydrolase-catalyzed biotransformations in deep eutectic solvents. Chem. Commun. 2008, 10, 1235–1237. [Google Scholar] [CrossRef] [PubMed]
- Teng, D.; Fang, Y.; Song, X.; Gao, Y. Optimization of enzymatic hydrolysis parameters for antioxidant capacity of peptide from goat placenta. Food Bioprod. Process. 2011, 89, 202–208. [Google Scholar] [CrossRef]
- Le Man, H.; Behera, S.K.; Park, H.S. Optimization of operational parameters for ethanol production from Korean food waste leachate. Int. J. Environ. Sci. Technol. 2010, 7, 157–164. [Google Scholar] [CrossRef]
- Gojun, M.; Pustahija, L.; Jurinjak Tušek, A.; Šalić, A.; Valinger, D.; Zelić, B. Kinetic parameter estimation and mathematical modelling of lipase catalysed biodiesel synthesis in a microreactor. Micromachines 2019, 10, 759. [Google Scholar] [CrossRef]
- Xu, P.; Zheng, G.-W.; Zong, M.-H.; Li, N.; Lou, W.Y. Recent progress on deep eutectic solvents in biocatalysis. Bioresour. Bioprocess 2017, 4, 1–18. [Google Scholar] [CrossRef]
- Saleh, J.; Dubé, M.A.; Tremblay, A.Y. Separation of glycerol from FAME using ceramic membranes. Fuel Process. Technol. 2011, 92, 1305–1310. [Google Scholar] [CrossRef]
- Tajziehchi, K.; Sadrameli, S.M. Optimization for free glycerol, diglyceride, and triglyceride reduction in biodiesel using ultrafiltration polymeric membrane: Effect of process parameters. Process Saf. Environ. Prot. 2020, 148, 34–46. [Google Scholar] [CrossRef]






| Molar Ratio | Prepared DES | |
|---|---|---|
| 1:2 | ChCl:Gly1:2 | ChCl:EG1:2 |
| 1:3 | ChCl:Gly1:3 | ChCl:EG1:3 |
| 1:3.5 | ChCl:Gly1:3.5 | – |
| 1:4 | ChCl:Gly1:4 | ChCl:EG1:4 |
| Experimental Design | Analyzed Responses | ||||||||
|---|---|---|---|---|---|---|---|---|---|
| Run | wwater, % Mass | ChCl:Gly or ChCl:EG (1:X) | Mass Ratio of Phases | ChCl:Gly | ChCl:EG | ||||
| Y, % | η, % | wG, % | Y, % | η, % | wG, % | ||||
| 1 | 0.6 (−1) | 2.0 (−1) | 1:1 (0) | 6.96 ± 0.21 | 86.36 ± 0.40 | 0.129 ± 0.01 | 1.15 ± 0.11 | 58.65 ± 2.84 | 0.065 ± 0.02 |
| 2 | 8.6 (1) | 2.0 (−1) | 1:1 (0) | 40.82 ± 0.66 | 86.92 ± 0.15 | 5.629 ± 1.02 | 12.15 ± 0.64 | 33.52 ± 2.54 | 1.098 ± 0.30 |
| 3 | 0.6 (−1) | 4.0 (1) | 1:1 (0) | 14.31 ± 0.35 | 89.97 ± 0.18 | 0.195 ± 0.22 | 1.18 ± 0.07 | 40.66 ± 2.69 | 0.095 ± 0.04 |
| 4 | 8.6 (1) | 4.0 (1) | 1:1 (0) | 44.55 ± 1.16 | 91.63 ± 0.16 | 0.507 ± 0.07 | 13.05 ± 0.40 | 95.93 ± 0.09 | 0.072 ± 0.03 |
| 5 | 0.6 (−1) | 3.0 (0) | 1:9 (1) | 21.12 ± 0.15 | 98.54 ± 0.01 | 0.042 ± 0.02 | 0.35 ± 0.08 | 55.39 ± 0.14 | 0.021 ± 0.01 |
| 6 | 8.6 (1) | 3.0 (0) | 1:9 (1) | 30.37 ± 0.23 | 54.13 ± 0.26 | 1.894 ± 0.36 | 4.04 ± 0.19 | 64.47 ± 6.05 | 0.195 ± 0.09 |
| 7 | 0.6 (−1) | 3.0 (0) | 9:1 (−1) | 3.82 ± 0.54 | 81.06 ± 1.95 | 0.098 ± 0.02 | 1.90 ± 0.21 | 67.97 ± 0.01 | 0.083 ± 0.05 |
| 8 | 8.6 (1) | 3.0 (0) | 9:1 (−1) | 33.40 ± 0.27 | 98.82 ± 0.01 | 0.054 ± 0.01 | 30.38 ± 0.27 | 95.04 ± 0.09 | 0.205 ± 0.10 |
| 9 | 4.6 (0) | 2.0 (−1) | 1:9 (1) | 33.42 ± 1.36 | 99.29 ± 0.02 | 0.032 ± 0.05 | 3.55 ± 0.32 | 57.37 ± 1.23 | 0.206 ± 0.07 |
| 10 | 4.6 (0) | 4.0 (1) | 1:9 (1) | 29.40 ± 0.52 | 99.02 ± 0.01 | 0.039 ± 0.01 | 3.56 ± 0.98 | 92.15 ± 0.06 | 0.038 ± 0.01 |
| 11 | 4.6 (0) | 2.0 (−1) | 9:1 (−1) | 25.18 ± 0.32 | 99.80 ± 0.02 | 0.007 ± 0.01 | 9.87 ± 0.26 | 55.19 ± 7.68 | 0.601 ± 0.15 |
| 12 | 4.6 (0) | 4.0 (1) | 9:1 (−1) | 28.80 ± 0.07 | 98.73 ± 0.00 | 0.050 ± 0.03 | 13.92 ± 2.16 | 96.03 ± 0.29 | 0.075 ± 0.01 |
| 13 | 4.6 (0) | 3.0 (0) | 1:1 (0) | 45.41 ± 1.29 | 94.47 ± 0.74 | 0.341 ± 0.27 | 9.02 ± 0.23 | 41.68 ± 0.58 | 0.715 ± 0.43 |
| 14 | 4.6 (0) | 3.0 (0) | 1:1 (0) | 40.59 ± 0.13 | 87.56 ± 0.29 | 0.687 ± 0.14 | 4.79 ± 0.55 | 39.13 ± 3.39 | 0.396 ± 0.21 |
| 15 | 4.6 (0) | 3.0 (0) | 1:1 (0) | 45.11 ± 2.16 | 91.94 ± 0.28 | 0.495 ± 0.21 | 7.00 ± 0.35 | 89.65 ± 4.13 | 0.099 ± 0.02 |
| ChCl:Gly | |||||||
| Source | Coeff. ± st.er. | SS | DF | MS | F-Value | p-Value | R2 |
| Model | 3347.14 | 9 | 371.90 | 31.43 | <0.0001 | 0.9452 | |
| Intercept | 17.98 ± 1.34 | ||||||
| X1 | 49.80 ± 3.30 | 3133.08 | 1 | 3133.08 | 227.13 | <0.0001 | |
| X2 | 2.67 ± 1.86 | 28.53 | 1 | 28.53 | 2.07 | 0.1658 | |
| X3 | −5.78 ± 1.86 | 133.50 | 1 | 133.50 | 9.68 | 0.0055 | |
| X12 | 24.07 ± 2.73 | 1069.34 | 1 | 1069.34 | 77.52 | <0.0001 | |
| X22 | 5.01 ± 1.37 | 185.62 | 1 | 185.62 | 13.45 | 0.0015 | |
| X32 | 9.49 ± 1.37 | 665.74 | 1 | 665.74 | 48.26 | <0.0001 | |
| X1·X2 | −1.81 ± 2.63 | 6.58 | 1 | 6.58 | 0.48 | 0.4974 | |
| X1·X3 | 10.17 ± 2.63 | 206.73 | 1 | 206.73 | 14.98 | 0.0009 | |
| X2·X3 | 3.82 ± 2.63 | 29.26 | 1 | 29.26 | 2.12 | 0.1608 | |
| Residual | 224.81 | 20 | 11.83 | ||||
| Lack of fit | 148.80 | 3 | 14.40 | 1.664 | 0.0667 | ||
| Pure error | 76.02 | 17 | 4.47 | ||||
| ChCl:EG | |||||||
| Source | Coeff. ± st.er. | SS | DF | MS | F-Value | p-Value | R2 |
| Model | 1601.69 | 9 | 177.97 | 46.21 | <0.0001 | 0.9541 | |
| Intercept | 8.39 ± 0.71 | ||||||
| X1 | 12.39 ± 1.75 | 193.22 | 1 | 193.22 | 50.17 | <0.0001 | |
| X2 | 1.25 ± 0.98 | 6.24 | 1 | 6.24 | 1.62 | 0.2176 | |
| X3 | 11.14 ± 0.98 | 496.32 | 1 | 496.32 | 128.86 | <0.0001 | |
| X12 | −1.39 ± 1.44 | 3.57 | 1 | 3.57 | 0.93 | 0.3473 | |
| X22 | 0.75 ± 0.72 | 4.10 | 1 | 4.10 | 1.07 | 0.3143 | |
| X32 | −1.54 ± 0.72 | 17.43 | 1 | 17.43 | 4.52 | 0.0460 | |
| X1·X2 | 0.43 ± 1.38 | 0.378 | 1 | 0.378 | 0.09 | 0.7574 | |
| X1·X3 | 12.39 ± 1.38 | 307.42 | 1 | 307.42 | 79.82 | <0.0001 | |
| X2·X3 | 2.02 ± 1.38 | 8.16 | 1 | 8.16 | 2.12 | 0.1610 | |
| Residual | 177.03 | 20 | 3.85 | ||||
| Lack of fit | 155.47 | 3 | 8.49 | 1.458 | 0.0937 | ||
| Pure error | 21.55 | 17 | 1.27 | ||||
| Buffer | ChCl:Gly | |||
|---|---|---|---|---|
| Initial Conditions | Optimal Conditions | |||
| Experiment I | Experiment II | Experiment III | Experiment IV | |
| Batch reactor | Microsystem | |||
| Y, % | 61.61 ± 1.99 | 43.01 ± 1.23 | 43.54 ± 0.2 | 45.33 ± 1.74 |
| η, % | – | 97.52 ± 0.9 | 99.54 ± 0.19 | 99.56 ± 0.13 |
| wG, % | 7.84 ± 0.51 | 0.15 ± 0.11 | 0.027 ± 0.01 | 0.019 ± 0.003 |
| Network Name | Training Perf./Training Error | Test Perf./Test Error | Validation Perf./Validation Error | Hidden Activation Function | Output Activation Function | |
|---|---|---|---|---|---|---|
| ChCl:Gly | MLP 3-9-1 | 0.9977 0.0003 | 0.9968 0.0006 | 0.9906 0.0007 | Exponential | Identity |
| MLP 3-8-1 | 0.9977 0.0006 | 0.9855 0.0011 | 0.9339 0.0013 | Exponential | Logistic | |
| MLP 3-5-1 | 0.9977 0.0004 | 0.9753 0.0016 | 0.9635 0.0019 | Exponential | Logistic | |
| MLP 3-8-1 | 0.9977 0.0003 | 0.9844 0.0006 | 0.9812 0.0012 | Exponential | Logistic | |
| MLP 3-9-1 | 0.9977 0.0004 | 0.9852 0.0016 | 0.9828 0.0019 | Logistic | Logistic | |
| ChCl:EG | MLP 3-8-1 | 0.9911 0.0007 | 0.9684 0.0008 | 0.9489 0.0017 | Exponential | Exponential |
| MLP 3-6-1 | 0.9913 0.0007 | 0.9741 0.0007 | 0.9689 0.0015 | Exponential | Exponential | |
| MLP 3-7-1 | 0.9911 0.0007 | 0.9698 0.0008 | 0.9680 0.0017 | Exponential | Exponential | |
| MLP 3-4-1 | 0.9852 0.0007 | 0.9688 0.0014 | 0.9664 0.0014 | Exponential | Logistic | |
| MLP 3-8-1 | 0.9906 0.0006 | 0.9798 0.0007 | 0.9692 0.0008 | Exponential | Exponential |
Publisher’s Note: MDPI stays neutral with regard to jurisdictional claims in published maps and institutional affiliations. |
© 2021 by the authors. Licensee MDPI, Basel, Switzerland. This article is an open access article distributed under the terms and conditions of the Creative Commons Attribution (CC BY) license (http://creativecommons.org/licenses/by/4.0/).
Share and Cite
Bačić, M.; Ljubić, A.; Gojun, M.; Šalić, A.; Tušek, A.J.; Zelić, B. Continuous Integrated Process of Biodiesel Production and Purification—The End of the Conventional Two-Stage Batch Process? Energies 2021, 14, 403. https://doi.org/10.3390/en14020403
Bačić M, Ljubić A, Gojun M, Šalić A, Tušek AJ, Zelić B. Continuous Integrated Process of Biodiesel Production and Purification—The End of the Conventional Two-Stage Batch Process? Energies. 2021; 14(2):403. https://doi.org/10.3390/en14020403
Chicago/Turabian StyleBačić, Matea, Anabela Ljubić, Martin Gojun, Anita Šalić, Ana Jurinjak Tušek, and Bruno Zelić. 2021. "Continuous Integrated Process of Biodiesel Production and Purification—The End of the Conventional Two-Stage Batch Process?" Energies 14, no. 2: 403. https://doi.org/10.3390/en14020403
APA StyleBačić, M., Ljubić, A., Gojun, M., Šalić, A., Tušek, A. J., & Zelić, B. (2021). Continuous Integrated Process of Biodiesel Production and Purification—The End of the Conventional Two-Stage Batch Process? Energies, 14(2), 403. https://doi.org/10.3390/en14020403

