Estimating Downward Shortwave Solar Radiation on Clear-Sky Days in Heterogeneous Surface Using LM-BP Neural Network
Abstract
1. Introduction
2. Materials
2.1. Study Area
2.2. Data
2.2.1. Remote Sensing Data
2.2.2. Observations
3. Methodology
3.1. LM-BP Neural Network
3.2. Implementation of LM-BP Neural Network
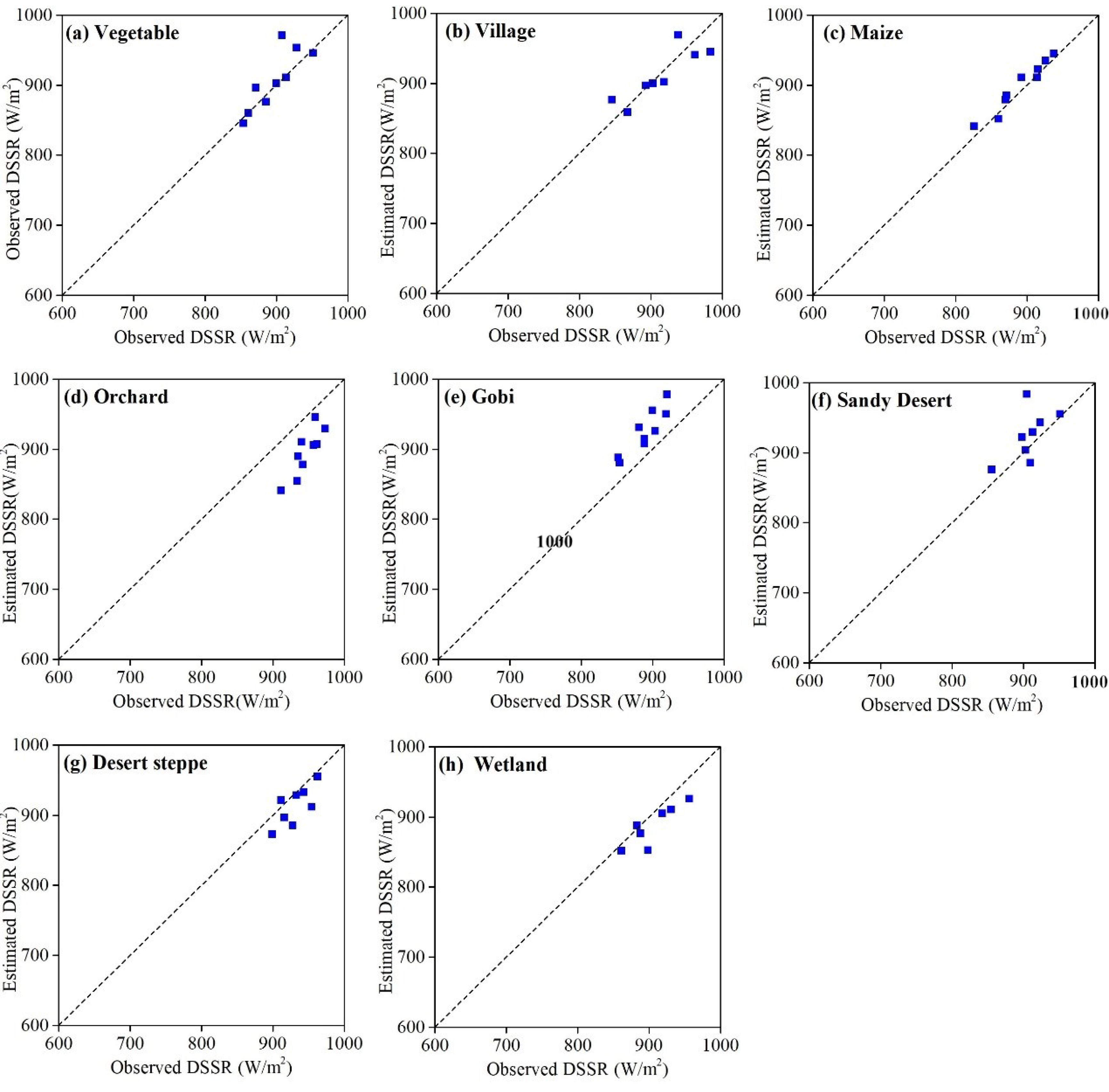
4. Results and Discussion
5. Conclusions
Author Contributions
Funding
Institutional Review Board Statement
Informed Consent Statement
Data Availability Statement
Acknowledgments
Conflicts of Interest
References
- Wang, L.; Kisi, O.; Zounemat-Kermani, M.; Salazar, G.A.; Zhu, Z.; Gong, W. Solar radiation prediction using different techniques: Model evaluation and comparison. Renew. Sustain. Energy Rev. 2016, 61, 384–397. [Google Scholar] [CrossRef]
- Chen, L.; Yan, G.; Wang, T.; Ren, H.; Calbó, J.; Zhao, J.; McKenzie, R. Estimation of surface shortwave radiation components under all sky conditions: Modeling and sensitivity analysis. Remote Sens. Environ. 2012, 123, 457–469. [Google Scholar] [CrossRef]
- Yang, K.; He, J.; Tang, W.; Qin, J.; Cheng, C.C.K. On downward shortwave and longwave radiations over high altitude regions: Observation and modeling in the Tibetan plateau. Agric. Forest Meteorol. 2010, 150, 38–46. [Google Scholar] [CrossRef]
- Cheng, G.; Li, X.; Zhao, W.; Xu, Z.; Feng, Q.; Xiao, S.; Xiao, H. Integrated study of the water–ecosystem–economy in the Heihe River Basin. Natl. Sci. Rev. 2014, 1, 413–428. [Google Scholar] [CrossRef]
- Teke, A.; Yıldırım, H.B.; Çelik, Ö. Evaluation and performance comparison of different models for the estimation of solar radiation. Renew. Sustain. Energy Rev. 2015, 50, 1097–1107. [Google Scholar] [CrossRef]
- Premalatha, M.; Naveen, C. Analysis of different combinations of meteorological parameters in predicting the horizontal global solar radiation with ANN approach: A case study. Renew. Sustain. Energy Rev. 2018, 91, 248–258. [Google Scholar]
- Kumar, R.; Aggarwal, R.K.; Sharma, J.D. Comparison of regression and artificial neural network models for estimation of global solar radiations. Renew. Sustain. Energy Rev. 2015, 52, 1294–1299. [Google Scholar] [CrossRef]
- Mubiru, J.; Banda, E.J.K.B. Estimation of monthly average daily global solar irradiation using artificial neural networks. Sol. Energy 2008, 82, 181–187. [Google Scholar] [CrossRef]
- Zou, L.; Wang, L.; Lin, A.; Zhu, H.; Peng, Y.; Zhao, Z. Estimation of global solar radiation using an artificial neural network based on an interpolation technique in southeast china. J. Atmos. Sol. Terr. Phys. 2016, 146, 110–122. [Google Scholar] [CrossRef]
- Gairaa, K.; Khellaf, A.; Messlem, Y.; Chellali, F. Estimation of the daily global solar radiation based on box–Jenkins and ANN models: A combined approach. Renew. Sustain. Energy Rev. 2016, 57, 238–249. [Google Scholar] [CrossRef]
- Feng, J.; Wang, W.; Li, J. An LM-BP neural network approach to estimate monthly-mean daily global solar radiation using MODIS atmospheric products. Energies 2018, 11, 3510. [Google Scholar] [CrossRef]
- Qin, J.; Chen, Z.; Yang, K.; Liang, S.; Tang, W. Estimation of monthly-mean daily global solar radiation based on MODIS and TRMM products. Appl. Energy 2011, 88, 2480–2489. [Google Scholar] [CrossRef]
- Jiang, B.; Zhang, Y.; Liang, S.; Zhang, X.; Xiao, Z. Surface daytime net radiation estimation using artificial neural networks. Remote Sens. 2014, 6, 11031–11050. [Google Scholar] [CrossRef]
- Tang, W.; Qin, J.; Yang, K.; Liu, S.; Lu, N.; Niu, X. Retrieving high-resolution surface solar radiation with cloud parameters derived by combining MODIS and MTSAT data. Atmos. Chem. Phys. 2016, 16, 2543–2557. [Google Scholar] [CrossRef]
- Deo, R.C.; Şahin, M. Forecasting long-term global solar radiation with an ANN algorithm coupled with satellite-derived (MODIS) land surface temperature (LST) for regional locations in Queensland. Renew. Sustain. Energy Rev. 2017, 72, 828–848. [Google Scholar] [CrossRef]
- Li, X.; Cheng, G.; Liu, S.; Xiao, Q.; Ma, M.; Jin, R.; Che, T.; Liu, Q.; Wang, W.; Qi, Y.; et al. Heihe watershed allied telemetry experimental research (HiWATER): Scientific objectives and experimental design. Bull. Am. Meteorol. Soc. 2013, 94, 1145–1160. [Google Scholar] [CrossRef]
- Li, H.; Sun, D.; Yu, Y.; Wang, H.; Liu, Y.; Liu, Q.; Du, Y.; Wang, H.; Cao, B. Evaluation of the VIIRS and MODIS LST products in an arid area of northwest china. Remote Sens. Environ. 2014, 142, 111–121. [Google Scholar] [CrossRef]
- Liang, S. Narrowband to broadband conversions of land surface albedo i: Algorithms. Remote Sens. Environ. 2001, 76, 213–238. [Google Scholar] [CrossRef]
- Feng, J.; Wang, W.; Xu, F.; Sun, S. Estimating surface heat and water vapor fluxes by combining two-source energy balance model and back-propagation neural network. Sci. Total Environ. 2020, 729, 138724. [Google Scholar] [CrossRef]
- Mosavi, M.R.; Khishe, M. Training a feed-forward neural network using particle swarm optimizer with autonomous groups for sonar target classification. J. Circuits Syst. Comput. 2017, 26, 1750185. [Google Scholar] [CrossRef]
- Demuth, H.; Beale, M.; Hagan, M. Neural Network Toolbox 6: Users Guide; Mathwork Inc.: Natick, MA, USA, 2008; pp. 1225–1233. [Google Scholar]
- Kumar, M.; Raghuwanshi, N.S.; Singh, R.; Wallender, W.W.; Pruitt, W.O. Estimating evapotranspiration using artificial neural network. J. Irrig. Drain. Eng. 2002, 128, 224–233. [Google Scholar] [CrossRef]
- Last, M. Kernel Methods for Pattern Analysis; China Machine Press: Beijing, China, 2005. (In Chinese) [Google Scholar]
- Zhang, Y.; Li, X.; Bai, Y. An integrated approach to estimate shortwave solar radiation on clear-sky days in rugged terrain using MODIS atmospheric products. Sol. Energy 2015, 113, 347–357. [Google Scholar] [CrossRef]
- Xu, H. The Study of Impact Factors of Solar Radiation in Particular Areas of China. Master’s Dissertation, Ocean University of China, Qingdao, China, 2013. (In Chinese). [Google Scholar]
- Antonopoulos, V.Z.; Papamichail, D.M.; Aschonitis, V.G.; Antonopoulos, A.V. Solar radiation estimation methods using ann and empirical models. Comput. Electron. Agric. 2019, 160, 160–167. [Google Scholar] [CrossRef]
- Xu, T.; Bateni, S.M.; Liang, S.; Entekhabi, D.; Mao, K. Estimation of surface turbulent heat fluxes via variational assimilation of sequences of land surface temperatures from Geostationary Operational Environmental Satellites. J. Geophys. Res. Atmos. 2014, 119, 10780–10798. [Google Scholar] [CrossRef]
- Xu, T.; He, X.; Bateni, S.M.; Auligne, T.; Liu, S.; Xu, Z.; Zhou, J.; Mao, K. Mapping regional turbulent heat fluxes via variational assimilation of land surface temperature data from polar orbiting satellites. Remote Sens. Environ. 2019, 221, 444–461. [Google Scholar] [CrossRef]
- Wang, Q.; Li, S.; Zeng, Q.; Sun, L.; Lin, H. Retrieval and Validation of AOD from Himawari-8 Data over Bohai Rim Region, China. Remote Sens. 2020, 12, 3425. [Google Scholar] [CrossRef]
- Dong, Y.; Chen, X.; Chen, Q. FY-4 Meteorological Satellite. China Eye-Catching Space News 2017, 18, 31–39. (In Chinese) [Google Scholar]







| Input Variable | Sensor | Manufacturer | Observation Height (m) | Site No. |
|---|---|---|---|---|
| Air temperature and humidity | HMP155 | Vaisala, Vantaa, Finland | 5 | 1, 3, 10, 16 |
| HMP45D | Vaisala, Vantaa, Finland | 5/10 5 | 2 12, 13, 14 | |
| HMP45C | Vaisala, Vantaa, Finland | 5 | 4, 5, 17 | |
| HMP45A | Vaisala, Vantaa, Finland | 1/1.99/2.99 | 20 | |
| HMP45AC | Vaisala, Vantaa, Finland | 5 5/10 | 7, 8, 9, 11 6, 18, 19, 21 | |
| AV-14TH | Avalon, Jersey City, NJ, USA | 3/5/10/15/20/30/40 | 15 | |
| four-component radiation | CNR4 | Kipp & Zonen, Delft, The Netherland | 6 4 | 1, 6, 8, 13, 14 2,7,12 |
| NR01 | Hukseflux, Delft, The Netherland | 6 | 3, 21 | |
| CNR1 | Kipp & Zonen, Delft, The Netherland | 6/4/2.51 | 4, 5, 9, 10,11, 17, 18, 19, 20 | |
| Q7 | REBS, Campbell Scientific, Rockford, IL, USA | 6 | 16 | |
| PSP & PIR | Eppley, Newport, RI, USA | 12 | 15 | |
| Surface temperature | SI-111 | Apogee, North Logan, UT, USA | 3.5 (Site.21)/4/6 | 5, 7, 11, 20 1, 3, 4, 6, 8, 9, 10, 16, 17, 21 |
| IRTC3 | Avalon, Jersey City, NJ, USA | 4 | 2, 12, 13, 14, 15, 18, 19 | |
| Press | PTB110 | Vaisala, Vantaa, Finland | - | 1,17,18,19 |
| AV-410BP | Avalon, Jersey City, NJ, USA | - | 2 | |
| PTB210 | Vaisala, Vantaa, Finland | - | 20 | |
| CS100 | Campbell, Rockford, IL, USA | - | 4,5,6,7,8,11,12,13,14,15,21 |
| Year/Date | Transfer Function | Number of Neurons in the Hidden Layer | Train Function | MSE/W/m2 | |
|---|---|---|---|---|---|
| Hidden Layer | Output Layer | ||||
| 2012/6/15 | tansig | purelin | 5 | trainlm | 0.13 |
| 2012/6/24 | tansig | purelin | 3 | trainlm | 0.14 |
| 2012/7/10 | tansig | purelin | 6 | trainlm | 0.24 |
| 2012/8/2 | tansig | purelin | 5 | trainlm | 0.18 |
| 2012/8/11 | tansig | purelin | 5 | trainlm | 0.26 |
| 2012/8/18 | tansig | purelin | 3 | trainlm | 0.35 |
| 2012/8/27 | tansig | purelin | 7 | trainlm | 0.53 |
| 2012/9/3 | tansig | purelin | 5 | trainlm | 0.44 |
| 2012/9/12 | tansig | purelin | 4 | trainlm | 0.22 |
| Site | RMSE/(W/m2) | MBE/(W/m2) | MPE/(%) |
|---|---|---|---|
| Vegetable | 24.36 | 9.15 | 1.78 |
| Village | 21.76 | −2.94 | 2.12 |
| Maize | 10.74 | 7.07 | 1.11 |
| Orchard | 46.10 | −41.44 | 4.38 |
| Gobi Desert | 38.02 | 35.40 | 3.98 |
| Sandy Desert | 30.34 | 14.93 | 2.54 |
| Desert Steppe | 23.70 | −16.33 | 2.21 |
| Wetland | 23.98 | −18.56 | 2.18 |
| Mean | 27.34 | −1.59 | 2.54 |
Publisher’s Note: MDPI stays neutral with regard to jurisdictional claims in published maps and institutional affiliations. |
© 2021 by the authors. Licensee MDPI, Basel, Switzerland. This article is an open access article distributed under the terms and conditions of the Creative Commons Attribution (CC BY) license (http://creativecommons.org/licenses/by/4.0/).
Share and Cite
Wang, W.; Feng, J.; Xu, F. Estimating Downward Shortwave Solar Radiation on Clear-Sky Days in Heterogeneous Surface Using LM-BP Neural Network. Energies 2021, 14, 273. https://doi.org/10.3390/en14020273
Wang W, Feng J, Xu F. Estimating Downward Shortwave Solar Radiation on Clear-Sky Days in Heterogeneous Surface Using LM-BP Neural Network. Energies. 2021; 14(2):273. https://doi.org/10.3390/en14020273
Chicago/Turabian StyleWang, Weizhen, Jiaojiao Feng, and Feinan Xu. 2021. "Estimating Downward Shortwave Solar Radiation on Clear-Sky Days in Heterogeneous Surface Using LM-BP Neural Network" Energies 14, no. 2: 273. https://doi.org/10.3390/en14020273
APA StyleWang, W., Feng, J., & Xu, F. (2021). Estimating Downward Shortwave Solar Radiation on Clear-Sky Days in Heterogeneous Surface Using LM-BP Neural Network. Energies, 14(2), 273. https://doi.org/10.3390/en14020273
