Liquid Air as an Energy Carrier for Liquefied Natural Gas Cold Energy Distribution in Cold Storage Systems
Abstract
1. Introduction
2. Conceptual Design of Energy Storing and Distributing Systems
2.1. Description of the Supply Chain for the Energy Storing and the Utilizing System
- Both base/peak loads and off-peak electricity are used to store the LNG cold energy.
- The air liquefaction system operates 24 h/day, as the purpose of the system is storing the LNG cold energy.
- Only a cold storage system is considered as the energy distribution site subsystem.
- To use liquid air entirely, multiple cold storage systems are connected to one air liquefaction system.
- All cold storage systems have the same operating conditions.
- Dry air is liquefied in the energy storing system.
- There are no pressure drops during the energy storing and the energy distributing processes.
- Cold losses are neglected in the overall processes.
2.1.1. Air Liquefaction System for Energy Storage
2.1.2. Liquid Air Transportation
2.1.3. Cold Storage System for Energy Distribution
3. Method of System Evaluation
3.1. Thermodynamic Analysis
3.1.1. Energy Analysis
Specific Energy Consumption and Liquid Yield in the Air Liquefaction System
Liquid Air Consumption Rate and Power Generation of the LACS
Coefficient of Performance (COP) and Recovery Efficiency of LACS
3.1.2. Exergy Analysis
3.2. Economic Analysis
3.2.1. Life-Cycle Cost Analysis
CAPEX
OPEX
Liquid Air Production Cost
3.3. Case Study: Comparison between Conventional NH3/CO2 Refrigeration System and Proposed Supply Chain
4. Results and Discussion
4.1. Thermodynamic Analysis of the Proposed Supply Chain
4.1.1. Air Liquefaction System
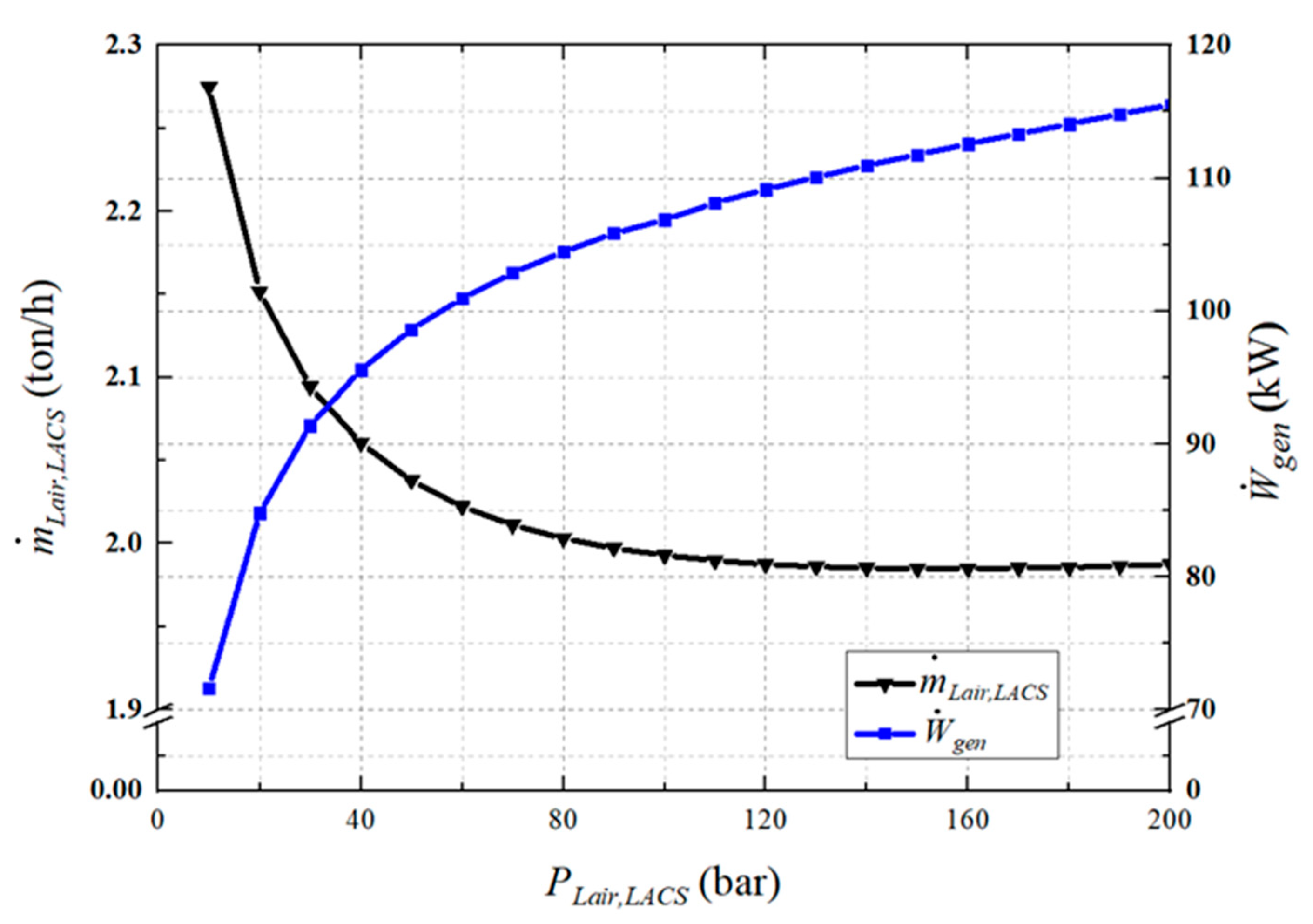
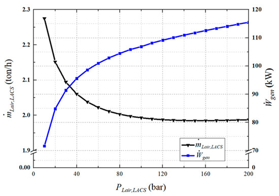
4.1.2. LACS in Proposed Supply Chain
4.1.3. Exergy Efficiency and Exergy Flow Diagram of the Proposed Supply Chain
4.1.4. Case Study: Thermodynamic Comparison between Proposed Supply Chain and NH3/CO2 Cascade Refrigeration System
4.2. Economic Evaluation
4.2.1. Liquid Air Production Cost
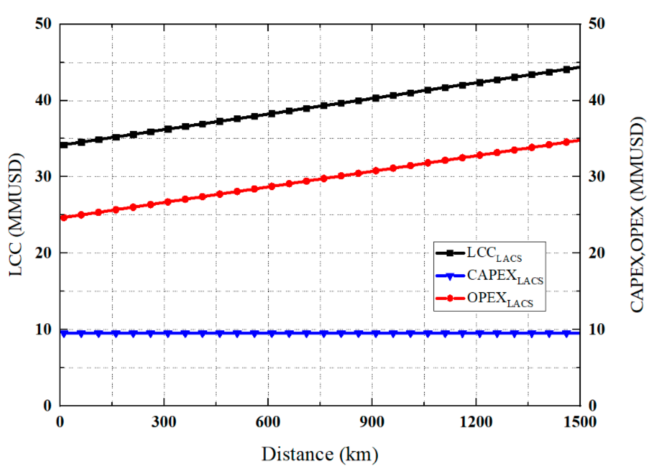
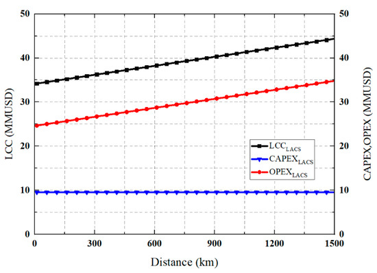
4.2.2. LCC of Cold Storage Systems
4.2.3. Case Study: LCC Comparison between NH3/CO2 Refrigeration System and LACS
4.3. Sensitivity Analysis
5. Conclusions
Author Contributions
Funding
Institutional Review Board Statement
Informed Consent Statement
Conflicts of Interest
References
- De Sisternes, F.J.; Jenkins, J.D.; Botterud, A. The value of energy storage in decarbonizing the electricity sector. Appl. Energy 2016, 175, 368–379. [Google Scholar] [CrossRef]
- American Petroleum Institute (API). Available online: https://www.api.org/oil-and-natural-gas/wells-to-consumer/exploration-and-production/natural-gas/methodology-for-estimating-ghgs-from-lng (accessed on 2 January 2021).
- Chino, K.; Araki, H. Evaluation of energy storage method using liquid air. Heat Transf. Asian Res. 2000, 29, 347–357. [Google Scholar] [CrossRef]
- Morgan, R.E. Liquid air energy storage–From theory to demonstration. Int. J. Environ. Stud. 2016, 73, 469–480. [Google Scholar] [CrossRef]
- Centre for Low Carbon Futures. Available online: https://www.slideshare.net/tswittrig/liquid-airtechnologies-cold-economy-2013 (accessed on 6 January 2021).
- Kroposki, B.; Basso, T.; DeBlasio, R. Microgrid standards and technologies. In Proceedings of the IEEE Power and Energy Society General Meeting, Pittsburgh, CA, USA, 20–24 July 2008; pp. 1–4. [Google Scholar] [CrossRef]
- Faisal, M.; Hannan, M.A.; Ker, P.J.; Hussain, A.; Mansor, M.B.; Blaabjerg, F. Review of energy storage system technologies in microgrid applications: Issues and challenges. IEEE Acc. 2018, 6, 35143–35164. [Google Scholar] [CrossRef]
- Kanellos, F.D.; Tsouchnikas, A.I.; Hatziargyriou, N.D. Micro-grid simulation during grid-connected and islanded modes of operation. In Proceedings of the International Conference on Power Systems Transients, Montreal, QC, Canada, 19–23 June 2005. Paper No. IPST05–113. [Google Scholar]
- Patrao, I.; Figueres, E.; Garcerá, G.; González-Medina, R. Microgrid architectures for low-voltage distributed generation. Renew. Sustain. Energy Rev. 2015, 43, 415–424. [Google Scholar] [CrossRef]
- Aghamohammadi, M.R.; Abdolahinia, H. A new approach for optimal sizing of battery energy storage system for primary frequency control of islanded microgrid. Int. J. Electr. Power Energy Syst. 2014, 54, 325–333. [Google Scholar] [CrossRef]
- Kishimoto, K.; Hasegawa, K.; Asano, T. Development of generator of liquid air storage energy system. Mitsubishi Juko Giho 1998, 35, 60–63. [Google Scholar]
- Guizzi, G.L.; Manno, M.; Tolomei, L.M.; Vitali, R.M. Thermodynamic analysis of a liquid air energy storage system. Energy 2015, 93, 1639–1647. [Google Scholar] [CrossRef]
- Morgan, R.; Nelmes, S.; Gibson, E.; Brett, G. Liquid air energy storage–Analysis and first results from a pilot scale demonstration plant. Appl. Energy 2015, 137, 845–853. [Google Scholar] [CrossRef]
- Sciacovelli, A.; Vecchi, A.; Ding, Y. Liquid air energy storage (LAES) with packed bed cold thermal storage–From component to system level performance through dynamic modelling. Appl. Energy 2017, 190, 84–98. [Google Scholar] [CrossRef]
- She, X.; Peng, X.; Nie, B.; Leng, G.; Zhang, X.; Weng, L.; Tong, L.; Zheng, L.; Wang, L.; Ding, Y. Enhancement of round trip efficiency of liquid air energy storage through effective utilization of heat of compression. Appl. Energy 2017, 206, 1632–1642. [Google Scholar] [CrossRef]
- Borri, E.; Tafone, A.; Romagnoli, A.; Comodi, G. A preliminary study on the optimal configuration and operating range of a “microgrid scale” air liquefaction plant for Liquid Air Energy Storage. Energy Convers. Manag. 2017, 143, 275–285. [Google Scholar] [CrossRef]
- Antonelli, M.; Barsali, S.; Desideri, U.; Giglioli, R.; Paganucci, F.; Pasini, G. Liquid air energy storage: Potential and challenges of hybrid power plants. Appl. Energy 2017, 194, 522–529. [Google Scholar] [CrossRef]
- Kim, J.; Noh, Y.; Chang, D. Storage system for distributed-energy generation using liquid air combined with liquefied natural gas. Appl. Energy 2018, 212, 1417–1432. [Google Scholar] [CrossRef]
- Ahmad, A.; Al-Dadah, R.; Mahmoud, S. Air conditioning and power generation for residential applications using liquid nitrogen. Appl. Energy 2016, 184, 630–640. [Google Scholar] [CrossRef]
- Ahmad, A.; Al-Dadah, R.; Mahmoud, S. Liquid air utilization in air conditioning and power generating in a commercial building. J. Clean. Prod. 2017, 149, 773–783. [Google Scholar] [CrossRef]
- Sung, T.; Kim, K.C. LNG cold energy utilization technology. In Energy Solutions to Combat Global Warming; Springer: Cham, Germany, 2017; pp. 47–66. [Google Scholar] [CrossRef]
- Li, S.; Wang, B.; Dong, J.; Jiang, Y. Thermodynamic analysis on the process of regasification of LNG and its application in the cold warehouse. Therm. Sci. Eng. Prog. 2017, 4, 1–10. [Google Scholar] [CrossRef]
- Yang, K.H.; Wu, S.C. Design analysis of a refrigerated warehouse using LNG cold energy. Int. J. Arch. Sci. 2003, 4, 14–23. [Google Scholar]
- Lian, J.; Xia, B.; Yin, Y.; Yang, G.; Yang, Y.; Gou, X.; Wang, E.; Liu, L.; Wu, J. Research on high efficient utilization of LNG cold energy. In Proceedings of the 4th International Conference on Computer, Mechatronics, Control and Electric Engineering, Hangzhou, China, 28–29 September 2015; pp. 283–287. [Google Scholar] [CrossRef]
- Dispenza, C.; Dispenza, G.; La Rocca, V.; Panno, G. Exergy recovery in regasification facilities—A cold utilization: A modular unit. Appl. Therm. Eng. 2009, 29, 3595–3608. [Google Scholar] [CrossRef][Green Version]
- Zhang, T.; Chen, L.; Zhang, X.; Mei, S.; Xue, X.; Zhou, Y. Thermodynamic analysis of a novel hybrid liquid air energy storage system based on the utilization of LNG cold energy. Energy 2018, 155, 641–650. [Google Scholar] [CrossRef]
- Peng, X.; She, X.; Li, C.; Luo, Y.; Zhang, T.; Li, Y.; Ding, Y. Liquid air energy storage flexibly coupled with LNG regasification for improving air liquefaction. Appl. Energy 2019, 250, 1190–1201. [Google Scholar] [CrossRef]
- Lee, I.; You, F. Systems design and analysis of liquid air energy storage from liquefied natural gas cold energy. Appl. Energy 2019, 242, 168–180. [Google Scholar] [CrossRef]
- Sohn, Y.; Yang, Y.; Yoon, I.; Choi, G. Basic design of Pyeongtaek LNG receiving terminal-II of Korea gas corporation. In Proceedings of the Gastech, Bilbao, Spain, 14–17 March 2005; pp. 1–7. [Google Scholar]
- Jang, N.; Shin, M.W.; Choi, S.H.; Yoon, E.S. Dynamic simulation and optimization of the operation of boil-off gas compressors in a liquefied natural gas gasification plant. Korean J. Chem. Eng. 2011, 28, 1166–1171. [Google Scholar] [CrossRef]
- Kim, J.; Seo, Y.; Chang, D. Economic evaluation of a new small-scale LNG supply chain using liquid nitrogen for natural-gas liquefaction. Appl. Energy 2016, 182, 154–163. [Google Scholar] [CrossRef]
- Yin, Q.S.; Li, H.Y.; Fan, Q.H.; Jia, L.X. Economic analysis of mixed-refrigerant cycle and nitrogen expander cycle in small scale natural gas liquefier. AIP Conf. Proc. 2008, 985, 1159–1165. [Google Scholar] [CrossRef]
- Cui, L.; Kim, Y.J.; Kim, C. Estimation model of electric energy consumption on logistics center based on thermodynamics theory. J. Korea Acad. Ind. Coop. Soc. 2015, 16, 6799–6806. [Google Scholar] [CrossRef]
- Bjork, A.; Kongstad, C.S. Conditions for Design and Control of Refrigeration Systems in Fish Processing Plants. Master’s Thesis, Chalmers University of Technology, Göteborg, Sweden, 2006. [Google Scholar]
- Mosaffa, A.H.; Farshi, L.G.; Ferreira, C.A.I.; Rosen, M.A. Exergoeconomic and environmental analyses of CO2/NH3 cascade refrigeration systems equipped with different types of flash tank intercoolers. Energy Convers. Manag. 2016, 117, 442–453. [Google Scholar] [CrossRef]
- Messineo, A. R744-R717 Cascade refrigeration system: Performance evaluation compared with a HFC two-stage system. Energy Procedia 2012, 14, 56–65. [Google Scholar] [CrossRef]
- Querol, E.; Gonzalez-Regueral, B.; Perez-Benedito, J.L. Practical Approach to Exergy and Thermoeconomic Analyses of Industrial Processes; Springer Science & Business Media: Berlin, Germany, 2012; ISBN 978-1-4471-4622-3. [Google Scholar] [CrossRef]
- Peters, M.S.; Timmerhaus, K.D.; West, R.E. Plant Design and Economics for Chemical Engineers; McGraw-Hill: New York, NY, USA, 1968; ISBN 978-0-0723-9266-1. [Google Scholar]
- Lee, B.; Chae, H.; Choi, N.; Moon, C.; Moon, S.; Lim, H. Economic evaluation with sensitivity and profitability analysis for hydrogen production from water electrolysis in Korea. Int. J. Hydrogen Energy 2017, 42, 6462–6471. [Google Scholar] [CrossRef]
- Linde Group. Available online: https://www.linde-engineering.com/en/images/30160_LE_Manufacturing_PFHE_brochure_update_RZ_VIEW_tcm19-406598.pdf (accessed on 2 January 2021).















| Items | Value | Unit |
|---|---|---|
| ηcomp | 0.88 | - |
| ηpump,liq | 0.80 | - |
| 200 | ton/h | |
| PLair,storage | 1.01 | bar |
| PLNG,pump | 77.00 | bar |
| TNG | 0.00 | °C |
| Tpinch,hx | 4.00 | °C |
| Items | LNG (Mole %) | Inlet Air (Mole %) |
|---|---|---|
| Methane | 89.26 | - |
| Ethane | 8.64 | - |
| Propane | 1.44 | - |
| i-Butane | 0.35 | - |
| n-Butane | 0.27 | - |
| Nitrogen | 0.04 | 79.0 |
| Oxygen | - | 21.0 |
| No. | Flow Rate (ton/h) | Pressure (bar) | Temperature (°C) |
|---|---|---|---|
| 1 | 302.7 | 1.013 | 25.00 |
| 2 | 578.9 | 1.013 | −28.23 |
| 3 | 578.9 | 5.110 | 134.4 |
| 4 | 578.9 | 5.110 | 25.00 |
| 5 | 578.9 | 25.77 | 220.1 |
| 6 | 578.9 | 25.77 | 25.00 |
| 7 | 578.9 | 130.0 | 221.7 |
| 8 | 578.9 | 130.0 | 25.00 |
| 9 | 578.9 | 130.0 | −148.1 |
| 10 | 578.9 | 1.013 | −194.3 |
| 11 | 302.7 | 1.013 | −194.3 |
| 12 | 276.2 | 1.013 | −194.3 |
| 13 | 276.2 | 1.013 | −85.91 |
| 14 | 302.7 | 1.013 | −194.3 |
| 15 | 200.0 | 1.013 | −164.5 |
| 16 | 200.0 | 77.00 | −161.0 |
| 17 | 200.0 | 77.00 | 0.000 |
| Items | Value | Unit |
|---|---|---|
| ηexp,LACS | 0.8 | - |
| ηpump,LACS | 0.8 | - |
| Tpinch,hx | 4 | °C |
| Tstorage | −29 | °C |
| Qcooling | 300 | kW |
| No. | Flow Rate (ton/h) | Pressure (bar) | Temperature (°C) |
|---|---|---|---|
| 1 | 1.993 | 1.013 | −194.3 |
| 2 | 1.993 | 100.0 | −189.6 |
| 3 | 1.993 | 100.0 | −31.62 |
| 4 | 1.993 | 21.64 | −110.3 |
| 5 | 1.993 | 21.64 | −31.62 |
| 6 | 1.993 | 4.682 | −103.9 |
| 7 | 1.993 | 4.682 | −31.62 |
| 8 | 1.993 | 1.013 | −101.8 |
| 9 | 1.993 | 1.013 | −31.62 |
| Items | Contents | f |
|---|---|---|
| Direct costs | Purchased equipment | 1 |
| Installation | 0.47 | |
| Instrumentation and control | 0.18 | |
| Piping | 0.66 | |
| Electrical | 0.11 | |
| Buildings | 0.18 | |
| Yard | 0.10 | |
| Services | 0.70 | |
| Land | 0.06 | |
| Indirect costs | Engineering supervision | 0.33 |
| Construction expenses | 0.41 | |
| Contractor’s fees | 0.21 | |
| Contingency | 0.42 | |
| Working capital | 0.85 |
| Item | Description | Reference |
|---|---|---|
| Compressors | Air compressor Gas compressor | 476 USD/kW [18] APEA |
| Turbine | Air expander | 1343 USD/kW [32] a |
| Storage tank | Liquid air storage tank | APEA |
| Separator | Cryogenic vessel | APEA |
| Cryogenic pumps | LNG pump Liquid air pump | APEA |
| Heat exchangers | Plate fin HX Shell and tube HX Evaporator Condenser | APEA |
| Trucks | Heavy truck | 0.5 million USD/truck [31] |
| Target System | Item | Value |
|---|---|---|
| Air liquefaction system LACS NH3/CO2 refrigeration system | Operating labor cost | 35,000 USD/labor |
| Electricity cost | 0.07 USD/kWh | |
| Carbon tax | 30 USD/ton CO2 | |
| Maintenance and repairs | 7% of CAPEX | |
| Operating supplies | 15% of maintenance and repairs | |
| Local taxes | 3% of CAPEX | |
| Insurance | 1% of CAPEX | |
| Plant overhead costs | 60% of plant overhead costs | |
| Transportation | Operational costs | 0.86 USD/km |
| LACS | Liquid air production cost | 40.4 USD/ton a |
| Item | Value | Unit |
|---|---|---|
| Pair,comp | 130 | bar |
| PLair,LACS | 100 | bar |
| Delivery distance | 100 | km |
| Cold storage operating time | 10 | h/day |
| Item | ||||
|---|---|---|---|---|
| 1st compressor | 27.67 | 25.26 | 2.41 | 1.56 |
| 2nd compressor | 55.14 | 52.72 | 2.42 | 1.57 |
| 3rd compressor | 78.00 | 75.56 | 2.44 | 1.58 |
| 1st intercooler | 25.89 | 22.70 | 3.19 | 2.07 |
| 2nd intercooler | 53.87 | 45.27 | 8.60 | 5.57 |
| 3rd intercooler | 76.81 | 67.49 | 9.32 | 6.04 |
| Multistream HX | 137.65 | 130.45 | 7.20 | 4.66 |
| J-T valve | 95.03 | 75.23 | 19.8 | 12.8 |
| Separator | 75.23 | 74.91 | 0.32 | 0.21 |
| LNG pump | 57.58 | 56.67 | 0.91 | 0.59 |
| Lair pump | 62.31 | 61.02 | 1.29 | 0.84 |
| 1st evaporator | 66.80 | 33.56 | 33.24 | 14.1 |
| 2nd evaporator | 27.86 | 22.59 | 5.27 | 1.32 |
| 3rd evaporator | 15.80 | 11.57 | 4.23 | 0.98 |
| 4th evaporator | 4.50 | 0.52 | 3.98 | 0.90 |
| 1st expander | 33.56 | 31.20 | 2.36 | 1.53 |
| 2nd expander | 22.59 | 20.01 | 2.58 | 1.67 |
| 3rd expander | 11.57 | 8.94 | 2.63 | 1.71 |
Publisher’s Note: MDPI stays neutral with regard to jurisdictional claims in published maps and institutional affiliations. |
© 2021 by the authors. Licensee MDPI, Basel, Switzerland. This article is an open access article distributed under the terms and conditions of the Creative Commons Attribution (CC BY) license (http://creativecommons.org/licenses/by/4.0/).
Share and Cite
Che, S.; Kim, J.; Chang, D. Liquid Air as an Energy Carrier for Liquefied Natural Gas Cold Energy Distribution in Cold Storage Systems. Energies 2021, 14, 272. https://doi.org/10.3390/en14020272
Che S, Kim J, Chang D. Liquid Air as an Energy Carrier for Liquefied Natural Gas Cold Energy Distribution in Cold Storage Systems. Energies. 2021; 14(2):272. https://doi.org/10.3390/en14020272
Chicago/Turabian StyleChe, Sanghyun, Juwon Kim, and Daejun Chang. 2021. "Liquid Air as an Energy Carrier for Liquefied Natural Gas Cold Energy Distribution in Cold Storage Systems" Energies 14, no. 2: 272. https://doi.org/10.3390/en14020272
APA StyleChe, S., Kim, J., & Chang, D. (2021). Liquid Air as an Energy Carrier for Liquefied Natural Gas Cold Energy Distribution in Cold Storage Systems. Energies, 14(2), 272. https://doi.org/10.3390/en14020272
