Theoretical Analysis of Vuilleumier’s Hypothetical Engine and Cooler
Abstract
1. Introduction
2. Principles of Hofbauer’s Vuilleumier Cycle Heat Pump
2.1. Current Adiabatic Vuilleumier Models
2.1.1. Variations of Working Fluid’s Mass in Respective Components
2.1.2. Variations of Pressure
2.1.3. Variations of Temperatures in Hot, Warm and Cold Chambers
2.1.4. PV Power Flow in Hot, Warm and Cold Chambers
2.1.5. Heat Flow in Hot, Warm and Cold Heat Exchangers
2.1.6. Overall Performance of Vuilleumier
2.1.7. Performance of Vuilleumier’s Engine and Cooler
2.1.8. Four Chambers Model with Two Separate Warm Chambers
2.2. Improved Vuilleumier Model: Virtual Piston Based Vuilleumier Model
2.2.1. Assumption of Virtual Piston
2.2.2. Model for Engine’s Output Work
2.2.3. Method of Tracking the Position of Virtual Piston
Tracking the Position of Virtual Piston during the Process of 0~90°
Tracking the Position of Virtual Piston during the Process of 90~180°
Tracking the Position of Virtual Piston during the Process of 180~360°
2.2.4. Difference between Virtual Piston Based Vuilleumier Model and Current Vuilleumier Model
3. Results and Discussions
3.1. Overall Performance of Vuilleumier Machine
3.2. Respective Performance of Hypothetical Engine and Cooler
3.2.1. Respective Performance Based on PV Power Flow in Current Vuilleumier Models
3.2.2. Respective Performance Based on Heat Flow in Current Vuilleumier Models and PV Power Flow in VPBVM
Analysis of TCVM
Analysis of FCVM
Analysis of VPBVM
3.3. Engine’s Compression Ratio
4. Conclusions
- (1)
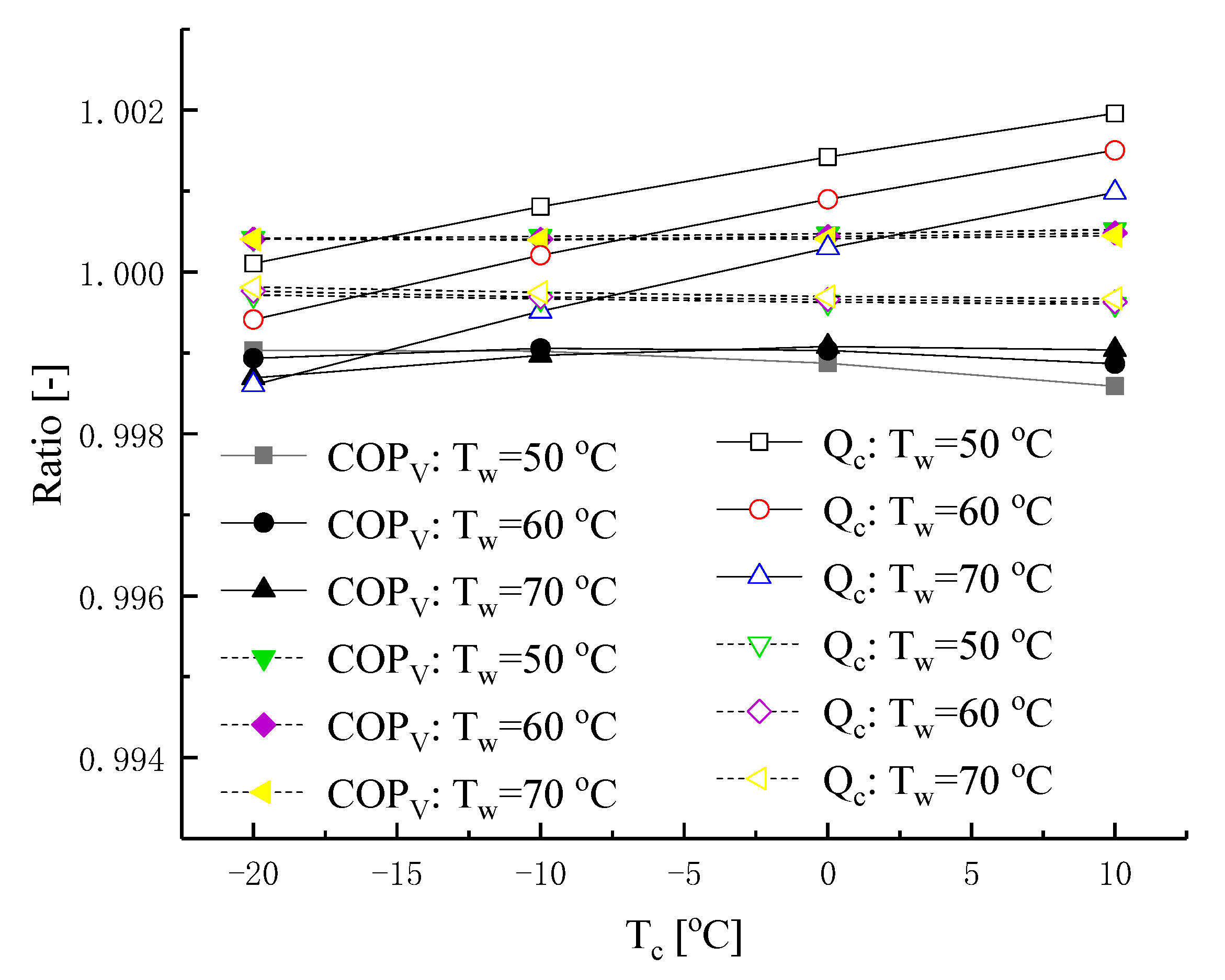
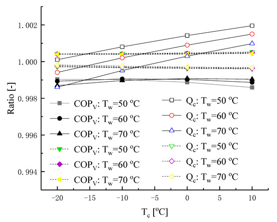
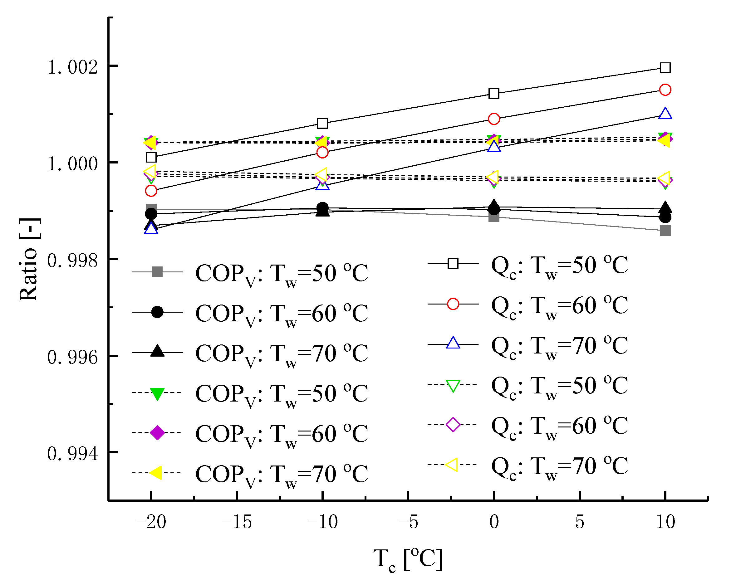
- The overall performances of the Vuilleumier machine were the same in VPBVM and the current adiabatic model. Thus, the assumption of a virtual piston will not affect the evaluation of Vuilleumier performance. In fact, VPBVM only provides a method for tracking the variations of the engine’s total volume. The pressure and temperatures in the engine’s and cooler’s working fluids are the same as those in current Vuilleumier models.
- (2)
- Both PV power flow and heat flow methods were employed for the analysis of the hypothetical Stirling engine’s and Stirling cooler’s performance in current Vuilleumier models. The results showed that these methods were ineffective in the analysis of the hypothetical Stirling engine and Stirling cooler in Vuilleumier machines. It also indicates that respective performances of the hypothetical Stirling engine and Stirling cooler cannot be obtained based on experiments, since experiments are usually based on PV power flow and heat flow methods.
- (3)
- The assumption of a virtual piston in VPBVM provides a solution to track the variations of the engine’s and cooler’s compression volumes. Thus, variations of the engine’s and cooler’s volumes during the cycle can be monitored. As a result, the respective performances of the Vuilleumier’s engine and cooler can be obtained based on VPBVM. Moreover, the engine’s compression ratio can be obtained in VPBVM. The obtained engine’s compression ratio explained that a relatively smaller thermal efficiency was obtained at high cold temperature in Vuilleumier machines. Moreover, the obtained engine’s compression ratio could be used in the optimization of the Vuilleumier’s engine and cooler. However, the VPBVM in this work is based on the assumption of an engine’s total working fluid. Variations of the engine’s total working fluid could lead to small variations in respective performance.
Author Contributions
Funding
Institutional Review Board Statement
Informed Consent Statement
Data Availability Statement
Conflicts of Interest
Nomenclature
| Variable | |
| A | Area (m2) |
| Cv | specific heat at constant volume (J·kg−1·K−1) |
| Cp | specific heat at constant pressure (J·kg−1·K−1) |
| COP | coefficient of performance |
| m | working fluid’s mass (kg) |
| Q | heat (J) |
| P | pressure (kPa) |
| R | gas constant (kJ·kg−1·K−1) |
| T | temperature (K) |
| working fluid’s temperature to the interface between chamber and heat exchanger (K) | |
| V | volume (m3) |
| W | work (J) |
| x | displacer’s displacement (m) |
| η | thermal efficiency (-) |
| ε | compression ratio |
| γ | ratio of specific heat |
| φ | angle (°) |
| Subscript | |
| 1,2,……,9 | shown in Figure 3 |
| 2E | volume occupied by engine in warm chamber, which is marked in green in Figure 5a |
| 2i, 2o, 4i, 4o | shown in Figure 4 |
| 7E | volume occupied by engine in cold-warm heat exchanger, which is marked in green in Figure 5c |
| 8E | volume occupied by engine in cold regenerator |
| ce, wr, rc, wc, rh, he | interface shown in Figure 4 |
| c | cold |
| C | cooler |
| Carnot | relative Carnot efficiency |
| con | conduction loss |
| E | engine |
| h | hot |
| r | rod |
| R | regenerator loss |
| shuttle | shuttle loss |
| practical | practical machine |
| V | Vuilleumier machine |
| w | warm |
References
- Carlsen, H. Results from 20 kW Vuilleumier heat pump test program. In Proceedings of the Intersociety Energy Conversion Engineering Conference, Monterey, CA, USA, 7–12 August 1994. [Google Scholar]
- Woods, J.; Bonnema, E. Regression-based approach to modeling emerging HVAC technologies in EnergyPlus: A case study using a Vuilleumier-cycle heat pump. Energy Build. 2019, 186, 195–207. [Google Scholar] [CrossRef]
- Guo, T.; Jiang, T.; Zou, P.; Luo, B.; Hofbauer, P.; Liu, J.; Huang, Y. Analytical model for Vuilleumier cycle. Int. J. Refrig. 2020, 113, 126–135. [Google Scholar] [CrossRef]
- Bakker, E.J.; Garde, J.V.D.; Jansen, K.; Wagener, P. Gas Heat Pumps: Efficient Heating and Cooling with Natural Gas; Gas Terra/Castel International: Groningen, The Netherlands, 2010. [Google Scholar]
- Free Piston Stirling Engine Based 1 kW Generator. Available online: https://arpa-e.energy.gov/sites/default/files/6_Sunpower.pdf (accessed on 15 September 2021).
- Janssen, M.; Beks, P. Measurement and Application of Performance Characteristics of a Free Piston Stirling Cooler. 2002. R3-3. Available online: https://citeseerx.ist.psu.edu/viewdoc/download?doi=10.1.1.682.4376&rep=rep1&type=pdf (accessed on 13 September 2021).
- Dogkas, G.; Rogdakis, E. A review on Vuilleumier machines. Therm. Sci. Eng. Prog. 2018, 8, 340–354. [Google Scholar] [CrossRef]
- Kühl, H.-D.; Shulz, S. Measured Performance of an Experimental Vuilleumier Heat Pump in Comparison To 3rd Order Theory. In Proceedings of the 25th Intersociety Energy Conversion Engineering Conference, Reno, NV, USA, 12–17 August 1990. [Google Scholar]
- Kawajiri, K.; Honda, T.; Sugimoto, T. Study of Free Piston Vuilleumier Heat Pump. Basic Performance Analysis. JSME Int. J. Ser. B 1997, 40, 617–625. [Google Scholar] [CrossRef][Green Version]
- Pfeffer, T.; Kühl, H.-D.; Schulz, S.; Walther, C. Entwicklung und Experimentelle Untersuchung Neuer Regeneratorkonzepte fur Regenerative Gaskreisprozesse am Beispiel Einer Vuilleumier-Warmepumpe. Forsch Ingenieurwes 2000, 65, 257–272. [Google Scholar] [CrossRef]
- Kuehl, H.-D.; Schulz, S.; Walther, C. Thermodynamic Design and Optimization of a 20 kW Vuilleumier Heat Pump. SAE Technical Paper Series 1999. [Google Scholar] [CrossRef]
- Zou, P.; Gao, Q.; Wang, S.; Yang, J.; Luo, B.; Hofbauer, P.; Liu, J.; Huang, Y.; Ren, C. A method of analyzing the respective performances of hypothetical stirling engine and stirling cooler in Vuilleumier machine. Int. J. Refrig. 2020, 118, 376–383. [Google Scholar] [CrossRef]
- Chen, H.; Longtin, J.P. Performance analysis of a free-piston Vuilleumier heat pump with dwellbased motion. Appl. Therm. Eng. 2018, 140, 553–563. [Google Scholar] [CrossRef]
- Sowale, A.; Kolios, A.J.; Fidalgo, B.; Somorin, T.; Parker, A.; Williams, L.; Collins, M.; McAdam, E.; Tyrrel, S. Thermodynamic analysis of a gamma type Stirling engine in an energy recovery system. Energy Convers. Manag. 2018, 165, 528–540. [Google Scholar] [CrossRef]
- Cheng, C.H.; Yang, H.S.; Keong, L. Theoretical and experimental study of a 300-W beta-type Stirling engine. Energy 2013, 59, 590–599. [Google Scholar] [CrossRef]
- Udeh, G.T.; Michailos, S.; Ingham, D.; Hughes, K.J.; Ma, L.; Pourkashanian, M. A new non-ideal second order thermal model with additional loss effects for simulating beta Stirling engines. Energy Convers. Manag. 2020, 206, 112493. [Google Scholar] [CrossRef]
- Li, R.; Grosu, L. Parameter effect analysis for a Stirling cryocooler. Int. J. Refrig. 2017, 80, 92–105. [Google Scholar] [CrossRef]
- Alireza, B.; Ali, K. A Gamma type Stirling refrigerator optimization: An Experimental and Analytical investigation. Int. J. Refrig. 2018, 91, 89–100. [Google Scholar]
- Luo, B.J.; Zou, P.; Jiang, T.; Gao, Q.; Liu, J. Decoupled duplex Stirling machine: Conceptual design and theoretical analysis. Energy Convers. Manag. 2020, 210, 112704. [Google Scholar] [CrossRef]
- Georges, H.A.; Christophe, A.; Malahi, A.; François, L. Thermodynamic Analysis of the Stirling Duplex Machine. Adv. Eng. Forum. 2018, 30, 80–91. [Google Scholar]
- Liao, C.; Jiang, T.; Hofbauer, P.; Ye, W.; Liu, J.; Luo, B.; Huang, Y. Simplified model and analysis for the performance of Hofbauer–Vuilleumier heat pump. Int. J. Refrig. 2019, 103, 126–134. [Google Scholar] [CrossRef]
- Homutescu, V.M.; Bălănescu, D.T.; Popescu, A. Adiabatic Behavior of the Vuilleumier Heat Pump. IOP Conf. 2018, 444, 082025. [Google Scholar] [CrossRef]
- Suganami, T.; Kawajiri, K.; Honda, T. Vuilleumier Cycle Heat Pump. In Proceeding of the 1989 JAR Annual Conference. 1990. Available online: https://www.sciencedirect.com/science/article/pii/B9780080401935500687 (accessed on 13 September 2021).
- Kawajiri, K.; Honda, T.; Sugimoto, T. Study of free piston Vuilleumier heat pump: Performance characteristics of prototype machine during forced vibration. Trans. Jpn. Soc. Mech. Eng. B 1997, 40, 626–634. [Google Scholar] [CrossRef][Green Version]
- Egas, J.; Clucas, D.M. Stirling engine configuration selection. Energies 2018, 11, 584. [Google Scholar] [CrossRef]










| Author | Tc [K] | Tw [K] | Th [K] | COPv | COPCartnot |
|---|---|---|---|---|---|
| Kuhl [8] | 263 | 313 | 773 | 0.161 | 0.05 |
| Carlsen [1] | 285 | 313 | 873 | 0.665 | 0.1 |
| Kawajiri [9] | 285 | 318 | 973 | <0.7 | <0.12 |
| Pfeffer [10] | 273 | 323 | 773 | 0.392 | 0.12 |
| Kuhl [11] | 262 | 306 | 853 | 0.571 | 0.15 |
| Current | VIRTUAL Piston | |
|---|---|---|
| pressure | Completely Same | |
| Temperature | Completely Same | |
| Absorbed heat | Completely same | |
| work | ||
Publisher’s Note: MDPI stays neutral with regard to jurisdictional claims in published maps and institutional affiliations. |
© 2021 by the authors. Licensee MDPI, Basel, Switzerland. This article is an open access article distributed under the terms and conditions of the Creative Commons Attribution (CC BY) license (https://creativecommons.org/licenses/by/4.0/).
Share and Cite
Liu, Q.; Luo, B.; Yang, J.; Gao, Q.; Liu, J.; Huang, Y.; Ren, C. Theoretical Analysis of Vuilleumier’s Hypothetical Engine and Cooler. Energies 2021, 14, 5923. https://doi.org/10.3390/en14185923
Liu Q, Luo B, Yang J, Gao Q, Liu J, Huang Y, Ren C. Theoretical Analysis of Vuilleumier’s Hypothetical Engine and Cooler. Energies. 2021; 14(18):5923. https://doi.org/10.3390/en14185923
Chicago/Turabian StyleLiu, Qi, Baojun Luo, Jiayao Yang, Qun Gao, Jingping Liu, Yuexin Huang, and Chengqin Ren. 2021. "Theoretical Analysis of Vuilleumier’s Hypothetical Engine and Cooler" Energies 14, no. 18: 5923. https://doi.org/10.3390/en14185923
APA StyleLiu, Q., Luo, B., Yang, J., Gao, Q., Liu, J., Huang, Y., & Ren, C. (2021). Theoretical Analysis of Vuilleumier’s Hypothetical Engine and Cooler. Energies, 14(18), 5923. https://doi.org/10.3390/en14185923

