A Numerical Investigation of Mixing Models in LES-FMDF for Compressible Reactive Flows
Abstract
:1. Introduction
2. Materials and Methods
2.1. Lagrangian PDF Approach
2.2. Mixing Models
2.2.1. IEM Model
2.2.2. EMST Model
3. Results and Discussion
3.1. Numerical Scheme
- (i)
- A simplicity, single-step chemical reaction without heat release;
- (ii)
- A hydrogen and oxygen reaction with 9 species and 21 elementary reaction steps, i.e., the O’ Conaire-2004 [36] reaction mechanism.
3.2. Verification of LES-FMDF Methodology
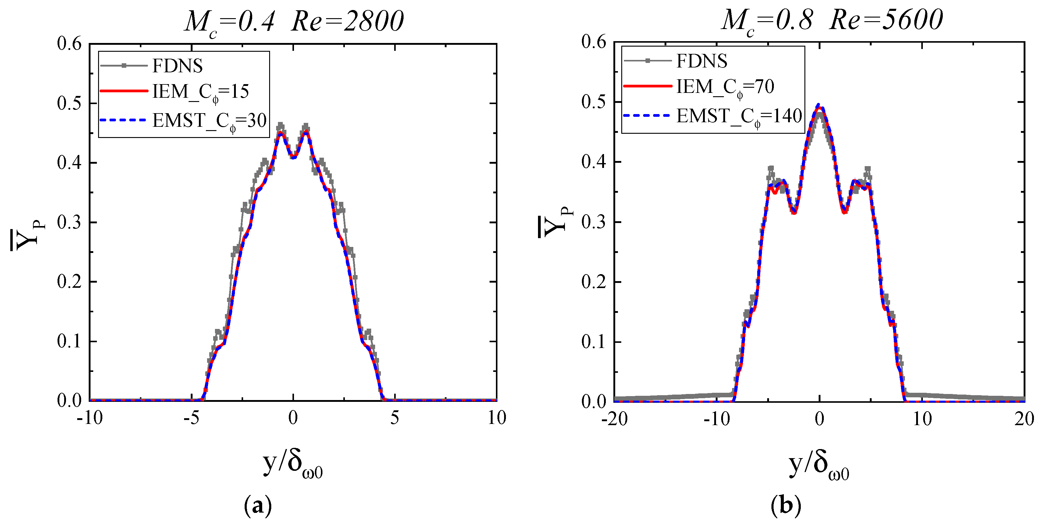
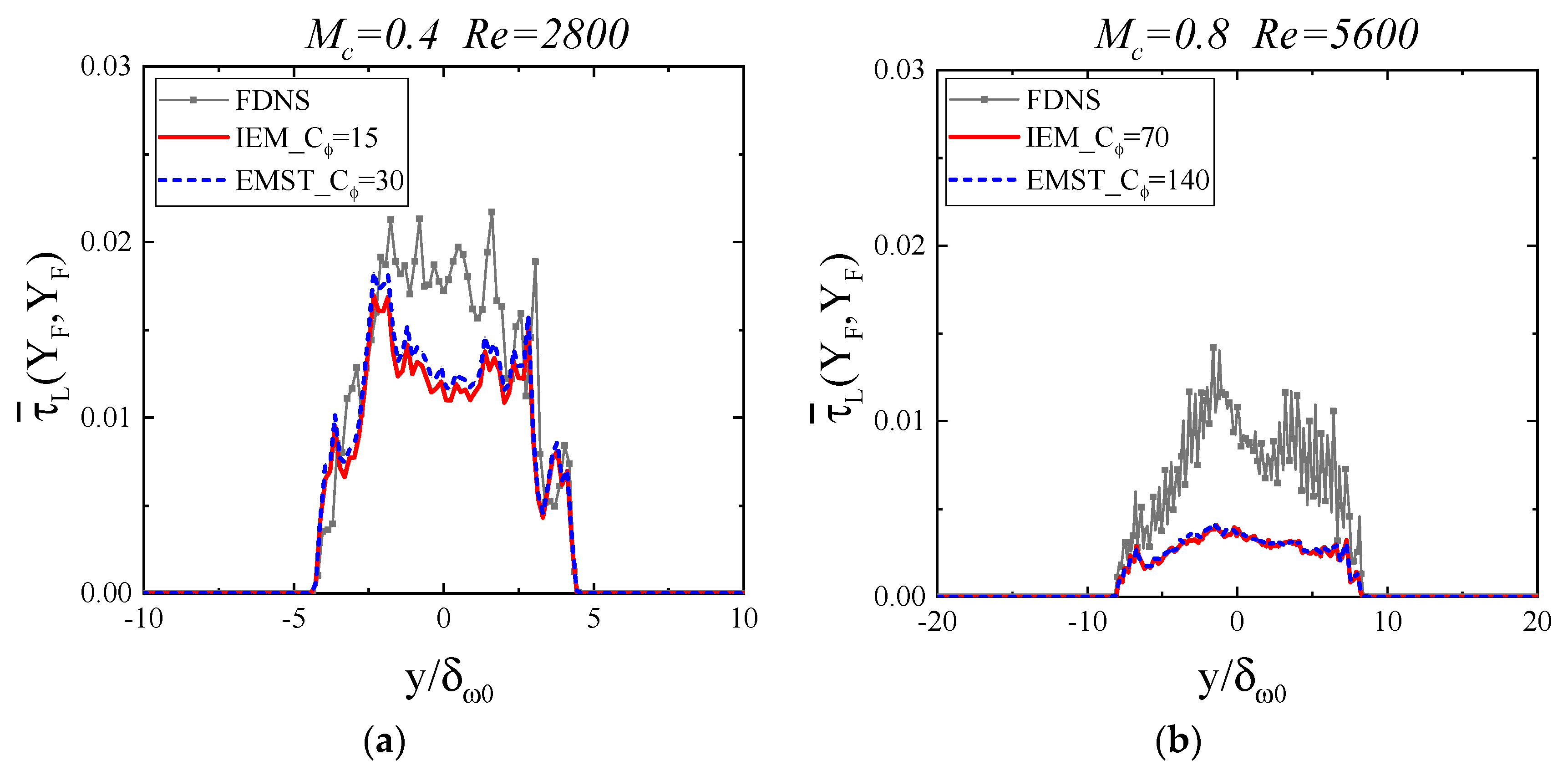
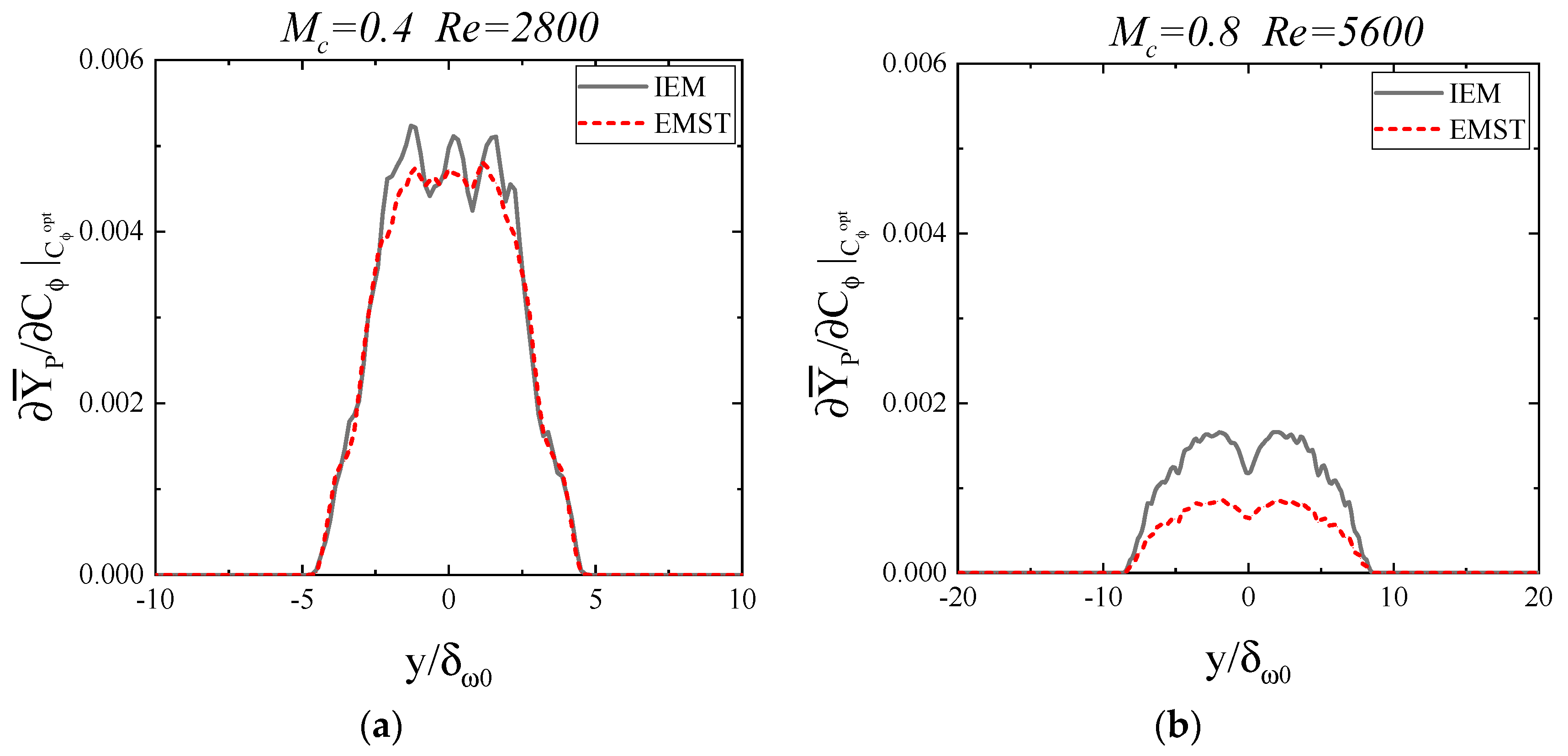
3.3. Comparison of Different Mixing Models in the Simplicity Reaction (i)
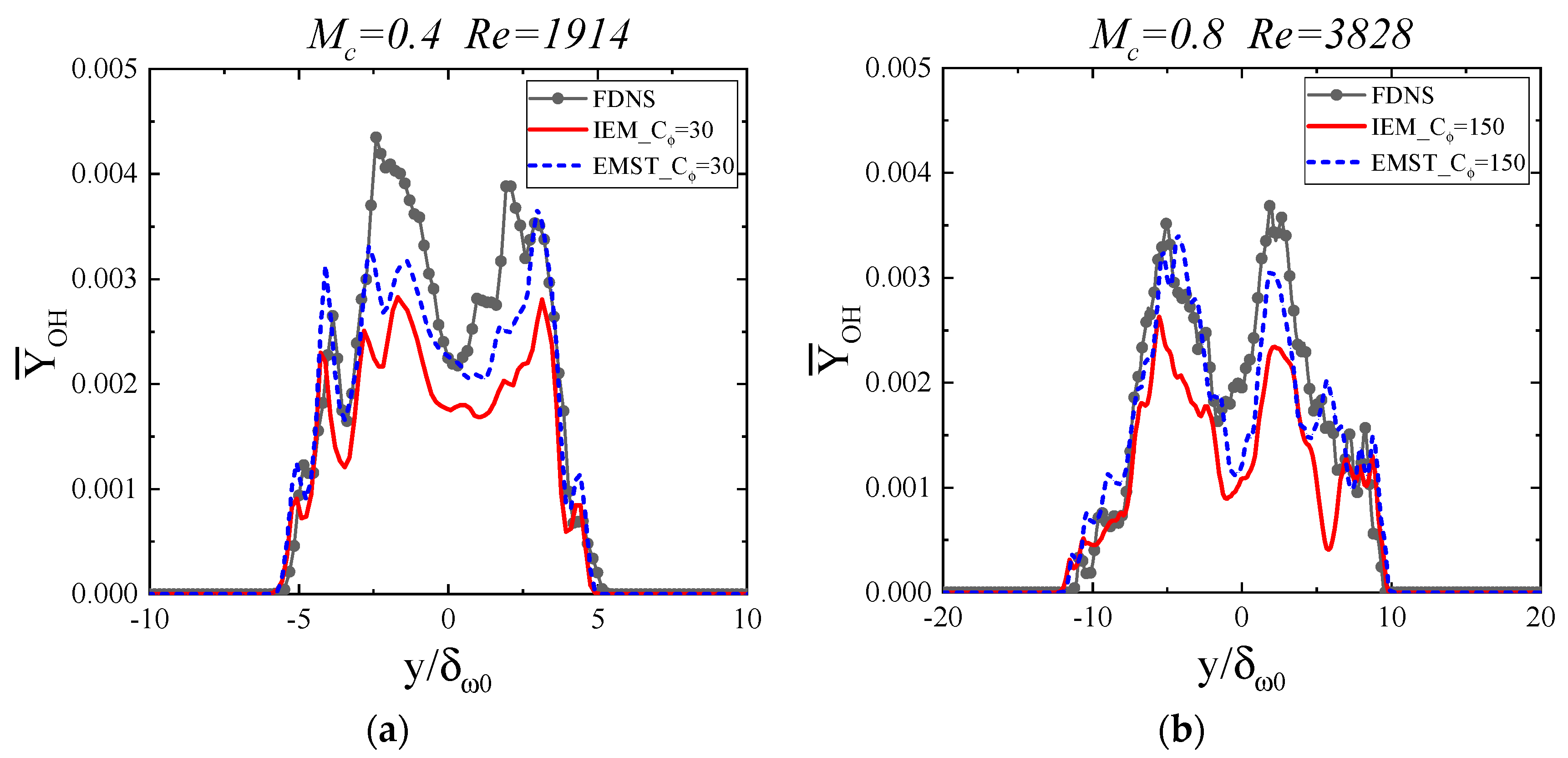
3.4. Comparison of Different Mixing Models in the Hydrogen/Air Reaction (ii)
4. Conclusions
- Under the appropriate mixing model coefficient, there is no significant difference between the IEM model and the EMST in the simple reaction. In addition, the probability density distributions of the core mixing regions of the two models are approximately the same. However, the effect of EMST intermittency under a high mixing model coefficient should be further discussed.
- In a real hydrogen/air reaction with a significant effect of TCI, the EMST model can predict the reaction more accurately. In addition, the requirement of localness preservation tends to be more essential as the convective Mach number increases.
- For both the IEM and EMST models for the hydrogen/air reaction, a larger value of (60–180) is required to obtain the appropriate results when the convective Mach number increases. With the enhancement of compressibility, the sensitivity of the mixing model to the mixing model coefficient is greatly reduced, and the appropriate mixing model coefficient has a wider selection range, which makes it difficult to determine the optimal value.
- In the study of the simple reaction, the EMST model has a lower sensitivity than the IEM model, regardless of whether or . The same conclusion is reached for the hydrogen/air reaction.
Author Contributions
Funding
Informed Consent Statement
Data Availability Statement
Conflicts of Interest
Nomenclature
| Convective Mach number | |
| Mixing model coefficient | |
| Faver weighted quantity | |
| Density | |
| Velocity component | |
| Pressure | |
| Total energy | |
| Viscous stress tensor | |
| Heat flux | |
| Kronecker delta symbol | |
| Kinematic molecular viscosity | |
| Kinematic turbulent viscosity | |
| Eddy viscosity coefficient | |
| Filter scale | |
| SGS turbulent kinetic energy | |
| Scalar filtered mass density function | |
| Dirac delta function | |
| Molecular diffusivity coefficient | |
| Turbulent diffusivity coefficient | |
| SGS mixing frequency | |
| Chemical source term | |
| Mass fraction of species | |
| Composition space of species | |
| Wiener term | |
| Turbulent time scale | |
| Scalar mixing time scale | |
| Initial vortex thickness | |
| Damköhler number | |
| Total product mass fraction | |
| SGS partial Reynolds averaged values | |
| Resolved partial Reynolds averaged values | |
| Mixture fraction | |
| Flame index | |
| Stoichiometric mixture fraction | |
| Reaction progress variable | |
| FMDF | Filtered mass density function model |
| LES | Large-eddy simulation |
| TCI | Turbulence-chemistry interaction |
| TPDF | Transportable probability density function |
| IEM | Interaction by exchange with the mean model |
| EMST | Euclidean minimum spanning tree model |
| LPEM | Lagrangian particle/Eulerian mesh method |
| MC | Monte Carlo |
| SGS | Sub-grid scale |
Appendix A. Effects of the Mixing Coefficient


References
- Surzhikov, S.; Seleznev, R.; Tretjakov, P.; Zabaykin, V. Unsteady thermo-gasdynamic processes in scramjet combustion chamber with periodical input of cold air. AIAA J. 2014, 3917. [Google Scholar] [CrossRef]
- Seleznev, R.K. Comparison of two-dimensional and quasi-one-dimensional scramjet models by the example of VAG experiment. J. Phys. Conf. Ser. 2017, 815, 012007. [Google Scholar] [CrossRef]
- Seleznev, R.K.; Surzhikov, S.T.; Shang, J.S. A review of the scramjet experimental data base. Prog. Aerosp. Sci. 2019, 106, 43–70. [Google Scholar] [CrossRef]
- Seleznev, R.K. Investigation of the Flow Structure in a Model Scramjet Air Intake with Transverse Hydrogen Fuel Injection into Supersonic Crossflow. Fluid Dyn. 2021, 56, 334–342. [Google Scholar] [CrossRef]
- Yue, Y.; Jiaping, Y.; Mingbo, S. Modeling of turbulence-chemistry interactions in numerical simulations of supersonic combustion. Chin. J. Aerosp. Aeronaut. 2015, 36, 261–273. [Google Scholar]
- Xu, J.; Pope, S.B. PDF calculations of turbulent non-premixed flames with local extinction. Combust. Flame 2000, 123, 281–307. [Google Scholar] [CrossRef]
- Xin-Yu, Z.; Daniel, C.H. Transported PDF modeling of pulverized coal jet flames. Combust. Flame 2014, 161, 1866–1882. [Google Scholar]
- Han, W.; Raman, V.; Mueller, M.A.; Chen, Z. Effects of combustion models on soot formation and evolution in turbulent non-premixed flames. Proc. Combust. Inst. 2019, 37, 985–992. [Google Scholar] [CrossRef]
- Hsu, A.T.; Tsai, Y.P.; Rajut, M.S. Probability Density Function Approach for Compressible Turbulent Reacting Flows. AIAA J. 1994, 327. [Google Scholar] [CrossRef]
- Banaeizadeh, A.; Zhaorui, L.; Jaberi, F.A. Compressible Scalar Filtered Mass Density Function Model for High-Speed Turbulent Flows. AIAA J. 2011, 49, 2130–2143. [Google Scholar] [CrossRef]
- Florian, S.; Moritz, S.; Peter, E.; Peter, G. Lagrangian transported MDF methods for compressible high speed flows. J. Comput. Phys. 2017, 339, 68–95. [Google Scholar]
- Ansari, N.; Strakey, P.A.; Goldin, G.M.; Givi, P. Filtered density function simulation of a realistic swirled combustor. Proc. Combust. Inst. 2015, 35, 1433–1442. [Google Scholar] [CrossRef]
- Pope, S.B. Turbulent Flows; Cambridge University Press: Cambridge, UK, 2000. [Google Scholar]
- Dopazo, C. Relaxation of initial probability density function in the turbulent convection of scalar fields. Phys. Fluids 1979, 22, 20–30. [Google Scholar] [CrossRef]
- Subramaniam, S.; Pope, S.B. A mixing model for turbulent reactive flows based on Euclidean minimum spanning trees. Combust. Flame 1998, 115, 487–514. [Google Scholar] [CrossRef]
- Klimenko, A.Y.; Pope, S.B. The modeling of turbulent reactive flows based on multiple mapping conditioning. Phys. Fluids 2003, 15, 1907–1925. [Google Scholar] [CrossRef] [Green Version]
- Meyer, D.W. A new particle interaction mixing model for turbulent dispersion and turbulent reactive flows. Phys. Fluids 2010, 22, 035103. [Google Scholar] [CrossRef]
- Pope, S.B. A Model for Turbulent Mixing Based on Shadow-Position Conditioning. Phys. Fluids 2013, 25. [Google Scholar] [CrossRef] [Green Version]
- Giusti, A.; Mastorakos, E. Turbulent Combustion Modelling and Experiments: Recent Trends and Developments. Flow Turbul. Combust. 2019, 103, 847. [Google Scholar] [CrossRef] [Green Version]
- Mitarai, S.; Riley, J.J.; Kosály, G. Testing of mixing models for Monte Carlo probability density function simulations. Phys. Fluids 2005, 17. [Google Scholar] [CrossRef]
- Cao, R.R.; Wang, H.; Pope, S.B. The effect of mixing models in PDF calculations of piloted jet flames. Proc. Combust. Inst. 2007, 31, 1543–1550. [Google Scholar] [CrossRef]
- Zhou, H.; Li, S.; Ren, Z.; Rowinski, D.H. Investigation of mixing model performance in transported PDF calculations of turbulent lean premixed jet flames through Lagrangian statistics and sensitivity analysis. Combust. Flame 2017, 181, 136–148. [Google Scholar] [CrossRef]
- Krisman, A.; Tang, J.C.K.; Hawkes, E.R.; Lignell, D.O.; Chen, J.H. A DNS evaluation of mixing models for transported PDF modeling of turbulent non-premixed flames. Combust. Flame 2014, 161, 2085–2106. [Google Scholar] [CrossRef]
- Celis, C.; da Silva, F. Lagrangian Mixing Models for Turbulent Combustion: Review and Prospects. Flow Turbul. Combust. 2015, 94, 643–689. [Google Scholar] [CrossRef]
- Yang, Y.; Wang, H.; Pope, S.B.; Chen, J.H. Large-eddy simulation/probability density function modeling of a non-premixed CO/H2 temporally evolving jet flame. Proc. Combust. Inst. 2013, 34, 1241–1249. [Google Scholar] [CrossRef]
- Wang, H.; Pope, S.B. Large-eddy simulation/probability density function modeling of a turbulent jet flame. Proc. Combust. Inst. 2011, 33, 1319–1330. [Google Scholar] [CrossRef]
- Zhou, H.; Zhuyin, R.; David, H.R.; Pope, S.B. Filtered Density Function Simulations of a near-Limit Turbulent Lean Premixed Flame. J. Propuls. Power 2020, 36, 381–399. [Google Scholar] [CrossRef]
- Zhang, L.; Liang, J.; Sun, M.; Wang, H.; Yang, Y. An energy-consistency-preserving large eddy simulation-scalar filtered mass density function (LES-SFMDF) method for high-speed flows. Combust. Theory Model. 2018, 22, 1–37. [Google Scholar] [CrossRef]
- Zhang, L.; Liang, J.; Sun, M.; Yang, Y.; Zhang, H.; Cai, X. A conservative and consistent scalar filtered mass density function method for supersonic flows. Phys. Fluids 2021, 33. [Google Scholar] [CrossRef]
- Yoshizawa, A.; Tsubokura, M.; Kobayashi, T.; Taniguchi, N. Modeling of the dynamic subgrid-scale viscosity in large eddy simulation. Phys. Fluids 1996, 8, 2254–2256. [Google Scholar] [CrossRef]
- Borghi, R. Turbulent combustion modeling. Prog. Energy Combust. Sci. 1988, 14, 245–292. [Google Scholar] [CrossRef]
- Riley, J.J.; Metcalfe, R.W.; Orszag, S.A. Direct numerical simulations of chemically reacting turbulent mixing layers. Phys. Fluids 1986, 29, 406–422. [Google Scholar] [CrossRef]
- Givi, P. Model-free simulations of turbulent reactive flows. Prog. Energy Combust. Sci. 1989, 15, 1–107. [Google Scholar] [CrossRef]
- Miller, R.S. Structure of a Turbulent Reacting Mixing Layer. Combust. Sci. Technol. 1994, 99, 1–36. [Google Scholar] [CrossRef]
- Michalke, A. On the inviscid instability of the hyperbolic tangent velocity profile. J. Fluid Mech. 2006, 19, 543–556. [Google Scholar] [CrossRef]
- Ó Conaire, M.; Curran, H.J.; Simmie, J.; Pitz, W.J.; Westbrook, C.K. A comprehensive modeling study of hydrogen oxidation. Int. J. Chem. Kinet. 2004, 36, 603–622. [Google Scholar] [CrossRef]
- Givi, P.; Madnia, C.K.; Steinberger, C.K.; Carpenter, M.H.; Drummond, J.P. Effects of Compressibility and Heat Release in a High Speed Reacting Mixing Layer. Combust. Sci. Technol. 1991, 78, 33–67. [Google Scholar] [CrossRef]
- Sheikhi, M.R.H.; Drozda, T.G.; Givi, P.; Pope, S.B. Velocity-scalar filtered density function for large eddy simulation of turbulent flows. Phys. Fluids 2003, 15, 2321–2337. [Google Scholar] [CrossRef] [Green Version]
- Sheikhi, M.R.H.; Givi, P.; Pope, S.B. Velocity-scalar filtered mass density function for large eddy simulation of turbulent reacting flows. Phys. Fluids 2007, 19, 095106. [Google Scholar] [CrossRef]
- Yamashita, H.; Shimada, M.; Takeno, T. A numerical study on flame stability at the transition point of jet diffusion flames. Proc. Combust. Inst. 1996, 26, 27–34. [Google Scholar] [CrossRef]




















| Parameter | Fuel | Oxidant |
|---|---|---|
| Pressure (Pa) | 29,778.54 | 29,778.54 |
| Temperature (K) | 288.15 | 288.15 |
| Reynolds number | 2800 | |
| Damköhler number | 0.5 | |
| 1.0 | 0.0 | |
| 0.0 | 0.1 | |
| 0.0 | 0.0 | |
| Parameter | Fuel (Top) | Oxidant (Bottom) |
|---|---|---|
| Pressure (Pa) | 94,232.25 | 94,232.25 |
| Temperature (K) | 500 | 1200 |
| Density (kg/m3) | 0.386 | 0.274 |
| 0.05 | 0.0 | |
| 0.0 | 0.278 | |
| 0.0 | 0.0 | |
| 0.0 | 0.0 | |
| 0.0 | 0.0 | |
| 0.0 | 0.0 | |
| 0.0 | 0.0 | |
| 0.0 | 0.0 | |
| 0.95 | 0.722 |
| The Mean Progress Variables | |||||||
|---|---|---|---|---|---|---|---|
| Case 1: | Case 2: | ||||||
| DNS | IEM | EMST | DNS | IEM | EMST | ||
| t = 60 | 0.51 | 0.48 | 0.52 | t = 120 | 0.49 | 0.45 | 0.51 |
| t = 70 | 0.59 | 0.54 | 0.59 | t = 130 | 0.56 | 0.51 | 0.56 |
Publisher’s Note: MDPI stays neutral with regard to jurisdictional claims in published maps and institutional affiliations. |
© 2021 by the authors. Licensee MDPI, Basel, Switzerland. This article is an open access article distributed under the terms and conditions of the Creative Commons Attribution (CC BY) license (https://creativecommons.org/licenses/by/4.0/).
Share and Cite
Chen, W.; Liang, J.; Zhang, L.; Guan, Q. A Numerical Investigation of Mixing Models in LES-FMDF for Compressible Reactive Flows. Energies 2021, 14, 5180. https://doi.org/10.3390/en14165180
Chen W, Liang J, Zhang L, Guan Q. A Numerical Investigation of Mixing Models in LES-FMDF for Compressible Reactive Flows. Energies. 2021; 14(16):5180. https://doi.org/10.3390/en14165180
Chicago/Turabian StyleChen, Wenwu, Jianhan Liang, Lin Zhang, and Qingdi Guan. 2021. "A Numerical Investigation of Mixing Models in LES-FMDF for Compressible Reactive Flows" Energies 14, no. 16: 5180. https://doi.org/10.3390/en14165180
APA StyleChen, W., Liang, J., Zhang, L., & Guan, Q. (2021). A Numerical Investigation of Mixing Models in LES-FMDF for Compressible Reactive Flows. Energies, 14(16), 5180. https://doi.org/10.3390/en14165180

