Conditioning of Sewage Sludge with Physical, Chemical and Dual Methods to Improve Sewage Sludge Dewatering
Abstract
:1. Introduction
2. Materials and Methods
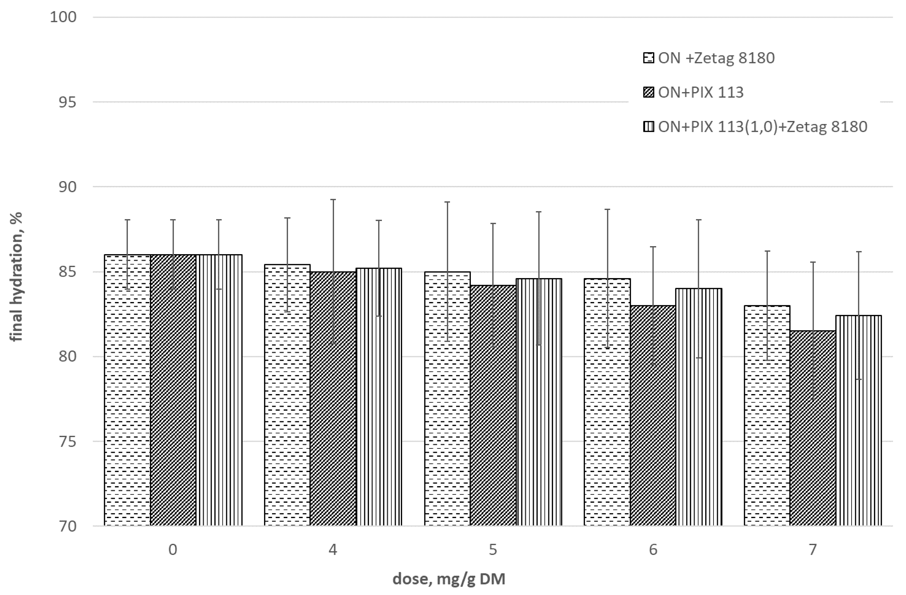
3. Results
4. Discussion
5. Conclusions
Author Contributions
Funding
Institutional Review Board Statement
Informed Consent Statement
Data Availability Statement
Conflicts of Interest
References
- Al-Dawery, S.K. Conditioning process and characterization of fresh activated sludge. J. Eng. Sci. Technol. 2015, 10, 692–711. [Google Scholar]
- Kamizela, T.; Kowalczyk, M. Impact of conditioning substances and filtration pressure on dewatering efficiency of sewage. Energies 2021, 14, 361. [Google Scholar] [CrossRef]
- Baroutian, S.; Eshtiaghi, N.; Gapes, D.J. Rheology of a primary and secondary sewage sludge mixture: Dependency on temperature and solid concentration. Bioresour. Technol. 2013, 140C, 227–233. [Google Scholar] [CrossRef] [PubMed] [Green Version]
- Xiao, K.; Chen, Y.; Jiang, X.; Yang, Q.; Seow, W.Y.; Zhu, W.; Zhou, Y. Variations in physical, chemical and biological properties in relation to sludge dewaterability under Fe (II)–Oxone conditioning. Water Res. 2017, 109, 13–23. [Google Scholar] [CrossRef]
- Zhang, W.; Cao, B.; Wang, D.; Ma, T.; Xia, H.; Yu, D. Influence of wastewater sludge treatment using combined peroxyacetic acid oxidation and inorganic coagulants re-flocculation on characteristics of extracellular polymeric substances (EPS). Water Res. 2016, 88, 728–739. [Google Scholar] [CrossRef] [PubMed]
- Saveyn, H.; Meersseman, S.; Thas, O.; Van der Meeren, P. Influence of polyelectrolyte characteristics on pressure-driven activated sludge dewatering. Colloids Surf. A Physicochem. Eng. Asp. 2005, 262, 40–51. [Google Scholar] [CrossRef]
- Zhu, J.; Peng, Y.; Li, X.; Su, G.; Wang, S. Change and mechanism of sludge dewaterability during alkaline fermentation. CIESC J. 2013, 64, 4210–4215. [Google Scholar]
- Wang, L.; Zhang, L.; Li, A. Hydrothermal treatment coupled with mechanical expression at increased temperature for excess sludge dewatering: Influence of operating conditions and the process energetics. Water Res. 2014, 65, 85–97. [Google Scholar] [CrossRef] [PubMed]
- Neyens, E.; Baeyens, J.; Dewil, R.; De heyder, B. Advanced sludge treatment affects extracellular polymeric substances to improve activated sludge dewatering. J. Hazard. Mater. 2004, 106B, 83–92. [Google Scholar] [CrossRef] [PubMed]
- Maa, Y.; Liua, Y. Turning food waste to energy and resources towards a great environmental and economic sustainability: An innovative integrated biological approach. Biotechol. Adv. 2019, 37, 107414. [Google Scholar] [CrossRef] [PubMed]
- Wójcik, M.; Stachowicz, F. Influence of physical, chemical and dual sewage sludge conditioning methods on the dewatering efficiency. Powder Technol. 2019, 344, 96–102. [Google Scholar] [CrossRef]
- Chen, Z.; Afzal, M.T.; Salema, A.A. Microwave drying of wastewater sewage sludge. J. Clean Energy Technol. 2014, 2, 282–286. [Google Scholar] [CrossRef] [Green Version]
- Niu, M.; Zhang, W.; Wang, D.; Chen, Y.; Chen, R. Correlation of physicochemical properties and sludge dewaterability under chemical conditioning using inorganic coagulants. Bioresour. Technol. 2013, 144, 337–343. [Google Scholar] [CrossRef]
- Wu, B.; Dai, X.; Chai, X. Critical review on dewatering of sewage sludge: Influential mechanism, conditioning technologies and implications to sludge re-utilizations. Water Res. 2020, 180, 115912. [Google Scholar] [CrossRef]
- Zhai, L.F.; Sun, M.; Song, W.; Wang, G. An integrated approach to optimize the conditioning chemicals for enhanced sludge conditioning in a pilot-scale sludge dewatering process. Bioresour. Technol. 2012, 121, 161–168. [Google Scholar] [CrossRef] [PubMed]
- Bień, B.; Bień, J. Dewatering of sewage sludge treated by the combination of ultrasonic field and chemical methods. Desalin. Water Treat. 2020, 199, 72–78. [Google Scholar] [CrossRef]
- Thapa, K.B.; Qi, Y.; Hoadley, A.F.A. Interaction of polyelectrolyte with digested sewage sludge and lignite in sludge dewatering. Colloids Surf. A Physicochem. Eng. Asp. 2009, 334, 66–73. [Google Scholar] [CrossRef]
- Chen, Z.; Zhang, W.; Wang, D.; Ma, T.; Bai, R.; Yu, D. Enhancement of waste activated sludge dewaterability using calcium peroxide pre-oxidation and chemical reflocculation. Water Res. 2016, 103, 170–181. [Google Scholar] [CrossRef] [PubMed]
- Yuan, H.; Cheng, X.; Chen, S.; Zhu, N.; Zhou, Z. New sludge pretreatment method to improve dewaterability of waste activated sludge. Bioresour. Technol. 2011, 102, 5659–5664. [Google Scholar] [CrossRef]
- Kowalczyk, A.; Piecuch, T. Sludge dewatering in a decanter centrifuge aided by cationic flocculant Praestol 855BS and essential oil of waste orange peels. Arch. Environ. Prot. 2016, 42, 3–18. [Google Scholar] [CrossRef] [Green Version]
- Mohammad, T.A.; Mohamed, E.H.; Megat, J.; Megat, M.N.; Ghazali, A.H. Dual polyelectrolytes incorporating Moringa oleifera in the dewatering of sewage sludge. Desalin. Water Treat. 2015, 55, 3613–3620. [Google Scholar] [CrossRef]
- Bień, B.; Bień, J. Coagulant and polyelectrolyte application performance testing in sonicated sewage sludge dewatering. Desalin. Water Treat. 2016, 57, 1154–1162. [Google Scholar] [CrossRef]
- Chen, C.; Zhang, P.; Zeng, G.; Deng, J.; Zhou, Y.; Lu, H. Sewage sludge conditioning with coal fly ash modified by sulfuric acid. Chem Eng. J. 2010, 158, 616–622. [Google Scholar] [CrossRef]
- Zhang, Y.; Lian, G.; Dong, C.; Cai, M.; Song, Z.; Shi, Y.; Wu, L.; Jin, M.; Wei, Z. Optimizing and understanding the pressurized vertical electro-osmotic dewatering of activated sludge. Process. Saf. Environ. Prot. 2020, 140, 392–402. [Google Scholar] [CrossRef]
- Hussain, J.; Jami, M.S.; Suleyman, A.; Muyibi, S.A. Enhancement of dewatering properties of kaolin suspension by using cationic polyacrylamide (PAM-C) flocculant and surfactants. Aust. J. Basic Appl. Sci. 2012, 6, 70–73. [Google Scholar]
- Liu, C.; Lai, L.; Yang, X. Sewage sludge conditioning by Fe (II)-activated persulphate oxidation combined with skeleton builders for enhancing dewaterability. Water Environ. J. 2016, 30, 96–101. [Google Scholar] [CrossRef]
- Zall, J.; Galil, N.; Rehbun, M. Skeleton builders for conditioning oily sludge. J. Water Pollut. Control. Feder. 1987, 59, 699–706. [Google Scholar]
- Chen, C.; Zhang, P.; Yan, M. Enhancement of cationic polyacrylamide conditioning of sewage sludge with modified coal fly ash. Desalin. Water Treat. 2018, 133, 55–63. [Google Scholar] [CrossRef]
- Zhao, Y.Q. Enhancement of alum sludge dewatering capacity by using gypsum as skeleton builder. Colloids Surf. A Physicochem. Eng. Asp. 2002, 211, 205–212. [Google Scholar] [CrossRef]
- Qi, Y.; Thapa, K.B.; Hoadley, A.F. Benefit of lignite as a filter aid for dewatering of digested sewage sludge demonstrated in pilot scale trials. Chem. Eng. J. 2011, 166, 504–510. [Google Scholar] [CrossRef]
- Ning, X.; Luo, H.; Liang, X.; Lin, M.; Liang, X. Effects of tannery sludge incineration slag pretreatment on sludge dewaterability. Chem. Eng. J. 2013, 221, 1–7. [Google Scholar] [CrossRef]
- Ding, A.; Qu, F.; Guo, S.; Ren, Y.; Xu, G.; Li, G. Effect of adding wood chips on sewage sludge dewatering in a pilot-scale plate-and-frame filter press process. RSC Adv. 2014, 47, 24762–24768. [Google Scholar] [CrossRef]
- Wu, Y.; Zhang, P.; Zhang, H.; Zeng, G.; Liu, J.; Ye, J.; Fang, W.; Gou, X. Possibility of sludge conditioning and dewatering with rice husk biochar modified by ferric chloride. Bioresour. Technol. 2016, 205, 258–263. [Google Scholar] [CrossRef] [PubMed]
- Zhu, C.; Li, F.; Zhang, P.; Ye, J.; Lu, P.; Wang, H. Combined sludge conditioning with NaCl-cationic polyacrylamide-rice husk powders to improve sludge dewaterability. Powder Technol. 2018, 336, 191–198. [Google Scholar] [CrossRef]
- Wójcik, M. Investigation of filtration properties and microbiological characteristics of sewage sludge after physical conditioning with the use of ground walnut shells. Powder Technol. 2020, 361, 491–498. [Google Scholar] [CrossRef]
- Qi, Y.; Thapa, K.B.; Hoadley, A.F. Application of filtration aids for improving sludge dewatering properties—A review. Chem. Eng. J. 2011, 171, 373–384. [Google Scholar] [CrossRef]
- Dentel, S.K.; Abu-Orf, M.M.; Walker, C.A. Optimization of slurry flocculation and dewatering based on electrokinetic and rheological phenomena. Chem. Eng. J. 2000, 80, 65–72. [Google Scholar] [CrossRef]
- Zhu, C.; Zhang, P.; Wang, H.; Ye, J. Conditioning of sewage sludge via combined ultrasonication-flocculation-skeleton building to improve sludge dewaterability. Ultrason. Sonochem. 2018, 40, 353–360. [Google Scholar] [CrossRef]
- Cao, B.; Zhang, W.; Wang, Q.; Huang, Y.; Meng, C.; Wang, D. Wastewater sludge dewaterability enhancement using hydroxyl aluminum conditioning: Role of aluminum speciation. Water Res. 2016, 105, 615–624. [Google Scholar] [CrossRef]
- Xu, Q.; Wang, Q.; Zhang, W.; Yang, P.; Du, Y.; Wang, D. Highly effective enhancement of waste activated sludge dewaterability by altering proteins properties using methanol solution coupled with inorganic coagulants. Water Res. 2018, 138, 181–191. [Google Scholar] [CrossRef]
- Masihi, H.; Gholikandi, G.B. Using acidic-modified bentonite for anaerobically digested sludge conditioning and dewatering. Chemosphere 2020, 241, 125096. [Google Scholar] [CrossRef] [PubMed]
- Parker, S.; Kulicke, W.M.; Bohm, N.; Kotz, J.; Jaeger, W. Flockung und Entwasserung von Klarschlamm mit Hilfe von Polyelektrolyten. W. Angew. Makromol. Chem 1997, 250, 15–30. [Google Scholar] [CrossRef]
- Bień, B. The quality of sludge liquids produced in the process of mechanical dewatering of digested sludge. Ecol. Chem. Eng. A 2017, 24, 65–74. [Google Scholar]
- Sperczyńska, E. Phosphates removal from reject water from digestion of sludge. Ecol. Eng. 2016, 48, 196–201. (In Polish) [Google Scholar]
- Guo, C.H.; Stabnikov, V.; Ivanov, V. The removal of nitrogen and phosphorus from reject water of municipal wastewater treatment plant using ferric and nitrate bioreductions. Bioresour. Technol. 2010, 101, 3992–3999. [Google Scholar] [CrossRef] [PubMed]
- Sperczyńska, E. Use of zeolite for removal of ammonium nitrogen from reject water. Eng. Prot. Environ. 2016, 19, 391–399. (In Polish) [Google Scholar] [CrossRef]
- Morales, N.; Val del Río, A.; Vázquez-Padín, J.R.; Méndez, R.; Mosquera-Corral, A.; Campos, J.L. Integration of the Anammox process to the rejection water and main stream lines of WWTPs. Chemosphere 2015, 140, 99–105. [Google Scholar] [CrossRef]
- Boruszko, D. Supernatants management—Technician and economic aspects. Zesz. Nauk. Politech. Białostockiej Inżynieria Śr. 2003, 16, 258–267. (In Polish) [Google Scholar]
- Myszograj, S. Quantity and characteristics of sludge liquids formed in wastewater treatment plants. Eng. Prot. Environ. 2008, 11, 219–227. (In Polish) [Google Scholar]
- Wett, B.; Podmirseg, S.B.; Gomez-Brandon, M.; Hell, M.; Nyhuis, G.; Bott, C.; Murthy, S. Expanding DEMON sidestream deammonification technology towards mainstream application. Water Env. Res. 2014, 87, 2084–2089. [Google Scholar] [CrossRef]
- Erdirençelebi, D.; Küçükhemek, M. Diagnosis of the anaerobic reject water effects on WWTP operational characteristics as a precursor of bulking and foaming. Water Sci. Technol. 2015, 71, 572–579. [Google Scholar] [CrossRef]
- Dąbrowski, W.; Karolinczak, B.; Gajewska, M.; Wojciechowska, E. Application of subsurface vertical flow constructed wetlands to reject water treatment in dairy wastewater treatment plant. Environ. Technol. 2017, 38, 175–182. [Google Scholar] [CrossRef]
- Van Loosdrecht, M.C.M.; Salem, S. Biological treatment of sludge digester liquids. Water Sci. Technol. 2006, 53, 11–20. [Google Scholar] [CrossRef]
- Ren, W.; Zhou, Z.; Wan, L.; Hu, D.; Jiang, L.M.; Wang, L. Optimization of phosphorus removal from reject water of sludge thickening and dewatering process through struvite precipitation. Desalin. Water Treat. 2016, 57, 15515–15523. [Google Scholar] [CrossRef]
- Hu, D.; Zhou, Z.; Niu, T.; Wei, H.; Dou, W.; Jiang, L.M.; Lv, Y. Co-treatment of reject water from sludge dewatering and supernatant from sludge lime stabilization process for nutrient removal: A cost-effective approach. Sep. Pur. Technol. 2017, 172, 357–365. [Google Scholar] [CrossRef]
- Battistoni, P.; Paci, B.; Fatone, F.; Pavan, P. Phosphorus removal from anaerobic supernatants: Start-up and steady-state conditions of a fluidized bed reactor full-scale plant. Ind. Eng. Chem. Res. 2006, 45, 663–669. [Google Scholar] [CrossRef]
- Yang, Y.; Zhao, Y.Q.; Babatunde, A.O.; Kearney, P. Two strategies for phosphorus removal from reject water of municipal wastewater treatment plant using alum sludge. Water Sci. Technol. 2009, 60, 3181–3188. [Google Scholar] [CrossRef]
- Scribd. Available online: https://pl.scribd.com/document/136007598/Chemicals-Zetag-DATA-Powder-Zetag-8180-0410 (accessed on 22 July 2021).
- BTC Chemical Distribution. Available online: https://www.btc-europe.com/fileadmin/user_upload/Downloads/Pdf_s/Industries/Waste_Water_Treatment_EN_April2016.pdf (accessed on 22 July 2021).
- Technologie Sanitarne. Available online: http://www.technologie-sanitarne.com/Koagulant_zelazowy_Pix_113_-3-205541-66_60_73.html (accessed on 22 July 2021).
- Kemipol. Available online: http://www.old.kemipol.com.pl/img/pdf/karty_2009/20-1-K-PIX_113-SIARCZAN_VI_ZELAZA_III_Xn.pdf (accessed on 22 July 2021).
- European Standards. Available online: https://www.en-standard.eu/bs-en-14701-1-2006-characterization-of-sludges-filtration-properties-capillary-suction-time-cst/ (accessed on 22 July 2021).
- European Standards. Available online: https://www.en-standard.eu/une-en-14701-2-2013-characterisation-of-sludges-filtration-properties-part-2-determination-of-the-specific-resistance-to-filtration/ (accessed on 22 July 2021).
- PN-ISO 6060:2006. Available online: http://sklep.pkn.pl/pn-iso-6060-2006p.html (accessed on 22 July 2021).
- Wolny, L. Dewatering of conditioned sludge in small wastewater treatment plants. Environ. Prot. Eng. 2015, 41, 99–105. [Google Scholar] [CrossRef]
- Wu, Y.; Zhang, P.; Zeng, G.; Liu, J.; Ye, J.; Zhang, H.; Fang, W.; Li, Y.; Fang, Y. Combined sludge conditioning of micro-disintegration, floc reconstruction and skeleton building (KMnO4/FeCl3/Biochar) for enhancement of waste activated sludge dewaterability. J. Taiwan Inst. Chem. Eng. 2017, 74, 121–128. [Google Scholar] [CrossRef]
- Bień, B. The influence of conditioning on the quality of reject water after sewage sludge mechanical dewatering. Proc. ECOpole 2017, 11, 471–478. [Google Scholar]










| Independent (Chemical) Methods | Combined (Chemical and Physical) Methods |
|---|---|
|
|
|
|
|
|
|
|
| No. | I Phase Sonication: A1 = 15.25 μm, t = 60 s | II Phase Sonication: A2 = 45.75 µm, t = 60 s | ||||
|---|---|---|---|---|---|---|
| Zetag 8180, mg/g DM | PIX 113, mg/g DM | PIX 113 + Zetag 8180, mg/g DM | Zetag 8180, mg/g DM | PIX 113, mg/g DM | PIX 113 + Zetag 8180, mg/g DM | |
| 1. | 4.0 | 4.0 | 1.0 + 4.0 | 4.0 | 4.0 | 1.0 + 4.0 |
| 2. | 5.0 | 5.0 | 1.0 + 5.0 | 5.0 | 5.0 | 1.0 + 5.0 |
| 3. | 6.0 | 6.0 | 1.0 + 6.0 | 6.0 | 6.0 | 1.0 + 6.0 |
| 4. | 7.0 | 7.0 | 1.0 + 7.0 | 7.0 | 7.0 | 1.0 + 7.0 |
| No. | Symbols | Explanation |
|---|---|---|
| 1. | ON | sonicated sludge |
| 2. | ON + Zetag 8180 | sonicated sludge + Zetag 8180 at a selected dose (e.g., 4, 5, 6, 7 mg/g DM) |
| 3. | ON + PIX 113 | sonicated sludge + PIX 113 at a selected dose (e.g., 4, 5, 6, 7 mg/g DM) |
| 4. | ON + PIX 113(1) + Zetag 8180 | sonicated sludge + PIX 113 at a constant dose of 1.0 mg/g DM + Zetag 8180 at a selected dose (e.g., 4, 5, 6, 7 mg/g DM) |
Publisher’s Note: MDPI stays neutral with regard to jurisdictional claims in published maps and institutional affiliations. |
© 2021 by the authors. Licensee MDPI, Basel, Switzerland. This article is an open access article distributed under the terms and conditions of the Creative Commons Attribution (CC BY) license (https://creativecommons.org/licenses/by/4.0/).
Share and Cite
Bień, B.; Bień, J.D. Conditioning of Sewage Sludge with Physical, Chemical and Dual Methods to Improve Sewage Sludge Dewatering. Energies 2021, 14, 5079. https://doi.org/10.3390/en14165079
Bień B, Bień JD. Conditioning of Sewage Sludge with Physical, Chemical and Dual Methods to Improve Sewage Sludge Dewatering. Energies. 2021; 14(16):5079. https://doi.org/10.3390/en14165079
Chicago/Turabian StyleBień, Beata, and Jurand D. Bień. 2021. "Conditioning of Sewage Sludge with Physical, Chemical and Dual Methods to Improve Sewage Sludge Dewatering" Energies 14, no. 16: 5079. https://doi.org/10.3390/en14165079
APA StyleBień, B., & Bień, J. D. (2021). Conditioning of Sewage Sludge with Physical, Chemical and Dual Methods to Improve Sewage Sludge Dewatering. Energies, 14(16), 5079. https://doi.org/10.3390/en14165079

