A New Analytical Method for Modeling the Effect of Assembly Errors on a Motor-Gearbox System
Abstract
:1. Introduction
- It uses linear expressions instead of angular expressions for the evaluation of the TVMS components, which makes the incorporation of gear faults less complicated;
- This method could be seen as a compromise between the FEM and the analytical method, because the discretization of the gear allows one to consider the actual geometry as in the FEM, and then the equations derived from the potential energy method are used for the calculation of the TVMS because they are time efficient compared to the FEM;
- It calculates the gear mesh stiffness based on the actual contact points and allows us to visualize the meshing process and stiffness evolution;
- All modifications made to the gear tooth geometry could be incorporated in the TVMS calculation process such as tooth tip corner, the tooth width variation and the tooth root geometry.
2. Method Description
2.1. Gear Mesh Stiffness Determination
2.1.1. Gear Representation in the Proposed Method
2.1.2. The Line of Action Determination
| Algorithm 1 The line of action determination |
| 1. Define pinion and gear actual positions: |
| 2. Calculate the pinion-gear center distance: |
| 3. Determine the intersection point of LOA and the line of center distance: |
| See Figure 4 for more details. |
| 4. Calculate the direction of the LOA: |
| 5. Define the LOA equation : |
2.1.3. Contact Point Detection
- Set the pinion angular position at time t:where is the rotation transformation matrix defined as:
- Update the position of pinion and gear centers:
- Determine the line of action equation:Use the algorithm described in Section 2.1.2 to define the line of action equation.
- Determine the potential contact points:Sweep the line of action to determine its intersection points with pinion and gear teeth, respectively. Two sets of points are defined at this step: the first set contains the intersection points of the LOA with the pinion teeth and the second one contains the intersection points of the LOA with the gear teeth.To optimize the exploration time, this operation is limited to the active portion of the line of action. We can prove geometrically that this part is limited by the two addendum circles of the pinion and gear, respectively.
- Rearrange the intersection points sets:Use the Euclidean distance to rearrange the two sets of intersection points by cross-comparison; note that the two sets are not necessarily of equal size. This step aims to extract the potential contact point pairs.
- Rotate the gear matrix until contact between gear teeth occurs:Use a penalization value to decide whether the points extracted in the previous step are contact points or not (compare the Euclidean distance of potential contact points to ). This penalization value will depend on the resolution used when building the gear matrices and the line of action. If no contact points are detected, the gear matrix is rotated gradually until contact occurs (the penalization constraint is satisfied) as follows:
where depending on the nearest intersection point location and is the number of contact points.repeat
untilThe gear rotation direction is chosen based on the position of the intersection points determined previously. The gear rotation step should be refined properly to avoid contact jumping, but very small steps could lead to very high computation time. A sufficient condition to avoid this jumping phenomenon is:where is the gear head radius. - Define contact points:Once contact points at the current iteration are determined, their corresponding indexes, coordinates and the current pressure angle are sent to the mesh stiffness calculation algorithm to determine the corresponding stiffness components.
- Update the pinion angular position and return to 1:Increment the pinion angular position and repeat the above described process to determine the contact points at the next iteration.
2.1.4. Gear Mesh Stiffness Components
2.2. Electromechanical Model of a Motor-Gearbox System
3. Simulation Results and Discussion
3.1. Gear Mesh Stiffness Results
- Gear tooth with a uniform width (unmodified tooth);
- Gear tooth with KHK modification (extracted from the KHK gear 3D model);
- Gear tooth with the first proposed modification, a quadratic reduction is proposed with parameters: and , where is the modification length and is the modification depth;
- Gear tooth with the second proposed modification. a quadratic reduction is proposed with parameters and .
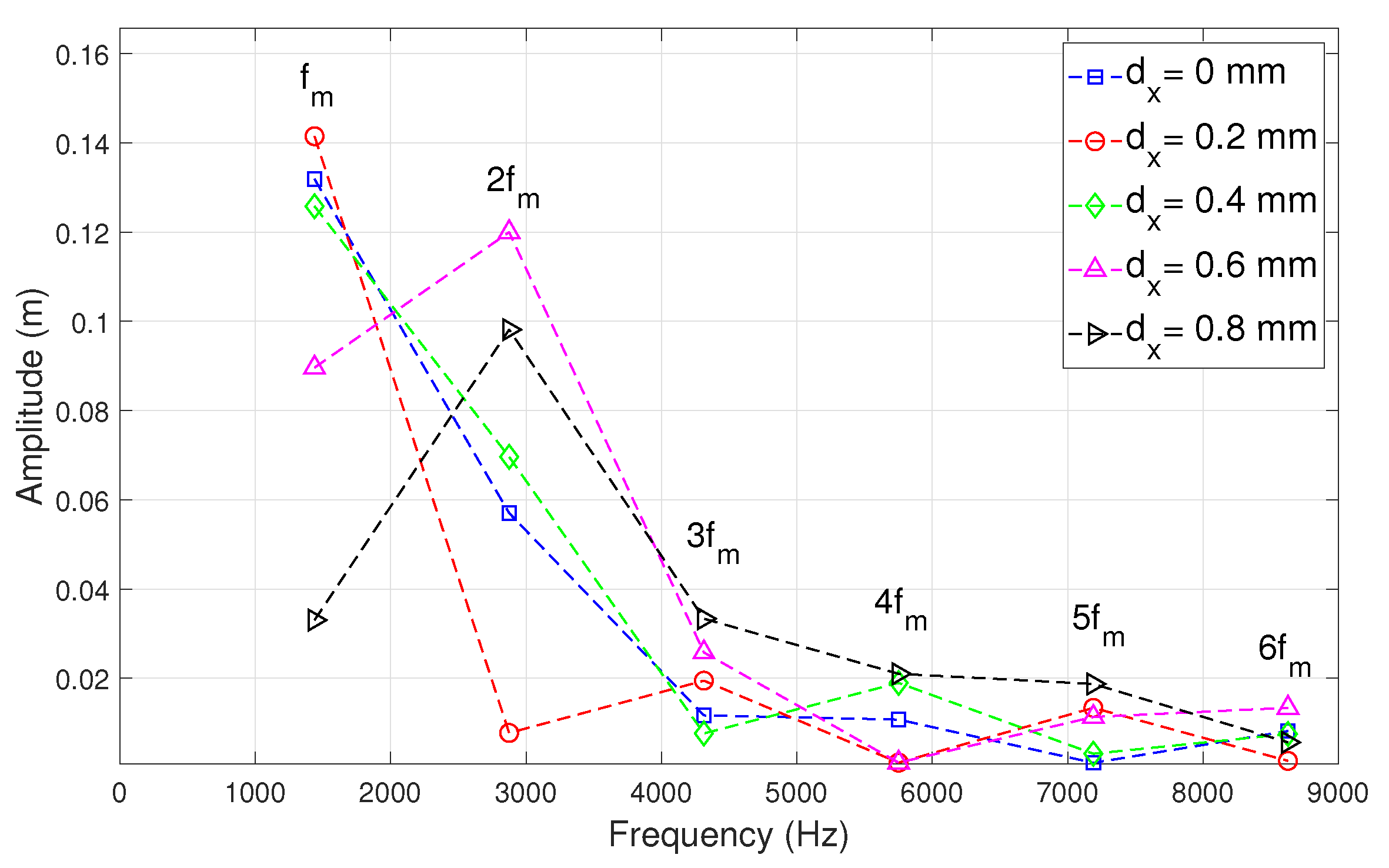
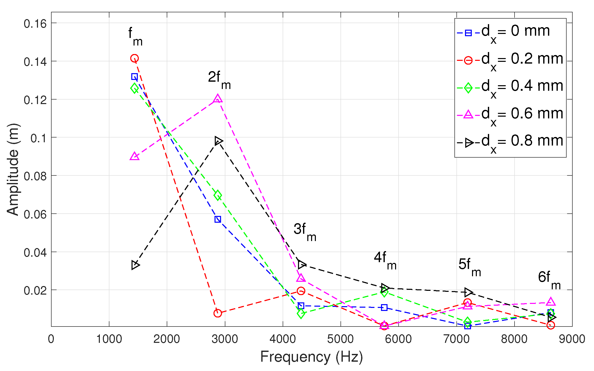
3.1.1. Center Distance Error Effect
3.1.2. Eccentricity Error Effect
3.2. Electromechanical Model Simulation Results
4. Conclusions
- The gear teeth geometry has a direct impact on the gear mesh stiffness curve and modifying the gear teeth width causes a deformation of the TVMS magnitude;
- The center distance error considerably affects the TVMS curve, and increasing the center distance causes a global reduction in the TVMS magnitude; it also affects the contact ratio by reducing the proportion of the double-contact period, and consequently, the gear teeth will be subjected to more important stresses;
- The effect of single-eccentricity and double-eccentricity errors on the TVMS was determined; it was found that an eccentricity error causes a double modulation of the TVMS amplitude and frequency by the frequency of the eccentric gear;
- The center distance error affects the vibration of the system by modulating the magnitudes of the mesh frequency harmonics and the eccentricity error causes the apparition of characteristic side bands around the mesh frequencies separated by the eccentric gear frequency;
- In the electrical response of the system, it was found that the presence of an eccentricity error induces a modulation of the mesh frequency components by the corresponding eccentric gear frequency in addition to the modulation by the main supply frequency.
Author Contributions
Funding
Institutional Review Board Statement
Informed Consent Statement
Data Availability Statement
Conflicts of Interest
Abbreviations
| TVMS | Time varying mesh stiffness |
| CDA | Contact detection algorithm |
| LOA | Line of action |
| FEM | Finite element method |
| LPM | Lumped parameter method |
References
- AGMA Standard; American Gear Manufacturers Association. Fundamental Rating Factors and Calculation Methods for Involute Spur and Helical Gear Teeth; AGMA Standard; American Gear Manufacturers Association: Alexandria, VA, USA, 2004. [Google Scholar]
- Li, S. Effects of machining errors, assembly errors and tooth modifications on loading capacity, load-sharing ratio and transmission error of a pair of spur gears. Mech. Mach. Theory 2007, 42, 698–726. [Google Scholar] [CrossRef]
- Artigao, E.; Koukoura, S.; Honrubia-Escribano, A.; Carroll, J.; McDonald, A.; Gómez-Lázaro, E. Current Signature and Vibration Analyses to Diagnose an In-Service Wind Turbine Drive Train. Energies 2018, 11, 960. [Google Scholar] [CrossRef] [Green Version]
- Hossain, M.L.; Abu-Siada, A.; Muyeen, S.M. Methods for Advanced Wind Turbine Condition Monitoring and Early Diagnosis: A Literature Review. Energies 2018, 11, 1309. [Google Scholar] [CrossRef] [Green Version]
- Feki, N.; Clerc, G.; Velex, P. An integrated electro-mechanical model of motor-gear units—Applications to tooth fault detection by electric measurements. Mech. Syst. Signal Process. 2012, 29, 377–390. [Google Scholar] [CrossRef]
- Liang, X.; Zuo, M.J.; Feng, Z. Dynamic modeling of gearbox faults: A review. Mech. Syst. Signal Process. 2018, 98, 852–876. [Google Scholar] [CrossRef]
- Yi, Y.; Qin, D.; Liu, C. Investigation of electromechanical coupling vibration characteristics of an electric drive multistage gear system. Mech. Mach. Theory 2018, 121, 446–459. [Google Scholar] [CrossRef]
- Bai, W.; Qin, D.; Wang, Y.; Lim, T.C. Dynamic characteristic of electromechanical coupling effects in motor-gear system. J. Sound Vib. 2018, 423, 50–64. [Google Scholar] [CrossRef]
- Elyousfi, B.; Soualhi, A.; Medjaher, K.; Guillet, F. A Model-Based Analysis of Crack Fault in a Two-Stage Spur Gear System. In Proceedings of the 2020 Prognostics and Health Management Conference (PHM-Besançon), Besancon, France, 4–7 May 2020; pp. 60–66. [Google Scholar]
- Kia, S.H.; Henao, H.; Capolino, G.A. A comparative study of acoustic, vibration and stator current signatures for gear tooth fault diagnosis. In Proceedings of the 2012 International Conference on Electrical Machines, Marseille, France, 2–5 September 2012; pp. 1514–1519. [Google Scholar]
- Kia, S.H.; Henao, H.; Capolino, G.A. Gear tooth surface damage fault detection using induction machine electrical signature analysis. In Proceedings of the 2013 9th IEEE International Symposium on Diagnostics for Electric Machines, Power Electronics and Drives (SDEMPED), Valencia, Spain, 27–30 August 2013; pp. 358–364. [Google Scholar]
- Raghuwanshi, N.K.; Parey, A. Experimental measurement of gear mesh stiffness of cracked spur gear by strain gauge technique. Measurement 2016, 86, 266–275. [Google Scholar] [CrossRef]
- Li, J.; Xu, M.; Wang, S. Finite element analysis of instantaneous mesh stiffness of cylindrical gears (with and without flexible gear body). Commun. Numer. Methods Eng. 1999, 15, 579–587. [Google Scholar] [CrossRef]
- Tian, X.; Zuo, M.J.; Fyfe, K.R. Analysis of the vibration response of a gearbox with gear tooth faults. In Proceedings of the ASME International Mechanical Engineering Congress and Exposition, Anaheim, CA, USA, 13–19 November 2004; Volume 47063, pp. 785–793. [Google Scholar]
- Yang, D.; Lin, J. Hertzian damping, tooth friction and bending elasticity in gear impact dynamics. Mech. Trans. Autom. 1987, 109, 189–196. [Google Scholar] [CrossRef]
- Wan, Z.; Cao, H.; Zi, Y.; He, W.; He, Z. An improved time-varying mesh stiffness algorithm and dynamic modeling of gear-rotor system with tooth root crack. Eng. Fail. Anal. 2014, 42, 157–177. [Google Scholar] [CrossRef]
- Ma, H.; Li, Z.; Feng, M.; Feng, R.; Wen, B. Time-varying mesh stiffness calculation of spur gears with spalling defect. Eng. Fail. Anal. 2016, 66, 166–176. [Google Scholar] [CrossRef]
- Luo, Y.; Baddour, N.; Han, G.; Jiang, F.; Liang, M. Evaluation of the time-varying mesh stiffness for gears with tooth spalls with curved-bottom features. Eng. Fail. Anal. 2018, 92, 430–442. [Google Scholar] [CrossRef]
- Meng, Z.; Shi, G.; Wang, F. Vibration response and fault characteristics analysis of gear based on time-varying mesh stiffness. Mech. Mach. Theory 2020, 148, 103786. [Google Scholar] [CrossRef]
- Ren, F.; Li, A.; Shi, G.; Wu, X.; Wang, N. The Effects of the Planet–Gear Manufacturing Eccentric Errors on the Dynamic Properties for Herringbone Planetary Gears. Appl. Sci. 2020, 10, 1060. [Google Scholar] [CrossRef] [Green Version]
- Gu, X.; Velex, P. On the dynamic simulation of eccentricity errors in planetary gears. Mech. Mach. Theory 2013, 61, 14–29. [Google Scholar] [CrossRef]
- Luo, Y.; Baddour, N.; Liang, M. Effects of gear center distance variation on time varying mesh stiffness of a spur gear pair. Eng. Fail. Anal. 2017, 75, 37–53. [Google Scholar] [CrossRef]
- Cao, Z.; Shao, Y.; Rao, M.; Yu, W. Effects of the gear eccentricities on the dynamic performance of a planetary gear set. Nonlinear Dyn. 2018, 91, 1–15. [Google Scholar] [CrossRef]
- He, X.; Zhou, X.; Xue, Z.; Hou, Y.; Liu, Q.; Wang, R. Effects of gear eccentricity on time-varying mesh stiffness and dynamic behavior of a two-stage gear system. J. Mech. Sci. Technol. 2019, 33, 1019–1032. [Google Scholar] [CrossRef]
- Zhao, B.; Huangfu, Y.; Ma, H.; Zhao, Z.; Wang, K. The influence of the geometric eccentricity on the dynamic behaviors of helical gear systems. Eng. Fail. Anal. 2020, 118, 104907. [Google Scholar] [CrossRef]
- El Yousfi, B.; Soualhi, A.; Medjaher, K.; Guillet, F. New approach for gear mesh stiffness evaluation of spur gears with surface defects. Eng. Fail. Anal. 2020, 116, 104740. [Google Scholar] [CrossRef]
- Sainsot and, P.; Velex, P.; Duverger, O. Contribution of Gear Body to Tooth Deflections—A New Bidimensional Analytical Formula. J. Mech. Des. 2004, 126, 748–752. [Google Scholar] [CrossRef]
- Pillay, P.; Levin, V. Mathematical models for induction machines. In Proceedings of the Conference Record of the 1995 IEEE Industry Applications Conference Thirtieth IAS Annual Meeting, IAS’95, Orlando, FL, USA, 8–12 October 1995; Volume 1, pp. 606–616. [Google Scholar]
- Nandi, S. Modeling of induction machines including stator and rotor slot effects. In Proceedings of the 38th IAS Annual Meeting on Conference Record of the Industry Applications Conference, Salt Lake City, UT, USA, 12–16 October 2003; Volume 2, pp. 1082–1089. [Google Scholar]





















| Parameter | Value |
|---|---|
| Teeth number | , |
| Module () | 1.5 |
| Teeth width () | 15 |
| Pressure angle () | 20 |
| Young modulus () | |
| Poisson’s ratio | 0.3 |
| Center Distance Error (mm) | 0.0 | 0.2 | 0.4 | 0.6 | 0.8 |
|---|---|---|---|---|---|
| Pressure angle () | |||||
| Contact ratio |
| Parameter | Value | Parameter | Value |
|---|---|---|---|
| Pole pairs | 1 | Motor inertia () | |
| Bearing stiffness (/) | Load inertia () | ||
| Bearing damping (/) | Stator resistance () | ||
| Pinion mass () | Rotor resistance () | ||
| Gear mass () | Stator inductance () | ||
| Pinion inertia ( ) | Rotor inductance () | ||
| Gear inertia () | Magnetic inductance () |
Publisher’s Note: MDPI stays neutral with regard to jurisdictional claims in published maps and institutional affiliations. |
© 2021 by the authors. Licensee MDPI, Basel, Switzerland. This article is an open access article distributed under the terms and conditions of the Creative Commons Attribution (CC BY) license (https://creativecommons.org/licenses/by/4.0/).
Share and Cite
El Yousfi, B.; Soualhi, A.; Medjaher, K.; Guillet, F. A New Analytical Method for Modeling the Effect of Assembly Errors on a Motor-Gearbox System. Energies 2021, 14, 4993. https://doi.org/10.3390/en14164993
El Yousfi B, Soualhi A, Medjaher K, Guillet F. A New Analytical Method for Modeling the Effect of Assembly Errors on a Motor-Gearbox System. Energies. 2021; 14(16):4993. https://doi.org/10.3390/en14164993
Chicago/Turabian StyleEl Yousfi, Bilal, Abdenour Soualhi, Kamal Medjaher, and François Guillet. 2021. "A New Analytical Method for Modeling the Effect of Assembly Errors on a Motor-Gearbox System" Energies 14, no. 16: 4993. https://doi.org/10.3390/en14164993
APA StyleEl Yousfi, B., Soualhi, A., Medjaher, K., & Guillet, F. (2021). A New Analytical Method for Modeling the Effect of Assembly Errors on a Motor-Gearbox System. Energies, 14(16), 4993. https://doi.org/10.3390/en14164993

