Simulating Plasma Formation in Pores under Short Electric Pulses for Plasma Pulse Geo Drilling (PPGD)
Abstract
:1. Introduction
2. Model Description
- The electric current is confined to a single, 1-D conducting path of rock grains and rock pores, similar to previous experimental studies [10,48]. Here, we assume that the voltage pulse dissipates all its energy into the simulated conducting path, and we neglect the electric energy dissipation in the non-conducting layers and the wellbore fluid.
- All energy dissipated from the electrodes into the conducting path either (a) generates a plasma within the rock pores or (b) heats the rock grains. However, we only investigate the energy dissipation into pores for generating and heating the plasma, resulting in the final pore pressure. Thus, we neglect all effects induced by thermal stresses that occur due to heating of the rock grains.
- All energy dissipated into the rock pore fluid (i.e., Nitrogen) heats the pore fluid as an ideal gas at constant volume, increasing the pore fluid pressure. We thereby neglect the variation of the gas specific heat capacity with temperature.
- First, realistic operation parameters for the simulation are selected (Section 2.1).
- The voltage drop across the simulation domain (i.e., a single pore) is calculated with the pulse voltage distribution law (Section 2.2).
- The Nitrogen Paschen Curve, which defines the minimum voltage for plasma formation for a given pore size and initial pressure, is then compared with the pore voltage drops calculated by our model. This can determine if plasma formation can occur (Section 2.3).
- Next, the voltage drop across the pore is used to simulate plasma generation in each rock pore. Here, BOLSIG+ [52] and ZAPDOS [53] determine the power deposition density within a pore, which is defined as the electric energy deposition per unit time per unit volume (Section 2.4 and Section 2.5).
- The increase in gas pressure can then be calculated from the power deposition density of the plasma electrons to the surrounding pore plasma ions (Section 2.6).
- Lastly, a damage model is used to determine whether the resulting pressure will result in rock fracturing (Section 2.7).
2.1. Simulation Parameters
2.2. Voltage across a Pore
2.2.1. Voltage Pulse Profile
2.2.2. Capacitance Circuit Model
2.2.3. Rock Effective Relative Permittivity
2.3. Paschen Curve
2.4. Electron Coefficients Calculation Using BOLSIG+
2.5. Plasma Formation Simulation Using ZAPDOS
2.6. Pore Pressure Increase Calculation
2.7. Rock Damage Model
2.7.1. Rock Failure Criterion
2.7.2. Stress Distribution and Edge Effect
3. Results and Discussion
3.1. Pore Voltage and the Paschen Curve
3.2. Electric Power Deposition (ZAPDOS Results)
3.3. Pore Pressure and Rock Fracturing
4. Conclusions
- The voltage drop across a rock pore is typically sufficient to generate a plasma. Using capacitors in series to represent the voltage distribution in rock, we found that the resulting voltage drop was above the minimum required voltage necessary to generate a plasma according to the Paschen Curve. The pore voltage is greater than the minimum required for plasma formation for all pore sizes and maximum plasma voltages tested.
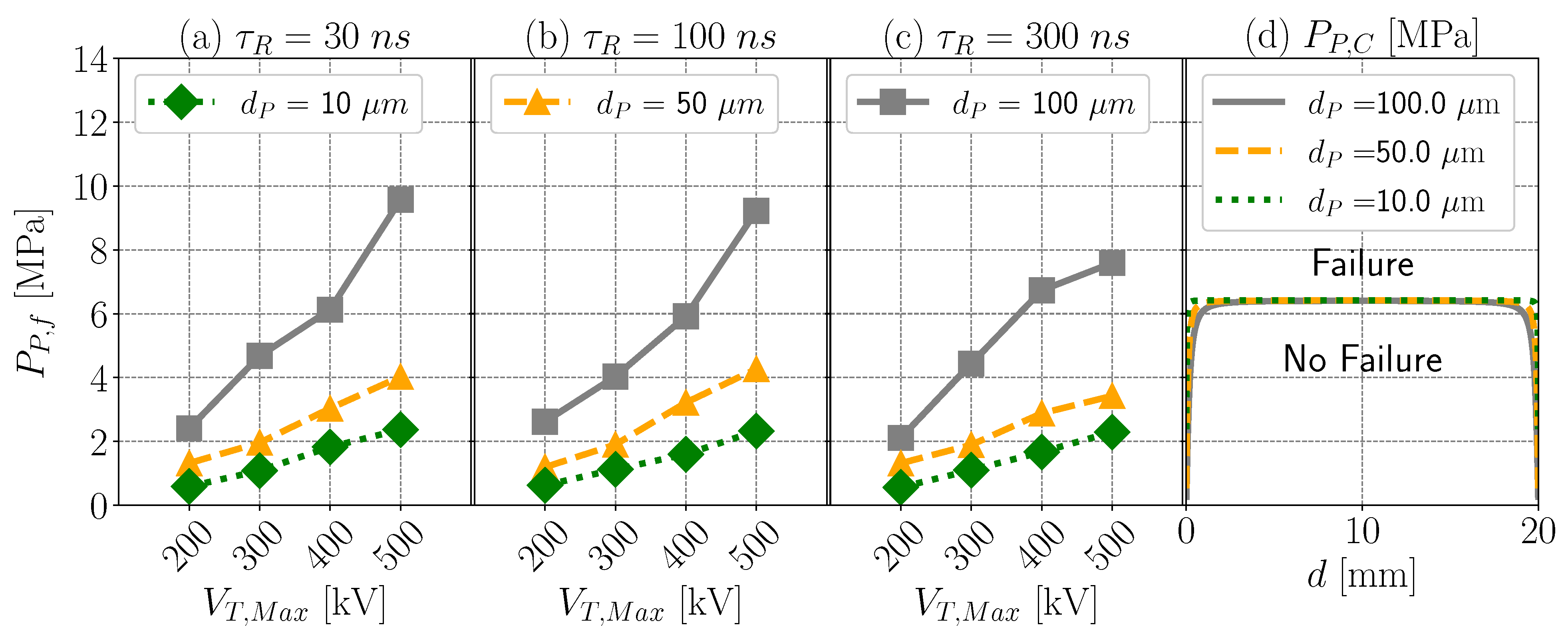
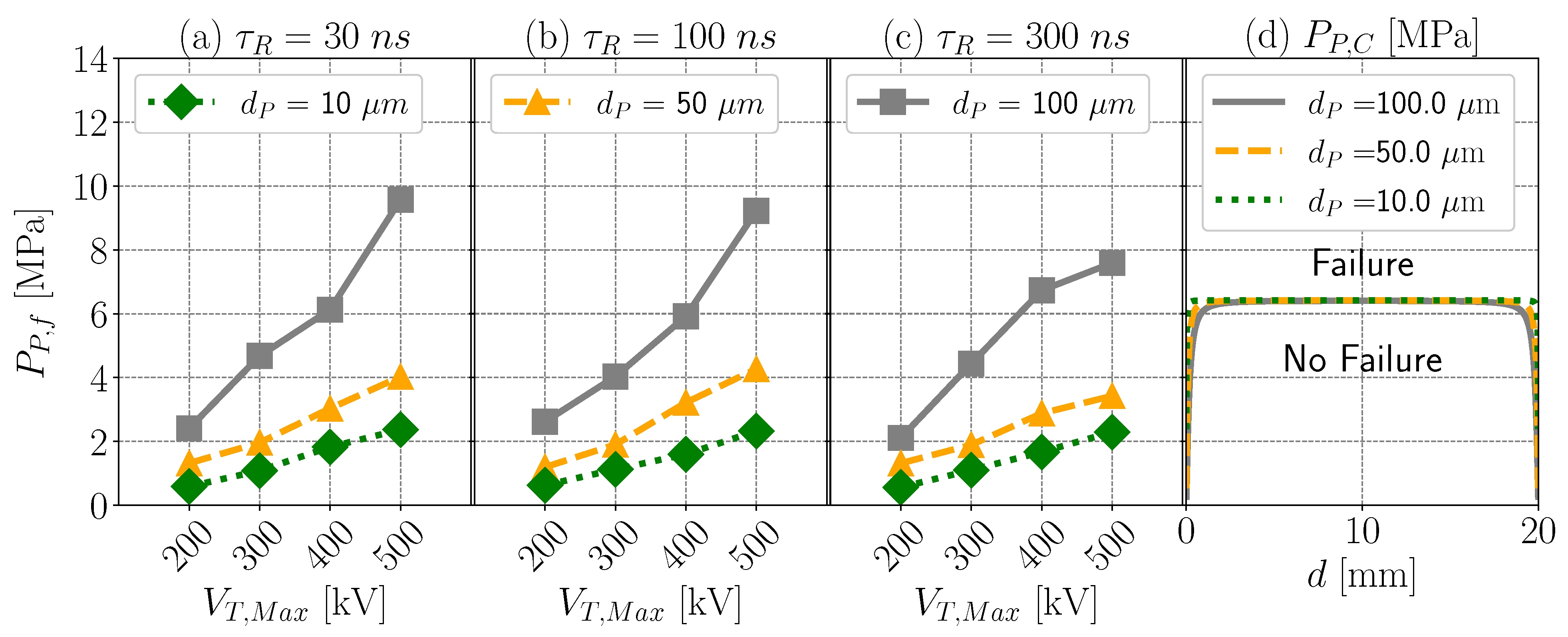
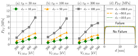
- The energy deposited by a plasma increases with decreasing voltage pulse rise time. We simulated plasma generation in pores with the numerical simulators BOLSIG+ and ZAPDOS. For all pulse rise times, we used a discharge period so that the energy discharged into the rock is the same. However, the longer pulse rise time simulations yield a lower pore voltage drop, although over a longer period of time. Thus, while the energy discharged into the rock is the same, the energy deposited by the plasma is lower for larger voltage pulse rise times. Smaller voltage pulse rise times therefore promote rock fracturing and thus PPGD.
- The energy deposited by a plasma is higher for larger pore sizes. Larger pore sizes yield larger distances over which the electrons have to travel so that the plasma electrons require more energy, which is eventually dissipated into the plasma ions. Higher energy deposition leads to greater pore temperatures, greater pore pressures, and an increased likelihood of rock fracturing.
- In our investigated cases, the pore pressure increase (due to plasma energy deposition) was always large enough to fracture the assumed granite. Rock fractures when the pore pressure exceeds the failure criterion, i.e., the granite fractures when the stress exceeds the sum of the granite’s tensile strength of 6.3 MPa and the adjacent wellbore fluid pressure of 0.1 MPa. In the simulations with a 100 μm pore size, the granite begins to fracture near a maximum applied pulse voltage drop of 400 kV, which is also consistent with experiments reported in the literature.
- The damage onset begins near the electrodes and expands from pulse to pulse. Lower critical pore pressures are sufficient to reach the failure criterion near the electrodes than in the center between the two electrodes. For all simulated pore sizes and maximum voltage drops, this damage onset, occurs near the electrodes, expands from pulse to pulse, eventually leading to fracturing, which is also consistent with experiments reported in the literature.
Author Contributions
Funding
Acknowledgments
Conflicts of Interest
Nomenclature
| m | Mineral Index | - |
| n | Number of Minerals | - |
| Mineral Volume Fraction | - | |
| Mineral Relative Permittivity | - | |
| A | Paschen Curve First Coefficient | |
| B | Paschen Curve Second Coefficient | |
| C | Capacitance | F |
| Single Rock Grain Capacitance | F | |
| Single Rock Pore Capacitance | F | |
| Total Circuit Capacitance | F | |
| Gas Specific Heat at Constant Volume | J/kg/C | |
| Rock Grain Total Capacitance | F | |
| Rock Pore Total Capacitance | F | |
| Electrode Gap Distance | mm | |
| d | The Distance from the Left Electrode | mm |
| Rock Pore Size | μm | |
| Ion Diffusivity | ||
| Ion Mobility | ||
| Electron Diffusivity | ||
| Electron Mobility | ||
| Energy Deposited by Plasma | ||
| L | Capacitor Gap Spacing | m |
| Number of Pores in Rock Sample | - | |
| Initial Pore Pressure | MPa | |
| Final Pore Pressure | MPa | |
| S | Capacitor Surface Area | |
| Rock Layer Cross-sectional Area | ||
| t | Simulation Time | ns |
| Initial Pore Temperature | ||
| Final Pore Temperature | ||
| Single Pore Voltage Drop | ||
| Paschen Curve Threshold | ||
| Pulse Voltage Drop | kV | |
| Maximum Pulse Voltage Drop | kV | |
| Maximum Pore Voltage | kV | |
| Rock Grains Total Voltage Drop | kV | |
| Rock Pores Total Voltage Drop | kV | |
| Power Deposition Density by Plasma | ||
| Townsend Ionization Coefficient | ||
| Townsend Excitation Coefficient | ||
| Townsend elastic collision coefficient | ||
| N | Number Density | |
| N | Number Density | |
| Secondary Ionization Coefficient | - | |
| Mean Electron Energy | eV | |
| Nitrogen Ionization Energy | eV | |
| Pore Temperature Increase | ||
| Vacuum Permittivity Constant | F/m | |
| Rock Effective Relative Permittivity | - | |
| Pore Fluid Relative Permittivity | - | |
| Nitrogen Density | ||
| Tensile Strength | MPa | |
| Plasma Discharge Time | ns | |
| Pulse Rise Time | ns | |
| Rock Porosity | - | |
| Critical Pore Pressure, | MPa | |
| D | Pore Depth | μm |
References
- Tester, J.; Anderson, B.; Batchelor, A.; Blackwell, D.; DiPippo, R.; Drake, E.; Garnish, J.; Livesay, B.; Moore, M.; Nichols, K.; et al. The Future of Geothermal Energy; Idaho National Laboratory: Idaho Falls, ID, USA, 2006. [Google Scholar]
- Al-Khdheeawi, E.A.; Mahdi, D.S.; Feng, R. Lithology Determination from Drilling Data Using Artificial Neural Network. In Proceedings of the 53rd US Rock Mechanics/Geomechanics Symposium, New York, NY, USA, 23–26 June 2019. [Google Scholar]
- Al-Khdheeawi, E.A.; Mahdi, D.S. Apparent viscosity prediction of water-based muds using empirical correlation and an artificial neural network. Energies 2019, 12, 3067. [Google Scholar] [CrossRef] [Green Version]
- Mahdi, D.S. Predicting Drilling Rate of Penetration Using Artificial Neural Networks. IOP Conf. Ser. Mater. Sci. Eng. 2021, 1067, 012150. [Google Scholar] [CrossRef]
- Schiegg, H.O.; Rødland, A.; Zhu, G.; Yuen, D.A. Electro-pulse-boring (EPB): Novel super-deep drilling technology for low cost electricity. J. Earth Sci. 2015, 26, 37–46. [Google Scholar] [CrossRef]
- Vogler, D.; Walsh, S.D.C.; von Rohr, P.R.; Saar, M.O. Simulation of rock failure modes in thermal spallation drilling. Acta Geotech. 2020, 15, 2327–2340. [Google Scholar] [CrossRef]
- Rossi, E.; Adams, B.; Vogler, D.; Rudolf von Rohr, P.; Kammermann, B.; Saar, M.O. Advanced drilling technologies to improve the economics of deep geo-resource utilization. In Proceedings of the 2nd Applied Energy Symposium: MIT A+ B (MITAB 2020) (Virtual), Boston, MA, USA, 13–14 August 2020; Geothermal Energy & Geofluids, ETH Zurich: Zurich, Switzerland, 2020; p. 148. [Google Scholar]
- Vorob’ev, A.; Vorob’ev, G.; Chepikov, A. Regularities of breakdown of a solid dielectric at the interface with a liquid dielectric under the action of a voltage pulse. Vyshaya Shkola Mosc. 1961. (In Russian) [Google Scholar]
- Boev, S.; Vajov, V.; Levchenko, B.; Jgun, D.; Muratov, V.; Peltsman, S.; Adam, A.; Uemura, K. Electropulse technology of material destruction and boring. In Proceedings of the 11th IEEE International Pulsed Power Conference, Baltimore, MA, USA, 29 June–2 July 1997; Volume 1, pp. 220–225. [Google Scholar] [CrossRef]
- Lisitsyn, I.V.; Inoue, H.; Nishizawa, I.; Katsuki, S.; Akiyama, H. Breakdown and destruction of heterogeneous solid dielectrics by high voltage pulses. J. Appl. Phys. 1998, 84, 6262–6267. [Google Scholar] [CrossRef]
- Timoshkin, I.V.; Mackersie, J.W.; MacGregor, S.J. Plasma channel miniature hole drilling technology. IEEE Trans. Plasma Sci. 2004, 32, 2055–2061. [Google Scholar] [CrossRef]
- Vazhov, V.F.; Gafarov, R.R.; Datskevich, S.Y.; Zhurkov, M.Y.; Muratov, V.M. Electric-pulse breakdown and the breakage of granite. Tech. Phys. 2010, 55, 833–838. [Google Scholar] [CrossRef]
- Anders, E.; Voigt, M.; Lehmann, F.; Mezzetti, M. Electric Impulse Drilling: The Future of Drilling Technology Begins Now. In Proceedings of the 36th International Conference on Ocean, Offshore & Arctic Engineering, Trondheim, Norway, 25–30 June 2017; Volume 8. [Google Scholar] [CrossRef]
- Ushakov, V.Y.; Vajov, V.F.; Zinoviev, N.T. Electro-Discharge Technology for Drilling Wells and Concrete Destruction; Springer: Cham, Switzerland, 2019. [Google Scholar]
- Li, C.; Duan, L.; Tan, S.; Chikhotkin, V.; Fu, W. Damage Model and Numerical Experiment of High-Voltage Electro Pulse Boring in Granite. Energies 2019, 12, 727. [Google Scholar] [CrossRef] [Green Version]
- Li, C.; Duan, L.; Wu, L.; Tan, S.; Zheng, J.; Chikhotkin, V. Experimental and numerical analyses of electro-pulse rock-breaking drilling. J. Nat. Gas Sci. Eng. 2020, 77, 103263. [Google Scholar] [CrossRef]
- Vogler, D.; Walsh, S.D.; Saar, M.O. A numerical investigation into key factors controlling hard rock excavation via electropulse stimulation. J. Rock Mech. Geotech. Eng. 2020, 12, 793–801. [Google Scholar] [CrossRef]
- Zhu, X.; Luo, Y.; Liu, W. On the rock-breaking mechanism of plasma channel drilling technology. J. Pet. Sci. Eng. 2020, 194, 107356. [Google Scholar] [CrossRef]
- Zhu, X.; Luo, Y.; Liu, W.; He, L.; Gao, R.; Jia, Y. On the Mechanism of High-Voltage Pulsed Fragmentation from Electrical Breakdown Process. Rock Mech. Rock Eng. 2021, 1–24. [Google Scholar] [CrossRef]
- Browning, J.A. Flame Jet Drilling and Chambering to Great Depths in Crystalline Rock; Technical Report; Advanced Research Projects Agency: Hanover, NH, USA, 1982. [Google Scholar]
- Rauenzahn, R.; Tester, J. Rock failure mechanisms of flame-jet thermal spallation drilling—Theory and experimental testing. Int. J. Rock Mech. Min. Sci. Geomech. Abstr. 1989, 26, 381–399. [Google Scholar] [CrossRef]
- Potter, R.M.; Tester, J.W. Continuous Drilling of Vertical Boreholes by Thermal Processes: Including Rock Spallation and Fusion. U.S. Patent 5,771,984, 30 June 1998. [Google Scholar]
- Augustine, C.; Tester, J.W.; Anderson, B.; Petty, S.; Livesay, B. A comparison of geothermal with oil and gas well drilling costs. In Proceedings of the 31st Workshop on Geothermal Reservoir Engineering, Stanford, CA, USA, 30 January–1 February 2006; Curran Associates Inc.: New York, NY, USA, 2006; pp. 5–19. [Google Scholar]
- Augustine, C.R. Hydrothermal Spallation Drilling and Advanced Energy Conversion Technologies for Engineered Geothermal Systems. Ph.D. Thesis, Massachusetts Institute of Technology, Cambridge, MA, USA, 2009. [Google Scholar]
- Von Rohr, P.R.; Rothenfluh, T.; Schuler, M. Rock Drilling in Great Depths by Thermal Fragmentation Using Highly Exothermic Reactions Evolving in the Environment of a Water-Based Drilling Fluid. U.S. Patent 8,967,293, 3 March 2015. [Google Scholar]
- Rudolf von Rohr, P.; Kant, M.; Rossi, E. An Apparatus for Thermal Spallation of a Borehole. European Patent EP3450675A1, 28 August 2017. [Google Scholar]
- Kant, M.A.; Rossi, E.; Duss, J.; Amann, F.; Saar, M.O.; von Rohr, P.R. Demonstration of thermal borehole enlargement to facilitate controlled reservoir engineering for deep geothermal, oil or gas systems. Appl. Energy 2018, 212, 1501–1509. [Google Scholar] [CrossRef]
- Rossi, E.; Kant, M.A.; Madonna, C.; Saar, M.O.; von Rohr, P.R. The effects of high heating rate and high temperature on the rock strength: Feasibility study of a thermally assisted drilling method. Rock Mech. Rock Eng. 2018, 51, 2957–2964. [Google Scholar] [CrossRef]
- Rossi, E.; Jamali, S.; Wittig, V.; Saar, M.O.; von Rohr, P.R. A combined thermo-mechanical drilling technology for deep geothermal and hard rock reservoirs. Geothermics 2020, 85, 101771. [Google Scholar] [CrossRef]
- Rossi, E.; Jamali, S.; Saar, M.O.; von Rohr, P.R. Field test of a Combined Thermo-Mechanical Drilling technology. Mode I: Thermal spallation drilling. J. Pet. Sci. Eng. 2020, 190, 107005. [Google Scholar] [CrossRef]
- Rossi, E.; Jamali, S.; Schwarz, D.; Saar, M.O.; von Rohr, P.R. Field test of a Combined Thermo-Mechanical Drilling technology. Mode II: Flame-assisted rotary drilling. J. Pet. Sci. Eng. 2020, 190, 106880. [Google Scholar] [CrossRef]
- Rossi, E.; Saar, M.O.; Rudolf von Rohr, P. The influence of thermal treatment on rock–bit interaction: A study of a combined thermo–mechanical drilling (CTMD) concept. Geotherm. Energy 2020, 8, 1–22. [Google Scholar] [CrossRef]
- Farmer, I.; Attewell, P. Rock penetration by high velocity water jet: A review of the general problem and an experimental study. Int. J. Rock Mech. Min. Sci. Geomech. Abstr. 1965, 2, 135–153. [Google Scholar] [CrossRef]
- Harris, H.; Mellor, M. Cutting rock with water jets. Int. J. Rock Mech. Min. Sci. Geomech. Abstr. 1974, 11, 343–358. [Google Scholar] [CrossRef]
- Buset, P.; Riiber, M.; Eek, A. Jet drilling tool: Cost-effective lateral drilling technology for enhanced oil recovery. In Proceedings of the SPE/ICoTA Coiled Tubing Roundtable, Houston, TX, USA, 7–8 March 2001. [Google Scholar]
- Bruni, M.A.; Biasotti, J.H.; Salomone, G.D. Radial drilling in Argentina. In Proceedings of the Latin American & Caribbean Petroleum Engineering Conference, Buenos Aires, Argentina, 15–18 April 2007. [Google Scholar]
- Reinsch, T.; Paap, B.; Hahn, S.; Wittig, V.; van den Berg, S. Insights into the radial water jet drilling technology—Application in a quarry. J. Rock Mech. Geotech. Eng. 2018, 10, 236–248. [Google Scholar] [CrossRef]
- Moavenzadeh, F.; Williamson, R.; McGarry, F. Laser Assisted Rock Fracture; Technical Report; Massachusetts Institute of Technology: Cambridge, MA, USA, 1967. [Google Scholar]
- Farra, G. Experimental Observations of Rock Failure due to Laser Radiation. Ph.D. Thesis, Massachusetts Institute of Technology, Cambridge, MA, USA, 1969. [Google Scholar]
- Parker, R.; Xu, Z.; Reed, C.; Graves, R.; Gahan, B.; Batarseh, S. Drilling large diameter holes in rocks using multiple laser beams. In Proceedings of the International Congress on Applications of Lasers & Electro-Optics, Jacksonville, FL, USA, 13–16 October 2003; Volume 1, p. 504. [Google Scholar] [CrossRef]
- Xu, Z.; Reed, C.B.; Parker, R.; Graves, R. Laser spallation of rocks for oil well drilling. In Proceedings of the International Congress on Applications of Lasers &Electro-Optics, San Francisco, CA, USA, 4–7 October 2004; Volume 1, p. 1803. [Google Scholar]
- Ezzedine, S.; Rubenchik, A.; Yamamoto, R.; Vorobiev, O. Laser-enhanced drilling for subsurface EGS applications. GRC Trans. 2012, 36, 287–290. [Google Scholar]
- Buckstegge, F.; Michel, T.; Zimmermann, M.; Roth, S.; Schmidt, M. Advanced Rock Drilling Technologies Using High Laser Power. Phys. Procedia 2016, 83, 336–343. [Google Scholar] [CrossRef] [Green Version]
- Rodland, A. Deep Geothermal Energy; Photonics for Harvesting. In Proceedings of the Swissphotonics-Workshop: Photonics for Deep Geothermal Energy Harvesting, Neuchatel, Switzerland, 7 November 2012; Commission for Technology and Innovation CTI: Neuchatel, Switzerland, 2012; pp. 125–129. [Google Scholar]
- Chen, F.F. Introduction to Plasma Physics, 3rd ed.; Springer Science & Business Media: Cham, Switzerland, 2018. [Google Scholar] [CrossRef]
- Lehr, J.; Ron, P. Foundations of Pulsed Power Technology; John Wiley & Sons, Ltd.: Hoboken, NJ, USA, 2017. [Google Scholar] [CrossRef]
- Jonscher, A.; Lacoste, R. On a cumulative model of dielectric breakdown in solids. IEEE Trans. Electr. Insul. 1984, 6, 567–577. [Google Scholar] [CrossRef]
- Inoue, H.; Lisitsyn, I.V.; Akiyama, H.; Nishizawa, I. Pulsed Electric Breakdown and Destruction of Granite. Jpn. J. Appl. Phys. 1999, 38, 6502–6505. [Google Scholar] [CrossRef]
- Budenstein, P.P. On the Mechanism of Dielectric Breakdown of Solids. IEEE Trans. Electr. Insul. 1980, 3, 225–240. [Google Scholar] [CrossRef]
- Walsh, S.D.; Vogler, D. Simulating electropulse fracture of granitic rock. Int. J. Rock Mech. Min. Sci. 2020, 128, 104238. [Google Scholar] [CrossRef] [Green Version]
- Vazhov, V.F.; Gafarov, R.R.; Datskevich, S.Y.; Zhurkov, M.Y.; Lopatin, V.V.; Muratov, V.M.; Jeffryes, B. Breakage of rocks by pulsed electric discharge at elevated pressures and temperatures. Tech. Phys. Lett. 2011, 37, 383–386. [Google Scholar] [CrossRef]
- Hagelaar, G.J.M.; Pitchford, L.C. Solving the Boltzmann equation to obtain electron transport coefficients and rate coefficients for fluid models. Plasma Sources Sci. Technol. 2005, 14, 722–733. [Google Scholar] [CrossRef]
- Lindsay, A.D.; Graves, D.B.; Shannon, S.C. Fully coupled simulation of the plasma liquid interface and interfacial coefficient effects. J. Phys. D Appl. Phys. 2016, 49, 235204. [Google Scholar] [CrossRef] [Green Version]
- Schild, M.; Siegesmund, S.; Vollbrecht, A.; Mazurek, M. Characterization of granite matrix porosity and pore-space geometry by in situ and laboratory methods. Geophys. J. Int. 2001, 146, 111–125. [Google Scholar] [CrossRef] [Green Version]
- Hiraga, T.; Nagase, T.; Akizuki, M. The structure of grain boundaries in granite-origin ultramylonite studied by high-resolution electron microscopy. Phys. Chem. Miner. 1999, 26, 617–623. [Google Scholar] [CrossRef]
- Hõbejõgi, T. Compact Pulse Modulator for Plasma Channel Drilling. Ph.D. Thesis, ETH Zurich, Zurich, Switzerland, 2014. [Google Scholar] [CrossRef]
- Uhlig, H.H.; Keyes, F.G. The Dependence of the Dielectric Constants of Gases on Temperature and Density. J. Chem. Phys. 1933, 1, 155–159. [Google Scholar] [CrossRef]
- Nelson, S.O.; Lindroth, D.P.; Blake, R.L. Dielectric properties of selected minerals at 1 to 22 GHz. Geophysics 1989, 54, 1344–1349. [Google Scholar] [CrossRef]
- Zheng, Y.; Wang, S.; Feng, J.; Ouyang, Z.; Li, X. Measurement of the complex permittivity of dry rocks and minerals: Application of polythene dilution method and Lichtenecker’s mixture formulae. Geophys. J. Int. 2005, 163, 1195–1202. [Google Scholar] [CrossRef] [Green Version]
- Stuart, M.R. Dielectric Constant of Quartz as a Function of Frequency and Temperature. J. Appl. Phys. 1955, 26, 1399–1404. [Google Scholar] [CrossRef]
- Olhoeft, G.R. Tables of Room Temperature Electrical Properties for Selected Rocks and Minerals with Dielectric Permittivity Statistics; Technical Report; U.S. Geological Survey: Reston, VA, USA, 1979. [Google Scholar] [CrossRef] [Green Version]
- Nakamura, T.; Shimizu, M.; Kimura, H.; Sato, R. Effective permittivity of amorphous mixed materials. Electron. Commun. Jpn. (Part I Commun.) 2005, 88, 1–9. [Google Scholar] [CrossRef]
- Townsend, J. Electrons in Gases; Hutchinson’s Scientific and Technical Publications: London, UK, 1947. [Google Scholar]
- Husain, E.; Nema, R.S. Analysis of Paschen Curves for air, N2 and SF6 Using the Townsend Breakdown Equation. IEEE Trans. Electr. Insul. 1982, 4, 350–353. [Google Scholar] [CrossRef]
- Luque, A. BOLtzmann Equation Solver Open Source Library (BOLOS). 2015. Available online: https://bolos.readthedocs.io/en/latest/ (accessed on 28 March 2019).
- Permann, C.J.; Gaston, D.R.; Andrš, D.; Carlsen, R.W.; Kong, F.; Lindsay, A.D.; Miller, J.M.; Peterson, J.W.; Slaughter, A.E.; Stogner, R.H.; et al. MOOSE: Enabling massively parallel multiphysics simulation. SoftwareX 2020, 11, 100430. [Google Scholar] [CrossRef]
- Zavilopulo, A.N.; Chipev, F.F.; Shpenik, O.B. Ionization of nitrogen, oxygen, water, and carbon dioxide molecules by near-threshold electron impact. Tech. Phys. 2005, 50, 402–407. [Google Scholar] [CrossRef]
- Paul, B. A Modification of the Coulomb-Mohr Theory of Fracture. J. Appl. Mech. 1961, 28, 259–268. [Google Scholar] [CrossRef]
- Labuz, J.F.; Zang, A. Mohr–Coulomb Failure Criterion. Rock Mech. Rock Eng. 2012, 45, 975–979. [Google Scholar] [CrossRef] [Green Version]
- Perras, M.A.; Diederichs, M.S. A Review of the Tensile Strength of Rock: Concepts and Testing. Geotech. Geol. Eng. 2014, 32, 525–546. [Google Scholar] [CrossRef]
- Parkhomenko, E.I. Brief Introduction to the Piezoelectric Effect. In Electrification Phenomena in Rocks; Springer US: Boston, MA, USA, 1971; pp. 3–33. [Google Scholar]
- Mammano, G.S.; Dragoni, E. Stress concentrations around a pressurized hole close to a uniformly loaded boundary. J. Strain Anal. Eng. Des. 2009, 44, 569–575. [Google Scholar] [CrossRef]
- Vazhov, V.F.; Datskvich, S.Y.; Zhurkov, M.Y.; Muratov, V.M. Electric pulse breakdown and rock fracture in a coupled environment of increased pressure and temperature. J. Phys. Conf. Ser. 2014, 552, 012050. [Google Scholar] [CrossRef] [Green Version]
- Parkhomenko, E. Dielectric Properties of Rocks. In Electrical Properties of Rocks; Springer US: Boston, MA, USA, 1967; pp. 11–57. [Google Scholar]








| Name | Symbol | Value | Unit |
|---|---|---|---|
| Pulse Maximum Voltage Drop | 200, 300, 400, or 500 | ||
| Electrode Gap Distance | 20 | ||
| Pulse Rise Time | 30, 100, or 300 | ns | |
| Pulse Discharge Time | 678, 730, or 882 | ns | |
| Rock Type | - | Granite | - |
| Rock Pore Size | 10, 50, or 100 | μm | |
| Rock Porosity | 1 | % | |
| Rock Tensile Strength | 6.3 | ||
| Rock Grains Effective Relative Permittivity | 5.58 | - | |
| Pore Fluid | - | Nitrogen | - |
| Pore Fluid Relative Permittivity | 1 | - | |
| Pore Initial Pressure | 0.1 | MPa | |
| Pore Initial Temperature | 15 | ||
| Nitrogen Paschen Curve First Constant | A | 9 | |
| Nitrogen Paschen Curve Second Constant | B | 256.5 | |
| Secondary ionization coefficient | 0.01 | - |
| Mineral | Reference | Reference | ||
|---|---|---|---|---|
| K-feldspar | 45% | Vogler et al. [17] | 6.03 | Nelson et al. [58] |
| Plagioclase | 20% | Vogler et al. [17] | 6.34 | Zheng et al. [59] |
| Quartz | 30% | Vogler et al. [17] | 4.50 | Stuart [60] |
| Biotite | 5% | Vogler et al. [17] | 6.30 | Olhoeft [61] |
| Effective relative electric permittivity | 5.58 | Equation (14) | ||
| Name | Symbol | Values | Unit |
|---|---|---|---|
| Pore Fluid | - | Nitrogen | - |
| Pore Size | 10, 50, 100 | μm | |
| Pore Voltage Drop | Variable | kV | |
| Pore Initial Pressure | 0.1 | MPa | |
| Pore Initial Temperature | 15 | MPa | |
| Nitrogen Ionization Energy | 15.58 | eV | |
| Ion Mobility | |||
| Ion Diffusivity | |||
| Electron Mobility | Variable | ||
| Electron Diffusivity | Variable | ||
| Townsend Ionization Coefficient | Variable | ||
| Townsend Excitation Coefficient | Variable | ||
| Townsend Elastic Collision Coefficient | Variable |
Publisher’s Note: MDPI stays neutral with regard to jurisdictional claims in published maps and institutional affiliations. |
© 2021 by the authors. Licensee MDPI, Basel, Switzerland. This article is an open access article distributed under the terms and conditions of the Creative Commons Attribution (CC BY) license (https://creativecommons.org/licenses/by/4.0/).
Share and Cite
Ezzat, M.; Vogler, D.; Saar, M.O.; Adams, B.M. Simulating Plasma Formation in Pores under Short Electric Pulses for Plasma Pulse Geo Drilling (PPGD). Energies 2021, 14, 4717. https://doi.org/10.3390/en14164717
Ezzat M, Vogler D, Saar MO, Adams BM. Simulating Plasma Formation in Pores under Short Electric Pulses for Plasma Pulse Geo Drilling (PPGD). Energies. 2021; 14(16):4717. https://doi.org/10.3390/en14164717
Chicago/Turabian StyleEzzat, Mohamed, Daniel Vogler, Martin O. Saar, and Benjamin M. Adams. 2021. "Simulating Plasma Formation in Pores under Short Electric Pulses for Plasma Pulse Geo Drilling (PPGD)" Energies 14, no. 16: 4717. https://doi.org/10.3390/en14164717
APA StyleEzzat, M., Vogler, D., Saar, M. O., & Adams, B. M. (2021). Simulating Plasma Formation in Pores under Short Electric Pulses for Plasma Pulse Geo Drilling (PPGD). Energies, 14(16), 4717. https://doi.org/10.3390/en14164717

