Heat Transmission of Engine-Oil-Based Rotating Nanofluids Flow with Influence of Partial Slip Condition: A Computational Model
Abstract
:1. Introduction
2. Mathematical Formulation
3. Transformation Methodology
4. Method of Solution
5. Results and Graphical Interpretation
6. Graphs of Skin Friction and Nusselt Number
7. Conclusions
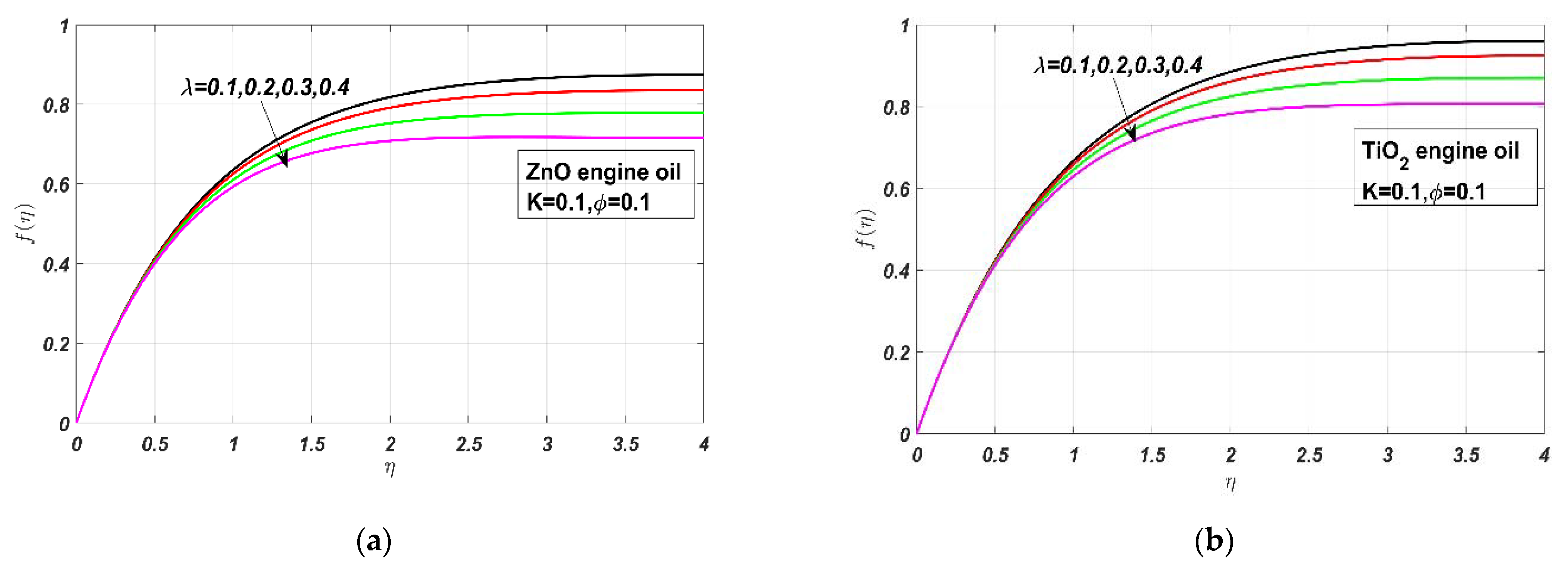
- Partial slip increases and rotation decreases the velocity of both nanofluids.
- The numerical values of skin friction for in the case of a viscous fluid match those already published, confirming the accuracy of the present results.
- The temperature of the nanofluid decreases with increasing partial slip.
- Volume fraction and rotation both increase the temperatures of both nanofluids, but this effect is more prominent in the case of as compared to engine oil nanofluid.
- Local skin resistances increase with increasing nanoparticle angular velocity and particle volume fraction. This rise is higher in the case of the-based nanofluid.
- The entire heat transfer of the surface increases with increasing volume fraction and decreases with increasing rotation.
- The -based engine oil is proved to be a good heat carrier as compared to the engine oil nanofluid.
Author Contributions
Funding
Data Availability Statement
Acknowledgments
Conflicts of Interest
Nomenclature
| a | surface stretching rate |
| skin friction coefficients along x- and y-axis. | |
| specific heat at constant pressure | |
| dimensionless components of velocity | |
| fluid temperature, wall temperature, and free stream temperatures, respectively | |
| velocity components of and directions | |
| velocity field | |
| Cartesian coordinates | |
| Prandtl number | |
| slip parameter | |
| Greek Symbols | |
| dimensionless space variable | |
| dimensionless temperature | |
| volume fraction of nanoparticles | |
| rotation parameter | |
| constant angular velocity | |
| thermal conductivities of solid nanoparticle, base fluid, and nanofluid, respectively | |
| density of solid nanoparticle, base fluid, and nanofluid, respectively | |
| dynamic viscosities of the base fluid and nanofluid, respectively | |
| kinematic viscosities of the base fluid and nanofluid, respectively | |
| thermal diffusivities of the base fluid and nanofluid, respectively | |
| volumetric heat capacity of the base fluid | |
| volumetric heat capacity of the nanofluid | |
| Subscripts | |
| conditions at wall and infinity, respectively | |
| nanofluid and base fluid, respectively | |
| solid nanoparticles | |
| Superscripts | |
| ,, | 1st, 2nd, and 3rd derivative for |
References
- Crane, L.J. Flow past a stretching plate. Z. Angew. Math. Physik 1970, 21, 645–647. [Google Scholar] [CrossRef]
- Siddappa, B. Rivlin-ericksen fluid flow past a stretching plate. Kyungpook Mathemat. J. 1980, 20, 267–272. [Google Scholar]
- Wang, C.Y. The three-dimensional flow due to a stretching flat surface. Phys. Fluids 1984, 27, 1915. [Google Scholar] [CrossRef]
- Rajagopal, K.R.; Na, T.-Y.; Gupta, A.S. Flow of a viscoelastic fluid over a stretching sheet. Rheol. Acta 1984, 23, 213–215. [Google Scholar] [CrossRef]
- Wang, X.; Xu, X.; Choi, S.U.S. Thermal Conductivity of Nanoparticle–Fluid Mixture. J. Thermophys. Heat Transf. 1999, 13, 474–480. [Google Scholar] [CrossRef]
- Kumari, M.; Nath, G. Transient rotating flow over a moving surface with a magnetic field. Int. J. Heat Mass Transf. 2005, 48, 2878–2885. [Google Scholar] [CrossRef] [Green Version]
- Narahari, M.; Debnath, L. Unsteady magnetohydrodynamic free convection flow past an accelerated vertical plate with constant heat flux and heat generation or absorption. ZAMM J. Appl. Math. Mech./Z. Angew. Math. Mech. 2012, 93, 38–49. [Google Scholar] [CrossRef]
- Wang, C.Y. Stretching a surface in a rotating fluid. Z. Angew. Math. Physik 1988, 39, 177–185. [Google Scholar] [CrossRef]
- Vajravelu, K.; Kumar, B. Analytical and numerical solutions of a coupled non-linear system arising in a three-dimensional rotating flow. Int. J. Non Linear Mech. 2004, 39, 13–24. [Google Scholar] [CrossRef]
- Buongiorno, J. Convective Transport in Nanofluids. J. Heat Transf. 2006, 128, 240–250. [Google Scholar] [CrossRef]
- Pak, B.C.; Cho, Y.I. Hydrodynamic and heat transfer study of dispersed fluids with submicron metallic oxide particles. Exp. Heat Transf. 1998, 11, 151–170. [Google Scholar] [CrossRef]
- Kakaç, S.; Pramuanjaroenkij, A. Review of convective heat transfer enhancement with nanofluids. Int. J. Heat Mass Transf. 2009, 52, 3187–3196. [Google Scholar] [CrossRef]
- Xuan, Y.; Li, Q. Heat transfer enhancement of nanofluids. Int. J. Heat Fluid Flow 2000, 21, 58–64. [Google Scholar] [CrossRef]
- Wong, K.V.; De Leon, O. Applications of Nanofluids: Current and Future. Adv. Mech. Eng. 2010, 2, 1–12. [Google Scholar] [CrossRef] [Green Version]
- Bachok, N.; Ishak, A.; Pop, I. Stagnation-point flow over a stretching/shrinking sheet in a nanofluid. Nanoscale Res. Lett. 2011, 6, 623. [Google Scholar] [CrossRef] [PubMed] [Green Version]
- Kumari, M.; Grosan, T.; Pop, I. Rotating flow of power-law fluids over a stretching surface. Tech. Mech. Sci. J. Fundam. Appl. Eng. Mech. 2006, 26, 11–19. [Google Scholar]
- Zhou, Y.; Pan, G.; Shi, X.; Zhang, S.; Gong, H.; Luo, G. Effects of ultra-smooth surface atomic step morphology on chemical mechanical polishing (CMP) performances of sapphire and SiC wafers. Tribol. Int. 2015, 87, 145–150. [Google Scholar] [CrossRef]
- Abbas, W.; Magdy, M.M. Heat and Mass Transfer Analysis of Nanofluid Flow Based on Cu, Al2O3, and TiO2 over a Moving Rotating Plate and Impact of Various Nanoparticle Shapes. Math. Probl. Eng. 2020, 2020, 9606382. [Google Scholar] [CrossRef]
- Wróblewski, P.; Iskra, A. Problems of Reducing Friction Losses of a Piston-Ring-Cylinder Configuration in a Combustion Piston Engine with an Increased Isochoric Pressure Gain; SAE Technical Paper 2020-01-2227; SAE: Warrendale, PA, USA, 2020. [Google Scholar]
- Nadeem, S.; Haq, R.U.; Khan, Z.H. Heat transfer analysis of water-based nanofluid over an exponentially stretching sheet. Alex. Eng. J. 2014, 53, 219–224. [Google Scholar] [CrossRef] [Green Version]
- Bahiraei, M.; Jamshidmofid, M.; Goodarzi, M. Efficacy of a hybrid nanofluid in a new microchannel heat sink equipped with both secondary channels and ribs. J. Mol. Liq. 2019, 273, 88–98. [Google Scholar] [CrossRef]
- Bagherzadeh, S.A.; D’Orazio, A.; Karimipour, A.; Goodarzi, M.; Bach, Q.-V. A novel sensitivity analysis model of EANN for F-MWCNTs–Fe3O4/EG nanofluid thermal conductivity: Outputs predicted analytically instead of numerically to more accuracy and less costs. Phys. A Stat. Mech. Appl. 2019, 521, 406–415. [Google Scholar] [CrossRef]
- Ahmadi, M.H.; Mohseni-Gharyehsafa, B.; Ghazvini, M.; Goodarzi, M.; Jilte, R.; Kumar, R. Comparing various machine learning approaches in modeling the dynamic viscosity of CuO/water nanofluid. J. Therm. Anal. Calorim. 2019, 139, 2585–2599. [Google Scholar] [CrossRef]
- Bagherzadeh, S.A.; Jalali, E.; Sarafraz, M.; Akbari, O.A.; Karimipour, A.; Goodarzi, M.; Bach, Q.-V. Effects of magnetic field on micro cross jet injection of dispersed nanoparticles in a microchannel. Int. J. Numer. Methods Heat Fluid Flow 2019, 30, 2683–2704. [Google Scholar] [CrossRef]
- Bahmani, M.H.; Sheikhzadeh, G.; Zarringhalam, M.; Akbari, O.A.; Alrashed, A.A.; Shabani, G.A.S.; Goodarzi, M. Investigation of turbulent heat transfer and nanofluid flow in a double pipe heat exchanger. Adv. Powder Technol. 2018, 29, 273–282. [Google Scholar] [CrossRef]
- Rehman, A.; Hussain, A.; Nadeem, S. Physical aspects of convective and radiative molecular theory of liquid originated nanofluid flow in the existence of variable properties. Phys. Scr. 2021, 96, 035219. [Google Scholar] [CrossRef]
- Hussain, A.; Rehman, A.; Nadeem, S.; Malik, M.Y.; Issakhov, A.; Sarwar, L.; Hussain, S. A combined convection carreau–yasuda nanofluid model over a convective heated surface near a stagnation point: A numerical study. Math. Probl. Eng. 2021, 2021, 6665743. [Google Scholar] [CrossRef]
- Hussain, A.; Alshbool, M.H.; Abdussattar, A.; Rehman, A.; Ahmad, H.; Nofal, T.A.; Khan, M.R. A computational model for hybrid nanofluid flow on a rotating surface in the existence of convective condition. Case Stud. Therm. Eng. 2021, 26, 101089. [Google Scholar] [CrossRef]
- Rehman, A.; Hussain, A.; Nadeem, S. Assisting and Opposing Stagnation Point Pseudoplastic Nano Liquid Flow towards a Flexible Riga Sheet: A Computational Approach. Math. Probl. Eng. 2021, 2021, 6610332. [Google Scholar] [CrossRef]
- Mebarek-Oudina, F.; Redouane, F.; Rajashekhar, C. Convection Heat Transfer of MgO-Ag/Water Magneto-Hybrid Nanoliquid Flow into a Special Porous Enclosure. Alger. J. Renew. Energy Sustain. Dev. 2020, 2, 84–95. [Google Scholar]
- Abo-Dahab, S.M.; Abdelhafez, M.A.; Mebarek-Oudina, F.; Bilal, S.M. MHD Casson nanofluid flow over nonlinearly heated porous medium in presence of extending surface effect with suction/injection. Indian J. Phys. 2021, 1–15. [Google Scholar] [CrossRef]
- Mebarek-Oudina, F. Convective heat transfer of Titania nanofluids of different base fluids in cylindrical annulus with discrete heat source. Heat Transf. Asian Res. 2019, 48, 135–147. [Google Scholar] [CrossRef] [Green Version]
- Swain, K.; Mebarek-Oudina, F.; Abo-Dahab, S.M. Influence of MWCNT/Fe3O4 hybrid nanoparticles on an exponentially porous shrinking sheet with chemical reaction and slip boundary conditions. J. Therm. Anal. Calorim. 2021, 1–10. [Google Scholar] [CrossRef]
- Noghrehabadi, A.; Pourrajab, R.; Ghalambaz, M. Effect of partial slip boundary condition on the flow and heat transfer of nanofluids past stretching sheet prescribed constant wall temperature. Int. J. Therm. Sci. 2012, 54, 253–261. [Google Scholar] [CrossRef]
- Nadeem, S.; Ur Rehman, A.; Mehmood, R.; Adil Sadiq, M. Partial Slip effects on a rotating flow of two-phase nanofluid over a stretching surface. Curr. Nanosci. 2014, 10, 846–854. [Google Scholar] [CrossRef]
- Hayat, T.; Nadeem, S.; Khan, A.U. Rotating flow of Ag-CuO/H2O hybrid nanofluid with radiation and partial slip boundary effects. Eur. Phys. J. E 2018, 41, 75. [Google Scholar] [CrossRef]
- Nazar, R.; Amin, N.; Pop, I. Unsteady boundary layer flow due to a stretching surface in a rotating fluid. Mech. Res. Commun. 2004, 31, 121–128. [Google Scholar] [CrossRef]









| (a) engine oil nanofluid for | ||||
| (b) engine oil nanofluid for | ||||
| (c) engine oil nanofluid for | ||||
| engine oil nanofluid for | ||||
| engine oil nanofluid for . | ||||
| engine oil nanofluid for | ||||
| Wang [8] | Nazar et al. [37] | Kumari et al. [6] | Hayat et al. [36] | Present Results | ||||||
|---|---|---|---|---|---|---|---|---|---|---|
| 0.0 | 1.0000 | 0.0000 | 1.000 | 0.0000 | 0.9999 | 0.0000 | 1.0000 | 0.0000 | 1.0000 | 0.0000 |
| 0.5 | 1.1384 | 0.5128 | 1.1384 | 0.5128 | 1.1382 | 0.5128 | 1.1383 | 0.5127 | 1.1385 | 0.5130 |
| 1.0 | 1.3250 | 0.8371 | 1.3250 | 0.8371 | 1.3251 | 0.8371 | 1.3250 | 0.8370 | 1.3252 | 0.8372 |
| 2.0 | 1.6523 | 1.2873 | 1.6523 | 1.2873 | 1.6535 | 1.2873 | 1.6523 | 1.2872 | 1.6525 | 1.2874 |
Publisher’s Note: MDPI stays neutral with regard to jurisdictional claims in published maps and institutional affiliations. |
© 2021 by the authors. Licensee MDPI, Basel, Switzerland. This article is an open access article distributed under the terms and conditions of the Creative Commons Attribution (CC BY) license (https://creativecommons.org/licenses/by/4.0/).
Share and Cite
Hussain, A.; Arshad, M.; Rehman, A.; Hassan, A.; Elagan, S.K.; Alshehri, N.A. Heat Transmission of Engine-Oil-Based Rotating Nanofluids Flow with Influence of Partial Slip Condition: A Computational Model. Energies 2021, 14, 3859. https://doi.org/10.3390/en14133859
Hussain A, Arshad M, Rehman A, Hassan A, Elagan SK, Alshehri NA. Heat Transmission of Engine-Oil-Based Rotating Nanofluids Flow with Influence of Partial Slip Condition: A Computational Model. Energies. 2021; 14(13):3859. https://doi.org/10.3390/en14133859
Chicago/Turabian StyleHussain, Azad, Mubashar Arshad, Aysha Rehman, Ali Hassan, Sayed K. Elagan, and Nawal A. Alshehri. 2021. "Heat Transmission of Engine-Oil-Based Rotating Nanofluids Flow with Influence of Partial Slip Condition: A Computational Model" Energies 14, no. 13: 3859. https://doi.org/10.3390/en14133859
APA StyleHussain, A., Arshad, M., Rehman, A., Hassan, A., Elagan, S. K., & Alshehri, N. A. (2021). Heat Transmission of Engine-Oil-Based Rotating Nanofluids Flow with Influence of Partial Slip Condition: A Computational Model. Energies, 14(13), 3859. https://doi.org/10.3390/en14133859

