Evaluation of Integral Effect of Thermal Comfort, Air Quality and Draught Risk for Desks Equipped with Personalized Ventilation Systems
Abstract
1. Introduction
2. Materials and Methods
2.1. Numerical Models
- partial differential equations;
- finite volume method;
- hybrid scheme in the convective/diffusive fluxes;
- SIMPLE (Semi-Implicit Method for Pressure-Linked Equations) algorithm used in the velocity and pressure equations;
- non-uniform approach for the grid generation;
- grid refinement near the surfaces and in the airflow inlet and outlet;
- density changes with temperature;
- impulsion term in the vertical air velocity equation;
- carbon dioxide equation source term in the breathing area;
- iterative TDMA (Tri-Diagonal Matrix Algorithm) method in the equations system resolution;
- RNG turbulence model, for high Reynolds number, in the turbulence simulation;
- wall boundary in the surface proximity.
2.1.1. Air Distribution Index (ADI) for Non-Uniform Environment
2.1.2. Air Distribution Turbulence Index (ADTI) for Non-Uniform Environment
2.1.3. Thermal Comfort
2.1.4. Air Quality
2.1.5. Draught Risk
2.2. Numerical Methodology
- two different personalized ventilation systems, Case I and Case II;
- an inlet air velocity between 1 to 4 m/s;
- exhaust air terminal located at 1.2 m and at 1.8 m above the floor level;
- inlet air temperature representing winter and summer conditions.
- In Case I the distance between the upper two supply ATDs is 45 cm and the same distance is used between the lower two ATDs. In this Case, the airflow has the ability to bypass the occupants on both sides as the distance between the air terminal devices is wider than the upper width of a human body. Thus, the airflow before to exit from the space promotes a recirculation mainly at the back of the occupant;
- In the Case II the distance between the upper two air ATDs is 25 cm and this was the same for the lower two air terminal devices. In this Case the airflow is directed onto the occupant’s body as the distance between the two ATDs is lower than the width of a human body. Thus, the airflow promotes a recirculation mainly in front of the occupant before it passes to the air exit terminal.
2.2.1. Case I
2.2.2. Case II
3. Results and Discussion
- the PV geometry, namely two different PV configuration, represented by Case I and Case II;
- the inlet air velocity;
- the exhaust system location, namely, exhaust system located at 1.2 and 1.8 m above floor level;
- seasonal conditions for summer and winter, i.e., inlet air temperature.
- TC;
- IAQ;
- DR;
- ADI and ADTI.
3.1. Thermal Comfort
- is higher for Case I than Case II;
- decreases when the inlet air velocity increases;
- is higher when the exit air terminal is located 1.2 m than when it is located 1.2 m above the floor level for winter condition, but the opposite is the case for summer condition;
- is higher for summer condition than for winter condition.
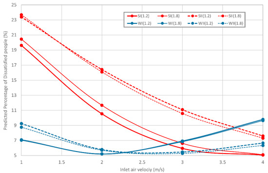
- is higher for Case II than Case I in the summer conditions, and is higher for Case II than Case I for winter conditions with the lowest inlet air velocity, but is lower for Case II than Case I for highest inlet air velocity;
- for summer conditions, PPD decreases when the inlet air velocity increases, while in winter conditions it initially decreases as the inlet air velocity increases but then starts to increase as the air velocity increases;
- it is slightly higher when the exit air terminal is located at a height of 1.2 m than when located at 1.8 m for summer conditions in Case II, and is lower when the exit air terminal is located at 1.2 m than when located 1.8 m, for the Case I, however for winter conditions PPD is slightly higher when the exit air terminal is located 1.2 m than when located 1.8 m, for the Case II;
- is generally higher for summer condition than for winter conditions.
- is generally higher for Case I than Case II;
- decreases when the inlet air velocity increase for winter condition and increases when the inlet air velocity increase for summer condition;
- is generally higher when the exit air terminal is located at 1.2 m than when it is located at 1.8 m;
- is higher for summer condition than for winter conditions for the highest air velocities, but lower for summer condition than for winter conditions for the lowest air velocities.
3.2. Air Quality
- is higher for Case II than Case I;
- increases for Case II as the inlet air velocity increases;
- is higher when the exit air terminal is located at 1.2 m than when it is at 1.8 m for the Case II.
- is almost the same for winter and summer conditions.
- is higher for Case I than Case II;
- decreases when the inlet air velocity increases;
- is higher when the exit air terminal is located at 1.8 m than when it is located at 1.2 m.
- is almost the same for winter and summer conditions for Case II.
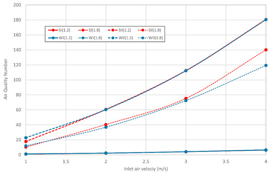
- is higher for Case II than Case I;
- generally, it increases as the inlet air velocity increases, but NAQ is higher for Case II than Case I;
- for Case II, it is generally higher when the exit air terminal is located at 1.2 m than when it is at 1.8 m;
- is almost similar for winter and summer conditions.
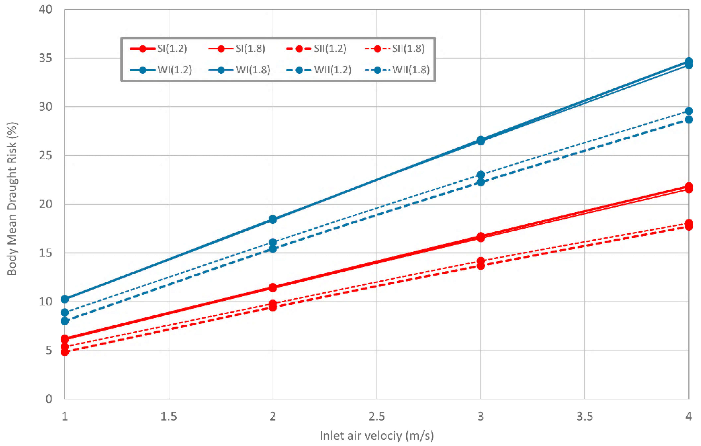
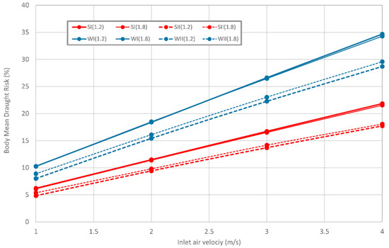
3.3. Draught Risk
- is higher for Case II than Case I;
- in the Case II it increase slightly as the inlet air velocity increases, but in Case I it decreases slightly as the inlet air velocity increases;
- generally, it is higher when the exit air terminal is located at 1.8 m than when it is located at 1.2 m;
- is almost similar for winter and summer conditions.
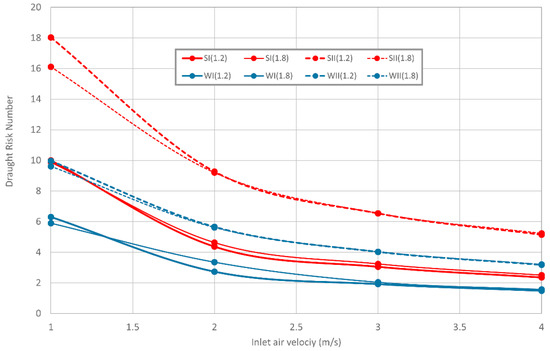
- for Case I is higher than Case II;
- increases when the inlet air velocity increases;
- for the Case II, is slightly higher when the exit air terminal is located 1.8 m than when the exit air terminal is located 1.2 m;
- is higher for winter condition than for summer conditions.
- is higher for Case II than Case I;
- it decreases as the inlet air velocity increases;
- is quite similar for the exit air terminal located at 1.2 m and when it is located at 1.8 m;
- is higher for summer condition than for winter conditions.
3.4. Air Distribution Index and Air Distribution Turbulence Index
- is higher for Case II than Case I;
- it generally increases as the inlet air velocity increases;
- is higher when the exit air terminal is located at 1.2 m than when it is located 1.8 m;
- is higher for winter condition than for summer conditions for the lower air velocity range, and is higher for summer condition than for winter condition, for higher air velocity range.
- is higher for Case II than Case I;
- it generally increases as the inlet air velocity increase;
- is higher when the exit air terminal is located 1.2 m than when it is located 1.8 m for Case II;
- is higher for summer condition than for winter condition.
4. Discussion
4.1. Indoor Environment Numbers
- In general, NTC is higher for Case I than Case II;
- NAQ is higher for Case II than Case I;
- NDR is higher for Case II than Case I.
- NTC and NAQ increase for summer condition;
- NTC and NDR decrease for winter.
4.2. Air Distribution Index and Air Distribution Turbulence Index
5. Conclusions
Author Contributions
Funding
Institutional Review Board Statement
Informed Consent Statement
Data Availability Statement
Conflicts of Interest
Nomenclature
| ADI | Air Distribution Index. |
| ADTI | Air Distribution Turbulence Index. |
| ATD | Air Terminal Device. |
| BTR | Building Thermal Response. |
| CFD | Computational Fluid Dynamics. |
| CO2 | Carbon Dioxide (ppm). |
| DR | Draught Risk (%). |
| HTR | Human Thermal Response. |
| HVAC | Heating, Ventilating and Air Conditioning. |
| IAQ | Indoor Air Quality. |
| NAQ | Air Quality Number. |
| NDR | Draught Risk Number. |
| NTC | Thermal Comfort Number. |
| PD | Percentage of Dissatisfied people due the indoor air quality (%). |
| PPD | Predicted Percentage of Dissatisfied people (%). |
| PV | Personalized Ventilation. |
| TC | Thermal Comfort. |
| Tr | Mean Radiant Temperature (°C). |
| εAQ | Effectiveness for contaminant removal (%). |
| εDR | Effectiveness for room air removal (%). |
| εTC | Effectiveness for heat removal (%). |
References
- Awbi, H.B. Ventilation of Buildings; Routledge: London, UK, 2004. [Google Scholar]
- Grigorescu, S.E.; Petkov, N.; Kruizinga, P. Comparison of texture features based on Gabor filters. IEEE Trans. Image Process. 2002, 11, 1160–1167. [Google Scholar] [CrossRef]
- Cho, Y.; Awbi, H.B.; Marchetti, M. The variation of ventilation performance in relation to change in workstation location in a ventilated room. In Proceedings of the Healthy Building Conference, Singapore, 7–11 December 2003. [Google Scholar]
- Cho, Y.; Awbi, H.B.; Karimipanah, T. Comparison between wall confluent jets and displacement ventilation in aspects of the spreading ration on the floor. In Proceedings of the 10th International Conference in Indoor Air Quality and Climate, Beijing, China, 4–9 September 2005; pp. 3249–3254. [Google Scholar]
- Karimipanah, T.; Awbi, H.; Sandberg, M.; Blomqvist, C. Investigation of air quality, comfort parameters and effectiveness for two floor-level air supply systems in classrooms. Build. Environ. 2007, 42, 647–655. [Google Scholar] [CrossRef]
- Almesri, I.; Awbi, H.B.; Foda, E.; Siren, K. An Air Distribution Index for Assessing the Thermal Comfort and Air Quality in Uniform and Nonuniform Thermal Environments. Indoor Built Environ. 2012, 22, 618–639. [Google Scholar] [CrossRef]
- Awbi, H.B. Ventilation for Good Indoor Air Quality and Energy Efficiency. Energy Procedia 2017, 112, 277–286. [Google Scholar] [CrossRef]
- Conceição, E.Z.E.; Lúcio, M.M.J.R.; Awbi, H.B. Comfort and airflow evaluation in spaces equipped with mixing ventilation and cold radiant floor. Build. Simul. 2012, 6, 51–67. [Google Scholar] [CrossRef]
- Conceição, E.Z.E.; Santiago, C.I.M.; Lúcio, M.M.J.R.; Awbi, H.B. Predicting the Air Quality, Thermal Comfort and Draught Risk for a Virtual Classroom with Desk-Type Personalized Ventilation Systems. Buildings 2018, 8, 35. [Google Scholar] [CrossRef]
- Fanger, P.O. Thermal Comfort: Analysis and Applications in Environmental Engineering; Danish Technical PRESS: Copenhagen, Denmark, 1972; Volume 3. [Google Scholar]
- ANSI/ASHRAE-55. Thermal Environmental Conditions for Human Occupancy; American Society of Heating, Refrigeration and Air-Conditioning Engineers: Atlanta, GA, USA, 2020. [Google Scholar]
- ISO. ISO 7730: Ergonomics of the thermal environment Analytical determination and interpretation of thermal comfort using calculation of the PMV and PPD indices and local thermal comfort criteria. Management 2005, 3, 615. [Google Scholar]
- ANSI/ASHRAE Standard 62.1. Ventilation for Acceptable Indoor Air Quality; American Society of Heating, Refrigerating and Air-Conditioning Engineers: Atlanta, GA, USA, 2020. [Google Scholar]
- Fanger, P.; Melikov, A.K.; Hanzawa, H.; Ring, J. Air turbulence and sensation of draught. Energy Build. 1988, 12, 21–39. [Google Scholar] [CrossRef]
- Fanger, P.O. Provide Good Air Quality for People and Improve Their Productivity. In Proceedings of the Seventh International Conference Air Distribution in Rooms, Reading, UK, 9–12 July 2000; pp. 1–5. [Google Scholar]
- Melikov, A.K.; Cermak, R.; Majer, M. Personalized ventilation: Evaluation of different air terminal devices. Energy Build. 2002, 34, 829–836. [Google Scholar] [CrossRef]
- Gao, N.; Niu, J. Modeling the performance of personalized ventilation under different room airflows. IBPSA 2005-Int. Build. Perform. Simul. Assoc. 2005, 11, 327–334. [Google Scholar]
- Cermak, R.; Melikov, A.K.; Forejt, L.; Kovar, O. Performance of Personalized Ventilation in Conjunction with Mixing and Displacement Ventilation. HVAC&R Res. 2006, 12, 295–311. [Google Scholar] [CrossRef]
- Niu, J.; Gao, N.; Phoebe, M.; Huigang, Z. Experimental study on a chair-based personalized ventilation system. Build. Environ. 2007, 42, 913–925. [Google Scholar] [CrossRef]
- Sun, S.; Ren, X.; Wang, L. Study on Personalized Dynamic Ventilation. In Proceedings of the indoor air, Copenhagen, Denmark, 17–22 August 2008; pp. 17–22. [Google Scholar]
- Bolashikov, Z.D.; Melikov, A.; Krenek, M. Improved performance of personalized ventilation by control of the convection flow around occupant body. ASHRAE Trans. 2009, 115, 421–431. [Google Scholar]
- Schiavon, S.; Melikov, A.K.; Sekhar, C. Energy analysis of the personalized ventilation system in hot and humid climates. Energy Build. 2010, 42, 699–707. [Google Scholar] [CrossRef]
- Li, R.; Sekhar, S.; Melikov, A.K. Thermal comfort and IAQ assessment of under-floor air distribution system integrated with personalized ventilation in hot and humid climate. Build. Environ. 2010, 45, 1906–1913. [Google Scholar] [CrossRef]
- Yang, B.; Sekhar, C.; Melikov, A.K. Ceiling mounted personalized ventilation system in hot and humid climate—An energy analysis. Energy Build. 2010, 42, 2304–2308. [Google Scholar] [CrossRef]
- Chen, Y.; Raphael, B.; Sekhar, S.C. Individual control of a personalized ventilation system integrated with an ambient mixing ventilation system. HVAC&R Res. 2012, 18, 1136–1152. [Google Scholar] [CrossRef]
- Melikov, A.K.; Ivanova, T.; Stefanova, G. Seat headrest-incorporated personalized ventilation: Thermal comfort and inhaled air quality. Build. Environ. 2012, 47, 100–108. [Google Scholar] [CrossRef]
- Makhoul, A.; Ghali, K.; Ghaddar, N. Thermal comfort and energy performance of a low-mixing ceiling-mounted personalized ventilator system. Build. Environ. 2013, 60, 126–136. [Google Scholar] [CrossRef]
- Cheong, D.K.W.; Huang, S. Performance evaluation of personalized ventilation system with two types of air terminal devices coupled with displacement ventilation in a mock-up office. HVAC&R Res. 2013, 19, 974–985. [Google Scholar] [CrossRef]
- Dalewski, M.; Melikov, A.K.; Veselý, M. Performance of ductless personalized ventilation in conjunction with displacement ventilation: Physical environment and human response. Build. Environ. 2014, 81, 354–364. [Google Scholar] [CrossRef]
- Chen, Y.; Raphael, B.; Sekhar, S. Experimental and simulated energy performance of a personalized ventilation system with individual airflow control in a hot and humid climate. Build. Environ. 2016, 96, 283–292. [Google Scholar] [CrossRef]
- Conceição, E.; Rosa, S.P.; Custódio, A.L.; Andrade, R.L.; Meira, M.J.; Manuela, M.; Lúcio, M.M.J. Study of Airflow around Occupants Seated in Desks Equipped with Upper and Lower Air Terminal Devices for Slightly Warm Environments. HVAC&R Res. 2010, 16, 401–412. [Google Scholar] [CrossRef]
- Conceição, E.; Lúcio, M.M.J. Numerical Study of the Thermal Efficiency of a School Building with Complex Topology for Different Orientations. Indoor Built Environ. 2009, 18, 41–51. [Google Scholar] [CrossRef]
- Bacher, P.; Madsen, H. Identifying suitable models for the heat dynamics of buildings. Energy Build. 2011, 43, 1511–1522. [Google Scholar] [CrossRef]
- Pisello, A.L.; Rossi, F.; Cotana, F. Summer and Winter Effect of Innovative Cool Roof Tiles on the Dynamic Thermal Behavior of Buildings. Energies 2014, 7, 2343–2361. [Google Scholar] [CrossRef]
- Conceição, E.Z.E.; Lúcio, M.M.J.R. Numerical simulation of passive and active solar strategies in buildings with complex topology. Build. Simul. 2010, 3, 245–261. [Google Scholar] [CrossRef]
- Tang, Y.; Yu, H.; Wang, Z.; Luo, M.; Li, C. Validation of the Stolwijk and Tanabe Human Thermoregulation Models for Predicting Local Skin Temperatures of Older People Under Thermal Transient Conditions. Energies 2020, 13, 6524. [Google Scholar] [CrossRef]
- Ozeki, Y.; Takabayashi, T.; Tanabe, S.-I. Numerical Comfort Simulator for Thermal Environment (Part 1) A Comprehensive Combined Analysis Method with Multi-Node Thermoregulation Model, Radiation Model and CFD for Evaluation of Thermal Comfort. SAE Tech. Pap. Ser. 2002. [Google Scholar] [CrossRef]
- Conceição, E.Z.; Vicente, V.D.; Manuela, M.; Lucio, J.R. Airflow Inside School Building Office Compartments with Moderate Environments. HVAC&R Res. 2008, 14, 195–207. [Google Scholar] [CrossRef]
- Takabayashi, T.; Ozeki, Y.; Tanabe, S.-I. Numerical Comfort Simulator for Thermal Environment (Part 2) An Application of Simulator for the Evaluation of Solar Reduction Glass in a Vehicle Model. SAE Tech. Paper 2002. [Google Scholar] [CrossRef]
- Nilsson, H.O.; Holmer, I. Comfort climate evaluation with thermal manikin methods and computer simulation models. Indoor Air 2003, 13, 28–37. [Google Scholar] [CrossRef] [PubMed]
- Conceição, E.; Da Silva, M.C.G.; André, J.C.S.; Viegas, D.X. Thermal behaviour simulation of the passenger compartment of vehicles. Int. J. Veh. Des. 2000, 24, 372. [Google Scholar] [CrossRef]
- Conceição, E.Z.E.; Lúcio, M.M.J.R. Numerical Simulation of the Application of Solar Radiant Systems, Internal Airflow and Occupants’ Presence in the Improvement of Comfort in Winter Conditions. Buildings 2016, 6, 38. [Google Scholar] [CrossRef]
- Fanger, P. Introduction of the olf and the decipol units to quantify air pollution perceived by humans indoors and outdoors. Energy Build. 1988, 12, 1–6. [Google Scholar] [CrossRef]
- Sandberg, M. What is ventilation efficiency? Build. Environ. 1981, 16, 123–135. [Google Scholar] [CrossRef]















Publisher’s Note: MDPI stays neutral with regard to jurisdictional claims in published maps and institutional affiliations. |
© 2021 by the authors. Licensee MDPI, Basel, Switzerland. This article is an open access article distributed under the terms and conditions of the Creative Commons Attribution (CC BY) license (https://creativecommons.org/licenses/by/4.0/).
Share and Cite
Conceição, E.; Awbi, H. Evaluation of Integral Effect of Thermal Comfort, Air Quality and Draught Risk for Desks Equipped with Personalized Ventilation Systems. Energies 2021, 14, 3235. https://doi.org/10.3390/en14113235
Conceição E, Awbi H. Evaluation of Integral Effect of Thermal Comfort, Air Quality and Draught Risk for Desks Equipped with Personalized Ventilation Systems. Energies. 2021; 14(11):3235. https://doi.org/10.3390/en14113235
Chicago/Turabian StyleConceição, Eusébio, and Hazim Awbi. 2021. "Evaluation of Integral Effect of Thermal Comfort, Air Quality and Draught Risk for Desks Equipped with Personalized Ventilation Systems" Energies 14, no. 11: 3235. https://doi.org/10.3390/en14113235
APA StyleConceição, E., & Awbi, H. (2021). Evaluation of Integral Effect of Thermal Comfort, Air Quality and Draught Risk for Desks Equipped with Personalized Ventilation Systems. Energies, 14(11), 3235. https://doi.org/10.3390/en14113235

