Critical Temperature and Pressure Conditions of Degradation during Thermochemical Hydrogen Compression: A Case Study of V-Based Hydrogen Storage Alloy
Abstract
1. Introduction
2. Materials and Methods
3. Results and Discussion
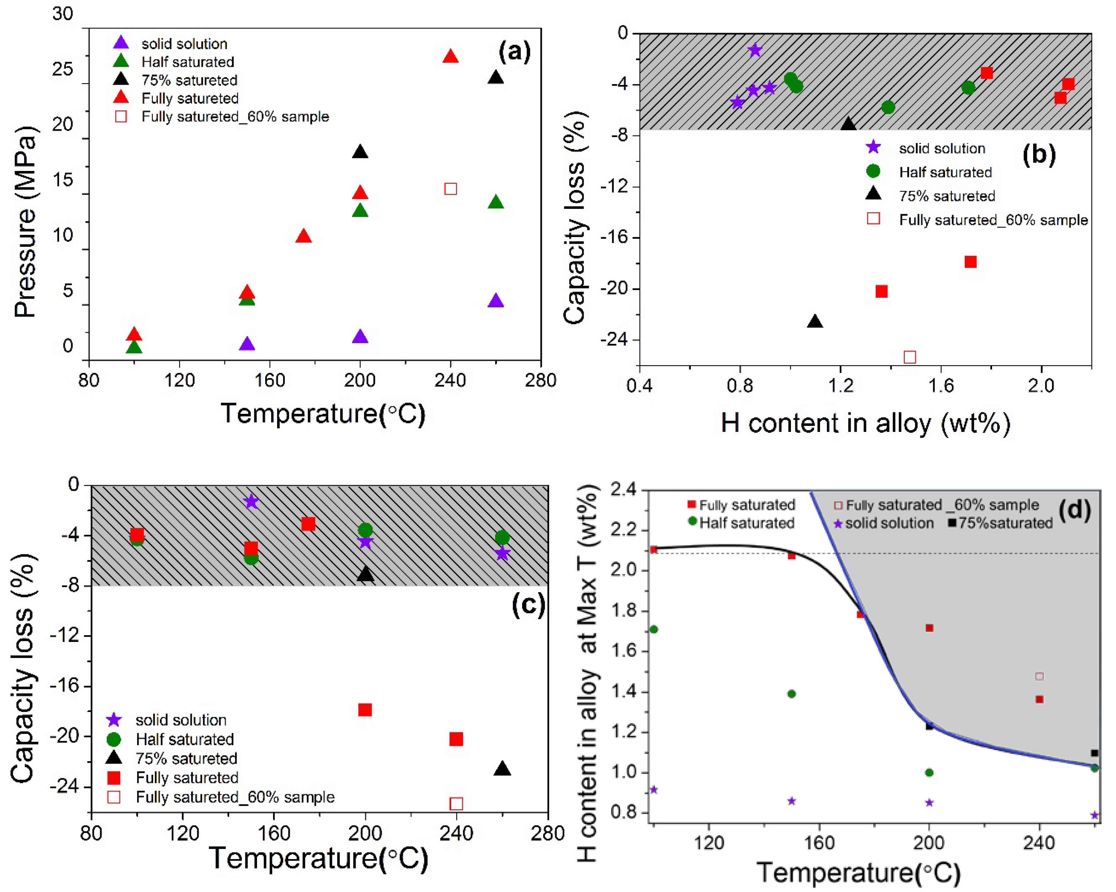
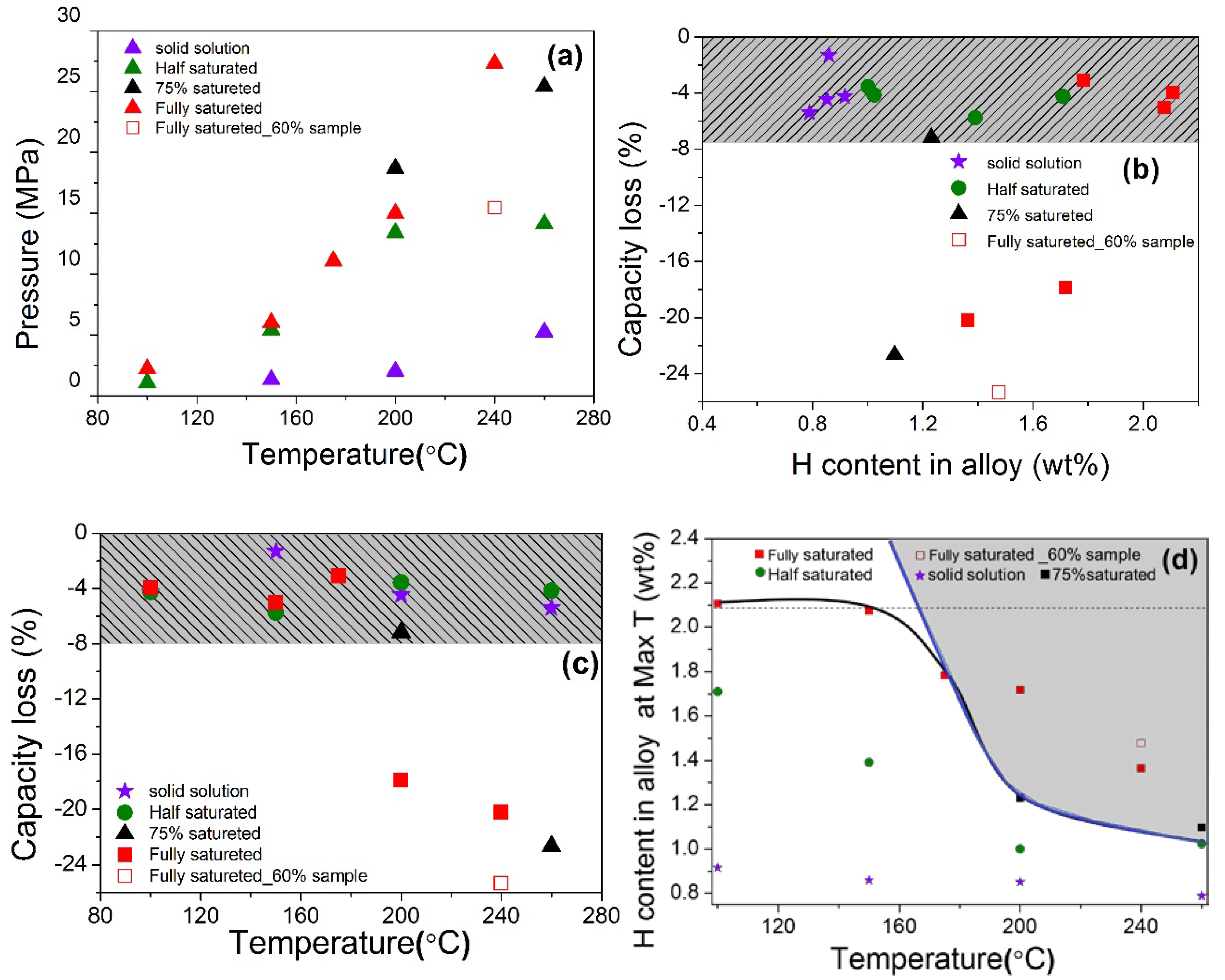
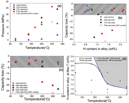
3.1. The Influence of Hydrogen Content on the Cyclic Durability of V20Ti32Cr48 Alloy
3.2. Temperature Influence on the Cyclic Durability of V20Ti32Cr48 Alloy with Fully Saturated Pure H2 Gas for Hydrogen Compressor
3.3. Summary of Hydrogen Compressor Test of V20Ti32Cr48 Alloy
4. Conclusions
Supplementary Materials
Author Contributions
Funding
Acknowledgments
Conflicts of Interest
References
- Lototsky, M.V.; Yartys, V.A.; Pollet, B.G.; Bowman, R.C., Jr. Metal hydride hydrogen compressors: A review. Int. J. Hydrogen Energy 2014, 39, 5818–5851. [Google Scholar] [CrossRef]
- Tsurui, N.; Goshome, K.; Hino, S.; Endo, N.; Maeda, T.; Miyaoka, H.; Ichikawa, T. Hydrogen Desorption Isobar Properties of Ti1.1CrMn at High Temperatures and Pressures. J. Jpn. Inst. Metals 2018, 59, 855–857. [Google Scholar]
- Selvaraj, S.; Jain, A.; Kumar, S.; Zhang, T.; Isobe, S.; Miyaoka, H.; Kojima, Y.; Ichikawa, T. Study of cyclic performance of V-Ti-Cr alloys employed for hydrogen compressor. Int. J. Hydrogen Energy 2018, 43, 2881–2889. [Google Scholar] [CrossRef]
- Pickering, L.; Reed, D.; Bevan, A.I.; Book, D. Ti-V-Mn based metal hydrides for hydrogen compression applications. J. Alloys Compd. 2015, 645, S400–S403. [Google Scholar] [CrossRef]
- Wang, X.; Liu, H.; Li, H. A 70 MPa hydrogen-compression system using metal hydrides. Int. J. Hydrogen Energy 2011, 36, 9079–9085. [Google Scholar] [CrossRef]
- Yartys, V.A.; Lototskyy, M.; Linkov, V.; Grant, D.; Stuart, A.; Eriksen, J.; Denys, R.; Bowman, R.C., Jr. Metal hydride hydrogen compression: Recent advances and future prospects. J. Alloys Compd. 2016, 122, 415. [Google Scholar] [CrossRef]
- Tarasov, B.P.; Bocharnikov, M.S.; Yanenko, Y.B.; Fursikov, P.V.; Lototskyy, M.V. Cycling stability of RNi5 (R = La, La + Ce) hydrides during the operation of metal hydride hydrogen compressor. Int. J. Hydrogen Energy 2018, 43, 4415–4427. [Google Scholar] [CrossRef]
- Bocharnikov, M.S.; Yanenko, Y.B.; Tarasov, B.P. Metal hydride thermosorption compressor of hydrogen high pressure. Int. Sci. J. Altern. Energy Ecol. ISJAEE 2012, 12, 18–23. [Google Scholar]
- Odysseos, M.; De Rango, P.; Christodoulou, C.N.; Hlil, E.K.; Steriotis, T.; Karagiorgis, G.; Charalambopoulou, G.; Papapanagiotou, T.; Ampoumogli, A.; Psycharis, V.; et al. The effect of compositional changes on the structural and hydrogen storage properties of (La-Ce) Ni5 type intermetallics towards compounds suitable for metal hydride hydrogen compression. J. Alloys Compd. 2013, 580, S268–S270. [Google Scholar] [CrossRef]
- Wang, X.; Chen, R.; Zhang, Y.; Chen, C.; Wang, Q. Hydrogen storage properties of (La-Ce-Ca) Ni5 alloys and application for hydrogen compression. Mater Lett. 2007, 61, 1101–1104. [Google Scholar] [CrossRef]
- Hopkins, R.R.; Kim, K.J. Hydrogen compression characteristics of a dual stage thermal compressor system utilizing LaNi5 and Ca0.6Mm0.4Ni5 as the working metal hydrides. Int. J. Hydrogen Energy 2010, 35, 5693–5702. [Google Scholar] [CrossRef]
- Luo, G.; Chen, J.P.; Li, S.L.; Chen, W.; Han, X.B.; Chen, D.M.; Yang, K. Properties of La0.2Y0.8Ni5-xMnx alloys for high-pressure hydrogen compressor. Int. J. Hydrogen Energy 2010, 35, 8262–8267. [Google Scholar] [CrossRef]
- Li, H.; Wang, X.H.; Dong, Z.H.; Xu, L.; Chen, C.P. A study on 70MPa metal hydride hydrogen compressor. J. Alloys Compd. 2003, 502, 503–507. [Google Scholar] [CrossRef]
- Shilov, A.L.; Padurets, L.N.; Kost, M.E. Thermodynamics of hydrides of intermetallic compounds of transition metals. Russ. J. Phys. Chem. 1985, 59, 1857–1875. [Google Scholar]
- Zotov, T.A.; Sivov, R.B.; Movlaev, E.A.; Mitrokhin, S.V.; Verbetsky, V.N. IMC hydrides with high hydrogen dissociation pressure. J. Alloys Compd. 2011, 509S, S839–S843. [Google Scholar] [CrossRef]
- Bowman, R.C., Jr.; Freeman, B.D.; Phillips, J.R. Evaluation of metal hydride compressors for applications in Joule-Thomson cryocoolers. Cryogenics 1992, 32, 127–138. [Google Scholar] [CrossRef]
- Reilly, J.J.; Holtz, A.; Wiswall, R.H., Jr. A new laboratory gas circulation pump for intermediate pressures. Rev. Sci. Instr. 1971, 42, 1485–1486. [Google Scholar] [CrossRef]
- Williams, M.; Lototsky, M.V.; Davids, M.W.; Linkov, V.; Yartys, V.A.; Solberg, J.K. Chemical surface modification for the improvement of the hydrogenation kinetics and poisoning resistance of TiFe. J. Alloys Compd. 2011, 509S, 770–774. [Google Scholar] [CrossRef]
- Sandrock, G. A panoramic overview of hydrogen storage alloys from a gas reaction point of view. J. Alloys Compd. 1999, 293–295, 877–888. [Google Scholar] [CrossRef]
- Wiswall, R.H.; Reilly, J.J. Method of Storing Hydrogen. U.S. Patent 351, 23 June 1970. [Google Scholar]
- Kumar, S.; Jain, A.; Ichikawa, T.; Kojima, Y.; Dey, G.K. Development of vanadium based hydrogen storage material: A review. Renew. Sustain. Energy Rev. 2017, 72, 791–800. [Google Scholar] [CrossRef]
- Veleckis, E.; Edwards, R.K. Thermodynamic Properties in the Systems V-H, Nb-H, and Ta-H Thermodynamic Properties in the Systems Vanadium-Hydrogen, Niobium-Hydrogen, and Tantalum-Hydrogen. J. Phys. Chem. C 1969, 73, 683–692. [Google Scholar] [CrossRef]
- Lototsky, M.V.; Yartys, V.A.; Zavaliy, I.Y. Vanadium-based BCC alloys: Phase-structural characteristics and hydrogen sorption properties. J. Alloys Compd. 2005, 404–406, 421–426. [Google Scholar] [CrossRef]
- Yukawa, H.; Takagi, M.; Teshima, A.; Morinaga, M. Alloying effects on the stability of vanadium hydrides. J. Alloys Compd. 2002, 330–332, 105–109. [Google Scholar] [CrossRef]
- Yukawa, H.; Yamashita, D.; Ito, S.; Morinaga, M.; Yamaguchi, S. Compositional dependence of hydriding properties of vanadium alloys at low hydrogen pressures. J. Alloys Compd. 2003, 356–357, 45–49. [Google Scholar] [CrossRef]
- Kumar, S.; Taxak, M.; Krishnamurthy, N. Hydrogen absorption kinetics of V4Cr4Ti alloy prepared by aluminothermy. Int. J. Hydrogen Energy 2012, 37, 3283–3291. [Google Scholar] [CrossRef]
- Peterson, D.T.; Nelson, S.O. Isopiestic Solubility of Hydrogen in Vanadium Alloys at Low Temperatures. Metall. Mater. Trans. A 1985, 16, 367–374. [Google Scholar] [CrossRef]
- Kumar, S.; Krishnamurthy, N. Effect of aluminum on solubility and β phase stability of vanadium-hydrogen system. Int. J. Refract. Met. Hard Mater. 2012, 35, 191–195. [Google Scholar] [CrossRef]
- Sanjay, K.; Tiwari, G.P.; Krishnamurthy, N. Tailoring the hydrogen desorption thermodynamics of V2H by alloying additives. J. Alloy Compd. 2015, 645, S252–S256. [Google Scholar]
- Itoh, H.; Arashima, H.; Kubo, K.; Kabutomori, T.; Ohnishi, K. Improvement of cyclic durability of BCC structured Ti-Cr-V alloys. J. Alloys Compd. 2005, 404–406, 417–420. [Google Scholar] [CrossRef]
- Shen, C.C.; Li, H.C. Cyclic hydrogenation stability of γ- hydrides for Ti25V35Cr40 alloys doped with carbon. J. Alloys Compd. 2015, 648, 534–539. [Google Scholar] [CrossRef]
- Selvaraj, S.; Jain, A.; Miyaoka, H.; Kojima, Y.; Ichikawa, T. Hydrogen Sorption and Cyclic Compressor Performance of V40Ti21.5Cr33.5M5 (M = Nb, Zr, Fe) Alloys. J. Jpn. Inst. Energy 2019, 98, 157–164. [Google Scholar] [CrossRef]
- Kim, H.; Sakai, K.; Ogawa, H.; Nakamura, Y.; Nakamura, J.; Akiba, E.; Machida, A.; Watanuki, T.; Proffen, T. Origin of Degradation in the Reversible Hydrogen Storage Capacity of V1–xTix Alloys from the Atomic Pair Distribution Function Analysis. J. Phys. Chem. C 2013, 117, 26543–26550. [Google Scholar] [CrossRef]
- Plante, D.; Andrieux, J.; Laversenne, L.; Miraglia, S. In situ X-Ray diffraction study of hydrogen sorption in V-rich Ti–V–Cr bcc solid solutions. J. Alloys Compd. 2015, 648, 79–85. [Google Scholar] [CrossRef]
- Tsukahara, M. Hydrogenation Properties of Vanadium-Based Alloys with Large Hydrogen Storage Capacity. Mater. Trans 2011, 52, 68–72. [Google Scholar] [CrossRef]







| Point No. | V | Ti | Cr | |||
|---|---|---|---|---|---|---|
| Pristine | Cycled | Pristine | Cycled | Pristine | Cycled | |
| 1 | 19.42 | 10.54 | 32.84 | 63.81 | 47.74 | 25.65 |
| 2 | 20.02 | 11.63 | 32.01 | 59.39 | 47.97 | 28.98 |
| 3 | 19.40 | 9.29 | 32.61 | 67.69 | 47.99 | 23.01 |
| 4 | 19.14 | 16.23 | 33.00 | 44.98 | 47.86 | 38.80 |
© 2020 by the authors. Licensee MDPI, Basel, Switzerland. This article is an open access article distributed under the terms and conditions of the Creative Commons Attribution (CC BY) license (http://creativecommons.org/licenses/by/4.0/).
Share and Cite
Guo, F.; Jain, A.; Miyaoka, H.; Kojima, Y.; Ichikawa, T. Critical Temperature and Pressure Conditions of Degradation during Thermochemical Hydrogen Compression: A Case Study of V-Based Hydrogen Storage Alloy. Energies 2020, 13, 2324. https://doi.org/10.3390/en13092324
Guo F, Jain A, Miyaoka H, Kojima Y, Ichikawa T. Critical Temperature and Pressure Conditions of Degradation during Thermochemical Hydrogen Compression: A Case Study of V-Based Hydrogen Storage Alloy. Energies. 2020; 13(9):2324. https://doi.org/10.3390/en13092324
Chicago/Turabian StyleGuo, Fangqin, Ankur Jain, Hiroki Miyaoka, Yoshitsugu Kojima, and Takayuki Ichikawa. 2020. "Critical Temperature and Pressure Conditions of Degradation during Thermochemical Hydrogen Compression: A Case Study of V-Based Hydrogen Storage Alloy" Energies 13, no. 9: 2324. https://doi.org/10.3390/en13092324
APA StyleGuo, F., Jain, A., Miyaoka, H., Kojima, Y., & Ichikawa, T. (2020). Critical Temperature and Pressure Conditions of Degradation during Thermochemical Hydrogen Compression: A Case Study of V-Based Hydrogen Storage Alloy. Energies, 13(9), 2324. https://doi.org/10.3390/en13092324

