Abstract
The European Union (EU) is considered one of the most economically developed regions worldwide. It was driven by the mining industry for several decades. Despite certain changes in this area, a number of mineral and energy resources are still being mined in the EU. Nevertheless, mining activities are accompanied by many unfavorable phenomena, especially for the environment, such as greenhouse gas and air pollutant emissions. The great diversity of the EU countries in terms of the size of the “mining and quarrying” sector means that both the volume and structure of these emissions in individual countries varies. In order to assess the current state of affairs, research was conducted to look at the structure and volume of these emissions in individual EU countries. The aim of the study was to divide these countries into homogenous groups by structure and volume of studied emissions. In order to reflect both the specificity and diversity of the EU countries, this division was based on the seven most important gases (CO2, CH4, N2O, NH3, NMVOC, CO, NOx) and two types of particulate matter (PM 2.5, PM 10) emitted into the atmosphere from the sector in question. The volume of studied emissions was also compared to the number of inhabitants of each EU country and the gross value added (GVA) by the mining and quarrying sector. This approach enabled a new and broader view on the issue of gas and air pollutant emissions associated with mining activities. The artificial Kohonen’s neural networks were used for the analysis. The developed method, the analyses and the results constitute a new approach to studying such emissions in the EU. Research that looks only at the emission of harmful substances into the environment in relation to their absolute values fail to fully reflect the complexity of this problem in individual EU countries. The presented approach and the results should broaden the knowledge in the field of harmful substance emissions from the mining and quarrying sector, which should be utilized in the process of implementing the new European climate strategy referred to as “The European Green Deal”.
1. Introduction
In recent years, a significant increase in social awareness of environmental protection has been observed. This mainly applies to the concept of sustainable development, which has been met with great social approval, especially in developed countries. According to this concept, sustainable development does not disturb existing ecosystems in which people live [1,2,3]. Processes taking place in these ecosystems determine whether they can maintain a balance favorable to the life and development of both present and future generations.
However, dynamic socio-economic development increases the demand for energy and mineral resources used in virtually all sectors of the economy [4,5,6,7,8,9,10]. Unfortunately, in most cases, the exploitation of these raw materials is associated with a very negative impact on the environment [11,12,13,14,15]. In the context of the idea of sustainable development and the European Green Deal strategy, the mining industry, among other sectors, should try to limit its negative impact on the environment. The exploitation of raw materials should therefore respect the principles of rational and economical extraction and use [16].
It is obvious, however, that the mining industry is one of the basic pillars of economic development throughout the world, including European Union (EU) countries [17,18,19]. Also, in the coming years, despite current changes, the developing global economy will generate an increasing demand for various types of raw materials. This, in turn, causes an increasing threat to the natural environment.
Mining industry, according to the Statistical Classification of Economic Activities in the European Community, Rev. 2 [20], referred to as mining and quarrying, is associated with all activities that involve the extraction of minerals in the rock mass in the form of solids (e.g., coal and ores), liquids (e.g., oil), and gases (e.g., natural gas). This sector also involves activities concerned with the search for mineral deposits, also including all other mining and quarrying support activities [20].
Although the importance of the mining industry has slightly decreased in EU countries, it still constitutes a crucial sector of the economy. Both mineral and energy raw materials extracted in EU countries make it possible to significantly satisfy their energy needs (e.g., Poland, Germany) [21,22,23,24,25,26,27] and provide raw materials used in almost all economic sectors (construction, chemical, pharmaceutical, space, automotive, electronic, and other industries) [28]. Contemporary economies of both developing and developed countries cannot function without gas, oil, iron ore, or copper. Today, these raw materials are treated as strategic products in many countries [29].
In recent years, an increase in the extraction of mineral resources has been reported globally. However, in Europe, a decrease in this extraction has been observed (Figure 1) [30]. This is mainly due to the decarbonization of the energy sector, which results in a decrease in coal production [31,32,33,34]. These changes in the volume of extraction of raw materials on individual continents can be noted in the diagram presented in Figure 1.
Figure 1.
World mining production 1984–2017 by groups of minerals (without construction minerals) (own elaboration based on data from [30]).
It is obvious that at present, the development of our civilization is really dependent on non-renewable natural resources. Despite the emerging new technical solutions and innovative technologies, this situation will not change for many years to come. On the other hand, the growing social awareness and the effects of previous activities in this area indicate that a more ecological approach of this industry is necessary. The mining and quarrying sector is one of the largest emitters of all pollutants, including greenhouse gases. Each year, this industry emits millions of tons of substances into the atmosphere in the form of greenhouse gases and harmful dusts [35,36,37,38]. These substances have a very negative influence on human life, health and the surrounding ecosystem.
The growing public awareness and obvious negative effects of this activity has led to intensive efforts to reduce the negative impact of man on the environment. In 1997, a protocol on greenhouse gas emissions was adopted in Kyoto (Japan) [39], which entered into force on 16 February, 2005. According to this protocol, greenhouse gases include carbon dioxide, methane, freons, steam, nitrous oxide, ozone, halon, and industrial gases (HFC, PFC, SF6). In order to meet the obligations under the Kyoto Protocol, the EU has developed a system for measuring and limiting greenhouse gas emissions and introduced the so-called emission trading system (ETS), as well as clean development mechanism (CDM). In order to prevent dangerous climate change, in October 2014, the heads of the EU countries and governments adopted new climate and energy goals for 2030. They included, for example, reducing greenhouse gas emissions in the EU by at least 40% compared to 1990 levels by 2030 [40].
In December 2019, the EU adopted a program under which the EU should become the world’s largest climate neutral region by 2050. The actions taken under the European Green Deal, which is the new European Union strategy for environmental protection and combating climate change, are supposed to allow for the achievement of this goal [41].
One of the assumptions of this plan is to significantly decrease coal production. In many countries, especially those whose energy is based on coal, this idea is of great concern. It is undisputable that the energy sector based on renewable (alternative) sources is very expensive and not all countries are able to introduce the proposed changes by 2050 [41,42].
On the other hand, in terms of reducing emissions into the atmosphere, representatives of EU Member States approved in 2016 new limits for air pollution, including particulates and nitrogen oxides. On this basis, the National Emission Ceilings Directive has been amended [43]. The provisions of this directive contain obligations to limit the emissions of sulfur dioxide (SO2), nitrogen oxides (NOx), non-methane volatile organic compounds (NMVOC), ammonia, and fine particles (less than 2.5 micrometers in diameter). With the new commitments, by 2030, deaths caused by inadequate air quality are expected to be halved [44]. However, from 2030, emission limits for harmful compounds are to be even lower than those set for 2020–2029. The adopted concept of the European Green Deal also provides for measures to reduce emissions of air pollutants to protect people’s lives and health.
The adopted assumptions and actions to reduce greenhouse gas and air pollutant emissions are reported to bring noticeable effects. They are mainly caused by the decarbonization of the EU countries and the closure of coal mines [31,32].
Between 2008–2017, greenhouse gas emissions from the mining and quarrying sector were reduced by around 24%, while air pollution-by around 26%. Changes in the volume of these emissions between 2008–2017 are shown in Figure 2.
Figure 2.
Greenhouse gas (a,b) and air pollutant (c) emissions from the mining and quarrying sector between 2008–2017 in European Union (EU) countries (own elaboration based on data from [45]).
However, the dynamics of these changes differ from one EU country to another. It mainly depends on the environmental policy of individual countries, their wealth, and social awareness. The volume of extraction has also been reported to have a significant impact, especially of those minerals, the exploitation of which is accompanied by the significant production of greenhouse gases and air pollutants.
Unfortunately, the emission of harmful substances into the atmosphere is a problem observed in all mining basins in the world. On the other hand, especially in the EU, more and more decisive actions are being taken to conduct sustainable mining, accompanied by lower energy consumption and lower production of both greenhouse gases and waste [46,47,48].
Significant differences are reported in this respect in individual EU countries, depending on the level of wealth and awareness of their societies, as well as technological development. Nevertheless, it is undisputable that all measures should be implemented to reduce the emission of harmful substances into the atmosphere, including those from the mining and quarrying sector.
Research on greenhouse gas and air pollutant emissions are most often considered separately in the context of their impact on the environment [46,47,48], society and its health [49], and economy [50]. On the other hand, studies related to the impact of the mining and quarrying sector on the state of the environment concern various aspects of these phenomena. They usually cover issues related to the impact of this sector on the surface (including mining damage) or the generation of post-production waste and the possibility of its use. These studies, although to a lesser extent, also determine the impact of the mining and quarrying sector on air pollution with harmful substances and greenhouse gases.
In the case of analyses that look at the impact of the mining and quarrying sector on the atmosphere, a study by [51] presents the results of the assessment of the impact of the mining and quarrying sector on the atmosphere in 12 EU countries. A life cycle assessment technique was used in this analysis.
A paper by Norgate and Haque [52] presents the results of the study related to the identification of technological processes in iron ore and bauxite mining, which causes the largest greenhouse gas emissions. Katta et al. in [53] presented the results of the study related to greenhouse gas emission footprint for Canada’s iron, gold, and potash mining sectors. By contrast, Heinrich et al. [54] assessed the fuel consumption and greenhouse gas and air pollutant emissions associated with manganese nodule mining operation. A paper by Tutak and Brodny [15] presents the results of forecasting the volume of methane emissions into the atmosphere from Polish hard coal mines until 2025. In turn, [55] presents a global forecast for methane emissions up to 2100 from hard coal mines. Mirakovski et al. [56] showed the results of the analyses related to the estimation of gas and air pollutants emitted into the atmosphere from the mining industry in Macedonia.
When analyzing the presented studies, among other research, it can be concluded that so far, no analyses have been carried out that would compare the volume of major greenhouse gas and air pollutant emissions from the mining and quarrying sector by the EU Member States. Similarities between these countries in terms of the emissions of these substances into the atmosphere have not been determined either.
Such an analysis will enable the division of the EU countries into groups with similar structure and volume of the emissions in question. This, in turn, should be used by EU institutions to direct pro-ecological activities for such groups. It seems that such combination of countries together with a common environmental policy could bring much greater effects than implementing this policy in individual countries. The accumulation of financial resources, joint investments, and exchange of experiences between countries with similar problems, including competition between them in some areas, should definitely improve the effectiveness of the European climate policy. Such a policy seems to be fully justified, at least in terms of the emissions of harmful substances from the mining and quarrying sector.
This article presents a method developed to conduct such an analysis. Its purpose was to divide the EU countries into homogenous groups in terms of the structure and volume of the emissions of harmful substances from the mining and quarrying sector.
The practical purpose of this publication was to show, based on specific results, differences between the EU countries. Undoubtedly, the results obtained should be used to create a more effective climate policy in Europe. This policy should be targeted at groups of similar countries and specific sectors. The division of countries into homogenous groups also creates opportunities for direct cooperation between them. Such an approach should allow more efficient use of financial resources, and thus convince both the societies and politicians of these countries of the necessary changes.
The analysis was carried out with the use of the Kohonen’s neural networks, in which learning is based on a competitive self-organizing method.
The structure and volume of greenhouse gas and air pollutant emissions from the mining and quarrying sector in the EU countries were characterized by nine variables. They involved seven gases (carbon dioxide, methane, nitrous oxide, ammonia, non-methane volatile methane compounds, nitrogen oxides, carbon monoxide) and two types of particulate matter (PM2.5 and PM10). Therefore, they cover three main greenhouse gases (CO2, CH4, N2O) and six other air pollutants (NH3, NMVOC, CO, PM2.5, PM10, NOx). The analysis was based on Eurostat data on the volume of the emissions of studied substances in 2017 [45].
In addition, two more analyses were also conducted, taking into account the number of inhabitants of individual countries and the gross value added (GVA) by the mining and quarrying sector.
This new approach to analyzing harmful substance emissions compared to the number of inhabitants of a given country and the GVA aims to show the diversity of the EU countries and different stages of implementation of the pro-ecological policy, as well as both economic possibilities and demographic potential of these countries. Undoubtedly, the results of such analysis can broaden knowledge in the field of harmful substance emissions and indicate new groups of similarities between the EU countries, not only based on absolute values but also on both demographic and economic potential. It is obvious that limiting the emission of harmful substances requires many organizational and economic activities as well as huge financial outlays. This means that not all EU countries have the capacity to carry them out quickly. For this reason, the introduction of two additional factors to this analysis significantly increases the possibility of developing a coherent and dedicated ecological policy.
As a result of the above analyses, the EU countries were divided into similar groups in terms of greenhouse gas and air pollutant emissions and in terms of the amount of these substances per capita and in relation to the GVA by the mining and quarrying sector.
As mentioned earlier, this is a new approach to studying emissions of harmful substances, which enriches knowledge in this area and enables a more objective assessment of the possibilities of implementing environmentally friendly policies. With regard to the EU countries and in the context of introducing the European Green Deal idea, such information can be key when considering financial assistance to achieve the assumed goals.
In addition, this study also compares the emissions of harmful substances in the EU countries reported in 2008 and 2017. The purpose of this comparison was to show how individual countries have been dealing with the problem of environmental pollution so far and what effects they have achieved. The results of this analysis justify the fact that the process of reducing environmental pollution in the EU countries should be studied deeper, also looking at the diversity of these countries and the state of individual sectors of the economy.
2. Materials and Methods
2.1. Materials
In order to carry out a comparative analysis of the similarities between the EU countries in terms of greenhouse gas and air pollutant emissions into the atmosphere from the mining and quarrying sector (air emissions accounts by Statistical classification of economic activities in the European Community (NACE) Rev. 2 activity [20]), data from the Eurostat database [45] was utilized. A detailed division of the mining and quarrying sector into subsectors related to the type of extracted minerals is presented in Figure 3a. In addition, Figure 3b summarizes the main sources of the emissions of harmful substances from this sector.

Figure 3.
Division of the mining and quarrying sector by Statistical classification of economic activities in the European Community (NACE) Rev. 2 activity (a) and main sources of greenhouse gas and air pollution emissions into the atmosphere from the mining and quarrying sector (b) (own elaboration based on [20]).
Mining and quarrying include supplementary activities aimed at preparing the crude materials for marketing, for example, crushing, grinding, cleaning, drying, sorting, concentrating ores, liquefaction of natural gas, and agglomeration of solid fuels [57].
The comparative analysis involved nine basic substances emitted into the atmosphere by the EU countries as a result of their mining activities (mining and quarrying sector). The analysis was based on data on the volume of greenhouse gas and air pollutant emissions for 2017 (the latest available full data). As already mentioned, the source of data used for the analysis was information published by the Eurostat [45]. It contains a list of greenhouse gases and air pollutants emitted from the mining and quarrying sector by 28 EU Member States. The data used for the analysis is summarized in Table 1. It includes the total emissions of carbon dioxide, methane, nitrous oxide, ammonia, non-methane volatile methane compounds, carbon monoxide, and nitric oxide as well as air pollutants such as PM2.5 and PM10 in the EU countries in 2017.
Table 1.
Gas and air pollutant emissions into the atmosphere by European Union (EU) countries from the mining and quarrying sector in 2017 (own elaboration based on data from [45]).
Among the compounds adopted for the analysis, the greatest threat to human life and health is associated with the emission of PM2.5 and PM10 as well as NOx compounds. They are emitted directly into the atmosphere from various sources. Nitrogen oxides with the participation of volatile organic compounds (VOC) and sunlight, as a result of chemical reactions, cause ozone formation. In turn, PM10 and PM2.5 can be emitted into the atmosphere directly as primary air pollutants, or they can be formed as secondary air pollutants when the emissions of NOx, ammonia and non-methane organic compounds (as well as other gases) cause their chemical reactions in the atmosphere [58].
The most adverse greenhouse gas emissions are CO2, CH4, and N2O. Given the amount of greenhouse gas emissions from the mining and quarrying sector, methane ranks second behind carbon dioxide, but its impact is 21–34 times greater than CO2 [59,60].
The values of harmful gas and air pollutant emissions (Table 1) were compared to the GVA by the mining and quarrying sector (Table 2) and to the number of inhabitants of individual countries (Table 3).
Table 2.
Gas and air pollutant emissions into the atmosphere by the EU countries from the mining and quarrying sector in 2017 compared to the GVA by the mining and quarrying sector (own elaboration based on data from [45]).
Table 3.
Gas and air pollutant emissions into the atmosphere by the EU countries from the mining and quarrying sector in 2017 compared to the population of individual countries (own elaboration based on data from [45]).
The diagnostic variables presented in Table 1, Table 2 and Table 3 were initially statistically analyzed and their basic statistical parameters were determined (mean, maximum, minimum, standard deviations, and coefficient of variation), which are summarized in Table 4, Table 5, Table 6, Table 7 and Table 8, respectively.
Table 4.
Basic statistical parameters of the absolute emission values of studied substances (own elaboration).
Table 5.
Basic statistical parameters of the emissions of studied substances in relation to the gross value added (GVA) by the mining and quarrying sector (own elaboration).
Table 6.
Basic statistical parameters of the emissions of studied substances in relation to the population of the EU countries (own elaboration).
Table 7.
Division of the EU countries into homogenous groups by the total value of emissions of harmful substances together with the values of the activation function (own elaboration).
Table 8.
The results of the statistical analysis regarding the absolute emission values of studied substances from the mining and quarrying sector for individual clusters of the EU countries (own elaboration).
Based on the results, it can be concluded that the substances selected for the analysis meet the condition of diagnostic features, which must be marked by significant differentiation. For these (variables) substances, the values of the coefficients of variation are characterized by a wide range. The highest value of the coefficient of variation was reported for the NH3 emissions versus the GVA by the mining and quarrying sector and the number of inhabitants (respectively 433.33% and 400%). The smallest values of the coefficient of variation were reported for air pollutant emissions such as PM10 (74.47%) and PM2.5 (81.08%) versus the number of inhabitants.
The data presented in Table 1, Table 2 and Table 3 was used for further analysis, the purpose of which was to divide the EU countries into homogenous groups by the absolute value of the emissions of selected substances and their relative values compared to the GVA and the number of inhabitants of individual countries.
2.2. Methods
Kohonen’s artificial neural networks were used to determine similarities between individual EU countries in terms of previously presented criteria. This network is a type of network without a teacher (the so-called self-learning network). It has no prior information about the existence of a cluster in a data set during the learning process. It consists of a self-organizing system capable of displaying multidimensional data in a small space, in particular two-dimensional space, which facilitates the interpretation of the data set without losing the original information [61,62,63,64].
Both the visualization and interpretation of the Kohonen’s network allows users to assume that all cases (objects) located in the same neuron or in its surroundings are considered similar depending on the studied features (variables). This presentation scheme enables easy detection of similarities between cases (objects) in clusters classifying similar objects, as well as the identification of outliers.
Kohonen’s neural networks are made up of one layer of a neuron arranged in a two-dimensional system (other systems are also possible). Figure 4 shows a general diagram of the Kohonen’s network, where neurons can be represented by columns in a frame, containing, as weight levels, a number of input vector elements (x) that correspond to the values of variable data for a given sample.
Figure 4.
Scheme of the Kohonen’s neural network (own elaboration based on [65]).
In the presented analysis, vector (x) corresponds to the values of variables for each object. All neurons contain a specific number of weights (w), which is the same for each neuron, in accordance with the dimensions of the input vectors (x), i.e., the number of variables in the study. In other words, each neuron can be represented by a vector of dimensional (d) weights (w) = [w1, w2, …, wd], where d is the dimension of the input vectors (x) (Figure 4) [65].
The weights can then be defined as number vectors, where each number is associated with a specific input vector variable (x).
According to the weight values that are estimated by the neural network, specific variables in the object (country) will be more representative for the description of this object and its location in a given neuron. Output data is calculated based on the estimation of the distance between each input vector (x) and all weight vectors (w), according to Equation (1), where j is a specific neuron, n is the number of neurons, m is the number of weights by neuron, and s is a specific entry.
During training, a winning neuron is selected based on the proximity between its weight vector (w) and input vector (x). The winning neuron is the one that has the smallest difference between the values of w and x, according to Equation (1). The process of training Kohonen’s neural network is based on competitive science, because active layer neurons compete for activation, provided that only one neuron is selected after each entry. This competitive strategy promotes the identification of important functions in detecting input patterns [66,67,68,69,70,71].
Each neuron is represented by an m-dimensional weight vector w = [w1, …, wm], where m is equal to the dimension of the input vectors [66,67,68,69,70,71].
The Kohonen’s network training algorithm consists of the following stages [72,73]:
- (1)
- to determine the dimensions of the network;
- (2)
- to initiate first weight vectors;
- (3)
- to choose a training case (observation);
- (4)
- to calculate the value of the decision function for all neurons and select the winning neuron;
- (5)
- to determine neurons neighboring the winning neuron based on the value of the neighborhood function;
- (6)
- to adjust the neighboring neuron weights using the training factor (so-called adaptation);
- (7)
- to modify training rate and neighborhood size;
- (8)
- to return to the implementation of point 2 if the conditions for completing network training are not met.
In order to calculate the distance between input data (x) and neuron weights (w), the Euclidean measure is used, determined from the following relationship:
The analysis was conducted using the Artificial Neural Networks toolbox in Statistica 13.3 Software.
3. Results
Based on data on the studied emissions by individual EU countries as well as the number of their inhabitants and the GVA, calculations were made using the created homogenous groups. The division into groups was carried out for three criteria. The results of these analyses are presented in Section 3.2. In addition, greenhouse gas and air pollutant emissions from the mining and quarrying sector were compared for the years 2008 and 2017. The results of this analysis are presented in Section 3.1. The purpose of this comparison was to determine the changes that occurred in the EU countries during this period.
3.1. Comparative Analysis of the Emissions of Harmful Substances in 2008 and 2017
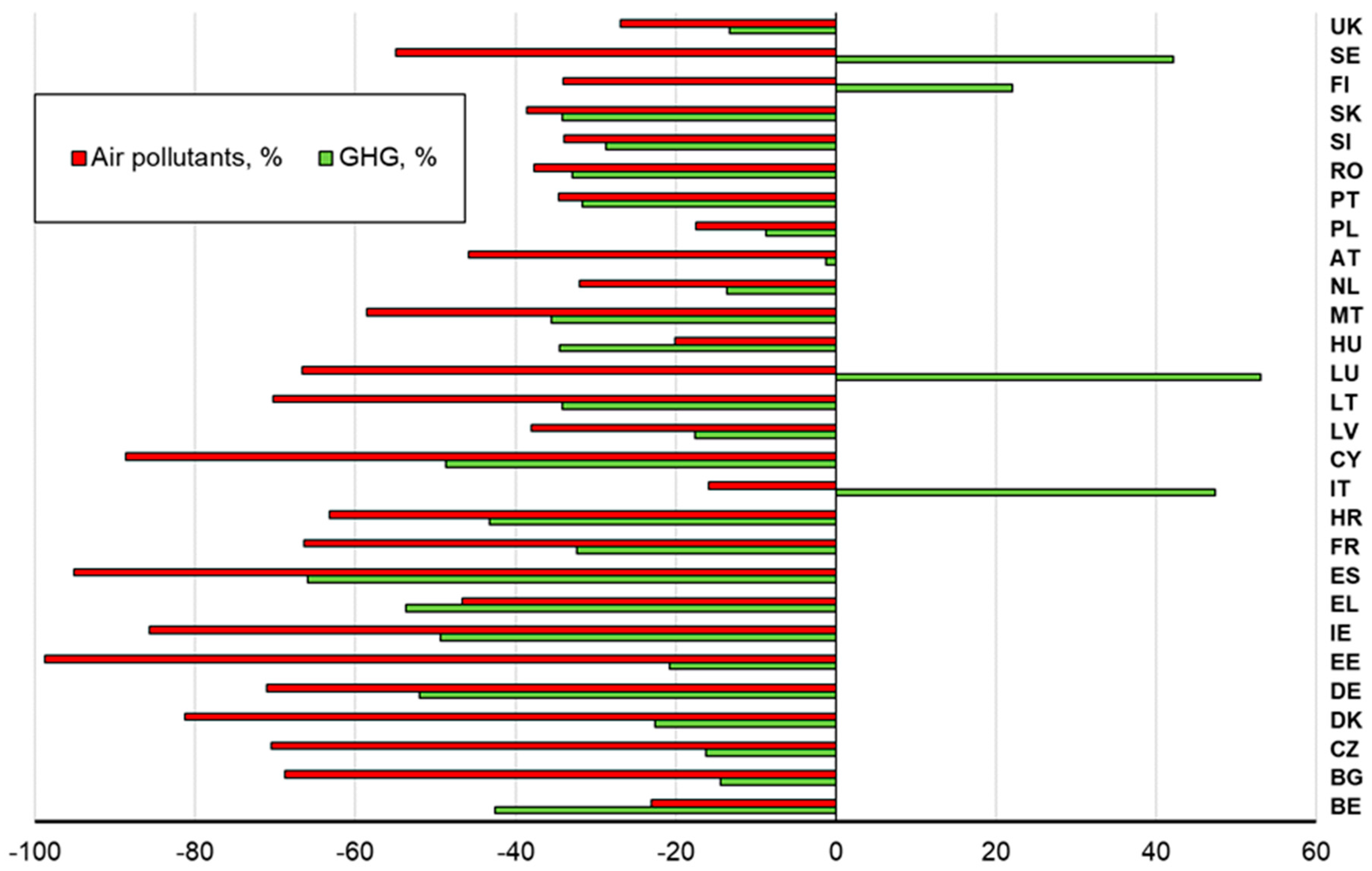
The EU’s plans to reduce the emissions of harmful substances under the idea of the European Green Deal should be considered immensely ambitious. Their implementation will undoubtedly require large financial resources as well as organizational and technological changes in many countries. With regard to the possibility of achieving the assumed goals, it is worth analyzing the changes that have taken place in EU countries in recent years. In order to determine these changes, a comparative analysis of studied emissions was carried out in individual EU countries for the years 2008 and 2017. The results of this comparison are presented in Figure 5. The GHG abbreviation entails greenhouse gases.
Figure 5.
Changes in the emissions of studied greenhouse gases (CO2, CH4 and N2O) and air pollution by the mining and quarrying sector in the EU countries in 2008 and 2017 (GHG-greenhouse gases, BE-Belgium, BG-Bulgaria, CZ-Czech Republic, DK-Denmark, DE-Germany, EE-Estonia, IE-Ireland, EL-Greece, ES-Spain, FR-France, HR-Croatia, IT-Italy, CY-Cyprus, LV-Latvia, LU-Lithuania, LU-Luxembourg, HU-Hungary, MT-Malta, NL-Netherlands, AT-Austria, PL-Poland, PT-Portugal, RO-Romania, SI-Slovenia, SK-Slovak Republic, Fi-Finland, SE-Sweden, UK-United Kingdom) (own elaboration based on data from [44]).
When analyzing the values of greenhouse gas and air pollutant emissions from the mining and quarrying sector in all EU countries (Figure 2), it can be concluded that between 2008 and 2017 (assuming that emission in 2008 equals 100%), the emission of studied gases was reduced by the EU countries by a total of around 24% for greenhouse gases and by 29% for air pollutants. The largest noticeable decrease (Figure 2) in terms of greenhouse gas and air pollutant emissions was reported between 2008 and 2009. Such a significant reduction in greenhouse gas and air pollutant emissions was caused mainly by the global economic crisis. In this context, it will also be very interesting to determine what impact the current economic downturn due to the COVID-19 pandemic will have on this emission in subsequent years.
However, when studying the percentage changes in greenhouse gas and air pollutant emissions in individual EU countries (Figure 5), a huge diversity of this process can be observed. In 4 countries (Finland, Sweden, Italy, and Luxembourg), even an increase in greenhouse gas emissions was reported. In Luxembourg, the emission of greenhouse gases included in the analysis was reported to have increased by more than 50% between 2008 and 2017, while in Italy and Sweden by more than 40%, and in Finland by more than 20%. These increases are undoubtedly a very negative example of pro-ecological activities. Nevertheless, these results indicate that the process of achieving climate neutrality by 2050 will be very difficult to achieve by all EU countries.
On the other hand, in this period, none of the EU countries recorded an increase in the emissions of other gas and air pollutants from the mining and quarrying sector.
In terms of reducing greenhouse gas and air pollutant emissions from the mining and quarrying sector, Estonia (98% reduction) as well as Cyprus and Denmark (over 80% reduction) were reported to have achieved the best results.
In turn, in the case of reducing greenhouse gas emissions, Spain was found to show the most favorable results, reducing its emissions by over 65% and Greece by 54%.
In several countries, the reduction of greenhouse gas emissions, as well as other gas and air pollutant emissions into the atmosphere is associated with a decrease in coal production (e.g., Poland, the Czech Republic).
The analysis of the results clearly indicates a great diversity of the EU countries in the field of the emissions of harmful substances and the effectiveness of actions undertaken to decrease these emissions. The choice of the mining and quarrying sector for analysis is justified, as it is traditionally a high-carbon sector. Thus, reduced emissions in this sector should be a very positive example both for other sectors of the EU economy and other regions, including non-EU countries.
3.2. Analysis of Similarities Between the EU Countries in Terms of Greenhouse Gas and Air Pollutant Emissions by the Mining and Quarrying Sector in 2017
Based on the presented data on greenhouse gas and air pollutant emissions into the atmosphere from the mining and quarrying sector (Table 1, Table 2 and Table 3) and based on the method discussed above, research was carried out, the results of which are presented in this chapter.
Based on the calculations, 28 EU countries were divided into clusters that consisted of the most similar countries in terms of the amount of studied emissions into the atmosphere. The analysis was carried out in terms of the absolute values of these substances and by comparing these emissions to the number of inhabitants and the GVA of individual countries. As already mentioned, the analysis involved data on the emissions of harmful substances for 2017 [45]. The following sections present the results of these analyses.
3.2.1. Analysis of Similarities between the EU Countries in Terms of the Absolute Emission Values of Harmful Substances in 2017
The first analysis covered the grouping of the EU countries by the absolute volume of emissions of studied gases and dusts from the mining and quarrying sector based on data from 2017.
The first step was to determine the dimensions of the topological map, i.e., the output layer of the neural network. The number of neurons of the topological grid was determined based on the following equation [74]:
where: k is the number of clusters, n is the number of cases (countries).
According to Equation (3), the topological map dimension was determined, which consisted of 4 clusters (groups) and formed a square grid.
Based on the similarities in the volume of the emissions of studied gases and air pollutants in 2017, the composition of clusters (groups) was determined, which is presented in Table 7 together with the activation value. It should be emphasized, however, that each diagnostic variable, i.e., each analyzed greenhouse gas and air pollution, had an ultimate impact on the grouping of the EU countries into homogeneous clusters in terms of the structure and volume of studied emissions from the mining and quarrying sector.
Countries located within one cluster (group) are the most similar to each other in terms of the emissions of studied substances from the mining and quarrying sector, and at the same time significantly different from countries in other clusters. Simultaneously, countries in the same cluster (group) show the greatest similarity to each other when they are in its central part. The further the country from a given cluster is from its center, the less similar it is to the countries in its central part. At the same time, assigning such a country to another cluster would be unfounded due to the lack of similarity to the countries in that cluster.
The distribution of countries in the created clusters (groups) based on the activation value is shown on the topological map in Figure 6.
Figure 6.
Topological map for individual similar groups of the EU countries (own elaboration).
When analyzing the distribution of the EU countries on the topological map, it can be seen that the countries from cluster 2 (Germany, Poland, UK) show the largest internal differentiation, and the countries from cluster 1 (e.g., Belgium, Bulgaria, Ireland) and 3 (the Czech Republic, Denmark, Italy, and Sweden) show the greatest similarity.
The results show that the countries with the lowest average emissions of studied substances from the mining and quarrying sector in 2017 were found in cluster 1, and the countries with the highest average emissions were found in cluster 2.
Table 8 summarizes the basic statistics regarding the conducted emission analysis for individual clusters. In this way, characteristic features for each cluster created by a different number of the EU countries were determined.
Based on the analysis, it can be concluded that the largest total value of the emissions of studied substances into the atmosphere from the mining and quarrying sector was found in cluster 2 formed by three countries: Germany, Poland, and UK. These countries were reported to emit 27,541,101 tons in total of greenhouse gases and air pollutants into the atmosphere only from the sector in question. The average value of this emission per individual country in this group is 9,180,367 tons.
Countries from cluster 3 (the Czech Republic, Denmark, Italy, Sweden) were found to emit nearly 10,831,757 tons in total of studied substances, of which the average for a country in this group is 2,707,939 tons, which is over 3 times less than in cluster 2.
The countries from cluster 1 were shown to have the lowest average greenhouse gas and air pollutant emissions. The average for these countries in 2017 was 391,037 tons (over 24 times less than for countries from cluster 2).
In general, the results show that the largest number of greenhouse gases and air pollutants in 2017 were emitted by these three countries in which total mineral production [30] was the largest. In addition, coal is one of the basic raw materials mined in both Germany and Poland [31,32,33]. A much smaller share of this raw material occurs in UK, where it accounted for only 1.5% of the total mineral production in 2017 [75].
Coal mining, both opencast and underground, is accompanied by the natural release of large amounts of methane. If it is not captured (by methane drainage systems and used economically), it is released into the atmosphere in large quantities. This is particularly evident in Poland, where hard coal is mined underground from highly saturated methane seams. However, only about 30% of this gas is recognized and used for business purposes. Poland is the largest emitter of methane from mining operations in the EU, as well as throughout Europe [15,37,38]. In turn, Germany, in terms of the emissions of this gas from the mining and quarrying sector, ranks 4 (after Romania and the Czech Republic). This is due to the fact that lignite is mined with opencast method, and the seams are less saturated with this gas [76].
When considering similarities between countries in cluster 2, it should be noted that the UK and Germany are the largest emitters of PM2.5. Poland is considered to be 5th, behind France (cluster 4) and Sweden (cluster 1). In turn, in the case of PM10 emissions, the highest emissions in 2017 were reported in Germany, UK (cluster 2), France (cluster 4), and Poland (cluster 1), respectively.
In the case of carbon monoxide air pollution, UK (cluster 2), Italy (cluster 3), Poland, and Germany (cluster 2) were found to have the largest share of these emissions.
The lowest average greenhouse gas and air pollutant emissions occurred in 2017 in countries from cluster 1. This cluster is dominated by countries in which the mining and quarrying sector is based on the extraction of minerals, which as a result of their operations, is accompanied by significantly lower emissions. For example, for the Netherlands, the most important in the mining and quarrying sector is oil and the natural gas subsector [77]. In Bulgaria, the metal ores sector plays a crucial role [78].
3.2.2. Analysis of Similarities between the EU Countries in the Scope of Emissions of Harmful Substances Compared to the GVA by the Mining and Quarrying Sector in 2017
The next stage of the analysis involved grouping the EU countries by the volume of the emissions of studied gases and air pollutants from the mining and quarrying sector based on 2017 data compared to the GVA by the mining and quarrying sector [45]. Malta was not included in this analysis since it lacks data on the GVA in this sector.
The calculations allowed the authors to determine the compositions of clusters (groups) of similar countries, which are presented in Table 9. However, Figure 7 shows the topographic map for these clusters.
Table 9.
Division of the EU countries into similar groups by the total value of emissions of harmful substances together with the values of the activation function (own elaboration).
Figure 7.
Topological map for individual similar groups of the EU countries (own elaboration).
Table 10 summarizes the basic statistics regarding the conducted emission analysis for individual clusters. In this way, the characteristic features of each cluster created by a different number of the EU countries were determined.
Table 10.
Results of statistical analysis regarding the emission of harmful substances compared to the GVA for individual clusters of the EU countries (own elaboration).
Based on the calculations and results, it was found that their similarity versus the similarity in terms of the total emissions changed significantly.
When analyzing the distribution of the EU countries in individual clusters on the topological map, it can be seen that the countries from clusters 2 and 3 show the largest internal differentiation, and the countries from clusters 4 and 1 show the greatest internal similarity.
In this analysis variant, countries with the highest average emissions of studied substances in relation to the GVA by the mining and quarrying sector can also be found in cluster 2, while countries with the lowest emissions in cluster 4.
For the countries in cluster 2, the average value of the emissions of all studied substances in 2017 was over 2334 tons per million Euro (GVA by the mining and quarrying sector), and for the countries in cluster 4, slightly more than 406 tons per million Euro, i.e., over 5.5 times less. The cluster with the highest average emission of studied gases and air pollutants involved the Czech Republic, Croatia, Cyprus, Hungary, and UK. Croatia was reported to have the smallest GVA by the mining and quarrying sector and one of the smallest total mineral production (in 2017, it was 2,110,855 metric ton = 1000 kg). It ranks 21st in the EU (out of 28 countries) in terms of the volume of production.
Among the countries with the lowest average value of greenhouse gas and air pollutant emissions from the mining and quarrying sector in relation to the GVA, only 6 countries were identified. Of these, 5 (Ireland, Latvia, Lithuania, Austria, and Portugal) also had the lowest average value of emissions when analyzing the absolute value of studied emissions.
3.2.3. Analysis of Similarities between the EU Countries in Terms of the Emissions of Harmful Substances Compared to the Number of Inhabitants in 2017
The last stage involved grouping the EU countries by the volume of gas and air pollutant emissions from the mining and quarrying sector compared to the number of inhabitants of these countries. Such an analysis seems to be perfectly justified also due to the fact that these substances have a very negative impact on the life and health of society throughout the country, not only in mining areas [36,49,79,80].
The calculations enabled the division of the EU countries into 4 clusters, the composition of which is presented in Table 11. However, Figure 8 shows their distribution on the topological map. Basic statistics that describe the clusters, consisting of a different number of countries, are presented in Table 12.
Table 11.
Division of the EU countries into similar groups in terms of the emission of harmful substances compared to the number of inhabitants along with the values of the activation function (own elaboration).
Figure 8.
Topological map for individual similar groups of the EU countries (own elaboration).
Table 12.
Results of the statistical analysis regarding the emission of harmful substances compared to the number of inhabitants for individual clusters of the EU countries (own elaboration).
When analyzing the topographic map (Figure 8), it can be noted that cluster 1 includes countries that are most similar in the studied area (nearest neighborhood), and cluster 2 countries are very diverse in terms of this emission (significant distances between countries within this cluster). The countries from clusters 3 and 4 also show considerable diversity.
The results clearly indicate that the demographic factor significantly influences the compositions of created clusters. Four countries (out of 5 in the EU) with the largest population (Germany, France, Spain, Italy) were found in cluster 1, which is characterized by the lowest average value of gas and air pollutant emissions into the atmosphere from the mining and quarrying sector per capita. In these countries, there is an average of 36.7 kg of the emissions of studied substances per capita. Slightly higher values were reported in the countries from cluster 4, where the average value of these emissions per capita was found to be just over 71 kg.
In turn, in the countries from cluster 2, which included countries with the highest gas and air pollutant emissions per capita, the average mass of emitted substances was observed to be almost 264 kg, which is over 7-fold higher. Among the countries with the highest average emissions of studied substances is, for example, Estonia, a country with one of the smallest populations among the EU countries, as well as the UK—a country with one of the largest populations in the EU.
4. Discussion
Despite the changes observed in the economy of EU countries, the mining and quarrying sector is still of major importance for these economies. Many mineral resources, such as hard coal and lignite, natural gas, copper ore, zinc, and many other minerals are still being mined in Europe [81,82]. In some countries, e.g., in Poland, energy resources are still classified as strategic resources and thus undergo protection [83].
In recent years, however, the European commission has been pursuing an active policy regarding the extraction of mineral resources from both primary and secondary sources. The assumptions and scope of planned activities for non-energy raw materials are presented in the document entitled: Initiative for Raw Materials—Meeting Our Key Needs to Stimulate Growth and Create Jobs in Europe [84]. Europe is dependent on the import of many raw materials used in the new technologies sector, such as cobalt, platinum, rare-earth elements, and titanium.
Some EU Member States have developed national strategies for non-energy raw materials, including France, Germany, Finland, Greece, the Netherlands, and Portugal [85,86,87,88,89]. The Finnish strategy is recognized as a model from the point of view of mineral resources management, in which 12 activities in four areas were distinguished, i.e., to improve legal regulations; to secure supplies of raw materials; to reduce the impact of exploitation on the environment and increase its productivity; and to enhance scientific research and expert activities, as well as educational activities [86]. On the other hand, according to the Austrian Raw Material Plan, mineral deposits are treated as national goods of both nationwide and regional significance. Due to this, deposit protection zones (priority zones of deposits that deserve protection) are designated in order to enable their future exploitation [87]. In Sweden, the government has developed a comprehensive strategy to meet the needs of the non-energy mining industry and preserve the benefits. One of the key aspects of this strategy is to achieve the innovation goal of the non-energy mining industry with an excellent knowledge base [88]. The National Strategy for Portuguese Geological Resources and Mineral Resources sets the framework for promoting the Portuguese non-energy mining industry [89]. This strategy involves four areas of activity such as economic, social, spatial, and balanced territorial development.
The extraction processes of both energy and non-energy raw materials are accompanied by a number of adverse phenomena that are very harmful to the natural environment, including in particular the emission of harmful gases and dust into the atmosphere.
The volume of these emissions depends on many natural, technical, and organizational as well as economic factors. In general, technological processes related to the extraction of particular mineral resources are to the most extent responsible for the formation of both gases and dusts [90].
Moreover, other factors such as a technological level, an energy system, social awareness, and wealth are also of great significance. Historically, in Europe, the mining and quarrying sector always belonged to the most developed sector on which the economy of many countries was based for many years. Unfortunately, current changes, in particular those concerning environmental protection, have also forced this sector to adapt to the growing requirements in the field of environmental protection.
Due to both the traditions and importance of the EU economy, the study focused on the emissions of harmful substances in terms of their absolute values and in relation to the number of inhabitants of individual countries and their GVA. The inclusion of these two additional factors was intended to show differences in this respect in individual EU countries. At the same time, it was to show additional factors that should be taken into account when developing environmental policies in EU countries. In this case, relying only on the absolute values of studied substances seems not to fully reflect the actual state of affairs.
The results, including grouping the EU countries into homogenous groups in terms of the total emissions of studied substances and their values compared to the number of inhabitants and the GVA, confirm the large diversity of the EU countries. This makes the assessment of these emissions a complex problem and requires deeper analysis. The created division of the EU countries into similar groups for additional criteria significantly differ from the division in terms of the total emissions of selected substances.
Based on the overall greenhouse gas emissions as well as gas and air pollutant emissions from the mining and quarrying sector in EU countries, the largest emitters were reported to be UK, Italy, Germany, and Poland, accounting for over 65% of all gas and air pollutant emissions from the mining and quarrying sector.
However, when looking at the structure and volume of these emissions, it is clear that Germany, Poland, and UK (Table 7) show similarities, and Italy shows greater similarity with countries such as the Czech Republic, Denmark, and Sweden (Table 7).
All countries in cluster 2 (Table 7), i.e., Germany, Poland, and UK, exploit both hard coal and lignite, which is accompanied by significant greenhouse gas and air pollutant emissions associated with the extraction of these substances. One of the greenhouse gases accompanying this exploitation process is methane contained in coal seams. Methane emitted into the atmosphere can survive for 9 to 15 years. Poland is an infamous leader in the field of methane emissions, and only about 35% of this gas is captured by methane drainage systems [15]. In Germany, on the other hand, various technological solutions are utilized to minimize the impact of methane emissions on the surrounding atmosphere. Methane, which is extracted from closed mines, is used, for example, as a fuel in the electricity production process of numerous projects by the federal states of North Rhine-Westphalia and the Land of Sara [91].
Activities in the field of reducing this gas emissions from coal mines are already carried out jointly by, for example, Poland and Great Britain (cluster 2) as part of the project “Recovery and Use of Methane for Energy and Chemical Purposes in Coal Mines”.
Significant amounts of gas and dust accompanying coal mining are associated with implemented technological processes. The mining cycle consists of a number of activities during which significant amounts of carbon dioxide, PM2.5 and PM10, carbon monoxide or nitrogen oxide are produced. It will be possible to reduce gas emissions resulting from technological activities by using energy from renewable sources, increasing the efficiency of mining processes, adopting the principles of clean, safe, and connected mobility (transport of mineral resources also causes huge greenhouse gas emissions), using resources more efficiently, and developing a circular economy.
The inclusion of the GVA by the mining and quarrying sector revealed significant differences between this and the previous grouping. It was assumed that the ratio of the mass of gas and air pollutants emitted from this sector to the GVA determines, in a simplified way, an increase in the value of production in this sector. Therefore, it was reasonable to check how this value relates to the volume of gas and air pollutant emissions from the mining and quarrying sector.
When considering this factor, it was found that the most favorable ratio of the mass of emitted substances to the GVA by the mining and quarrying sector was observed in the countries from cluster 4 (Table 9), i.e., in Ireland, France, Latvia, Lithuania, Austria, and Portugal. With the exception of France, these countries were also observed to have the lowest gas and air pollutant emissions from the mining and quarrying sector in total. The most unfavorable values were reported for countries in cluster 2 (the Czech Republic, Croatia, Cyprus, Hungary, and UK). It can be assumed that in these countries, considerable financial transfers from other industries will be necessary to reduce the emissions of harmful substances from the mining and quarrying sector. The ratio of studied emissions to the GVA is very unfavorable in these countries. The designated similar groups are different in this case versus the absolute value of these emissions. However, it seems that these groups rather reflect the economic potential and possibilities of reducing these emissions by the countries in given clusters (groups).
The idea to take into account the demographic factor also changed the composition of individual clusters. With respect to the emissions per capita, the countries with the least favorable ratio included the Czech Republic, UK, and Denmark (Table 11). In this respect, Malta, Belgium, Bulgaria, and even Germany were found to have much “more favorable” indicators. These countries show the greatest similarity both in the structure and volume of gas and air pollutant emissions among the countries with the lowest mass per capita. Therefore, it can be seen that in these countries, the ratio of the emission of harmful substances per capita is the most favorable in the EU countries. This creates great opportunities to achieve the objectives to reduce the emissions in question. On the other hand, the countries from cluster 2, in particular the Czech Republic and Estonia, were reported to have a very unfavorable indicator of the amount of emitted substances per capita.
To sum up, the results show that the problem of the emissions of harmful substances from the mining and quarrying sector in the EU countries is really complex. It requires in-depth analysis with many factors to be considered. The results of grouping EU countries into homogeneous clusters (groups) in terms of the structure and volume of gas and air pollutant emissions from this sector indicate that the analysis only in terms of the absolute emissions fails to fully describe the actual state of this phenomenon.
Only 4 countries out of 28 belonging to the EU in 2017 and for each analysis variant showed similarity in terms of the structure of gas and air pollutant emissions. These countries include Belgium, Bulgaria, Luxembourg, and the Netherlands. With respect to the emissions in total and per capita, they were characterized by the lowest emission values.
In turn, in the case of countries with the highest emission values, only the UK in all analysis variants was always found to be in the clusters characterized by the highest emissions.
However, when analyzing the structure of the emissions, they were found to be very diverse in individual EU countries. This is primarily due to the type of raw materials used in a given country. The emissions of significant amounts of greenhouse gases in the form of carbon dioxide and methane, as well as air pollutants in the form of carbon monoxide are associated with the extraction of energy resources. This applies to the UK, where natural gas is extracted, and Poland, Germany, and the Czech Republic, where coal is extracted. Natural gas extraction in UK, the Netherlands, Romania, Italy, and Denmark is also accompanied by significant gas emissions. This also applies to gas production from unconventional sources. In the process of the so-called fracking, large amounts of methane also leaks into the atmosphere.
When extracting minerals in the form of solids, large amounts of dust are emitted into the atmosphere. This mainly concerns Germany, Poland, and Spain, as well as other countries where mineral aggregates are extracted [35,36,92,93].
Nevertheless, the presented data and the results show that in recent years, there has been a decrease in the amount of substances emitted into the atmosphere as a result of mining and quarrying operations in EU countries (Figure 2 and Figure 5). At the same time, there is also a noticeable large variation in the volume and structure of this emission in individual countries. This, in turn, should be taken into account when developing pro-ecological policies for EU countries. The specificity of these countries should be considered when creating such policies.
The results also indicate that the idea of grouping and assessing countries only through the prism of the level of greenhouse gas and air pollutant emissions as absolute values fails to fully reflect the real state of this problem.
The use of the Kohonen’s network and comparing gas and air pollutant emissions from the mining and quarrying sector to the number of inhabitants and to the GVA by the mining and quarrying sector in individual EU countries enabled the acquisition of new knowledge and undoubtedly constitute a new approach to this subject. Among the many taxonomic methods that could be used for this type of analysis, the Kohonen’s network was recognized as the most adequate tool that can guarantee independent grouping results. The Kohonen’s network can detect connections that would have been omitted if another classification method had been used (e.g., the Ward method). Additionally, unquestionable advantages of using the self-organizing map algorithm in data classification analysis are: no requirement to match the distribution of variables with the normal distribution, relatively high resistance to missing data, the ability to identify objects with divergent features, and no need for subjective intervention of the researcher.
The idea to designate similar groups of EU countries, taking into account additional factors, allowed for a new crucial achievement. All this needs to be taken into consideration when constructing a new pro-ecological policy for the EU countries. This solution can also be used for analysis in other countries worldwide.
5. Conclusions and Policy Implications
It is obvious that the current EU policy is definitely environmentally friendly. The new European climate strategy presented at the Conference of the Parties (COP) 25 Summit in Madrid in 2019, referred to as the European Green Deal, is a very decisive response to the world’s climate problems. In order to achieve this goal, i.e., the climate neutrality of the European economy by 2050, decisive actions need to be undertaken to protect the environment. One such action is to reduce the emissions of harmful substances into the environment. The analysis of the volume of these emissions in recent years (Figure 2) indicates that it is generally being reduced in EU countries. However, it can be seen that the pace of these changes is insufficient. In this context, it seems reasonable to analyze the reasons for this situation.
One of the research directions is the emission analysis of individual sectors of the EU economy. For such analysis, it is necessary to take into account the large diversity of the EU countries, in economic, financial, and social terms. In 2017, the EU was made up of 28 countries, which means that its structure is very fragmented. All these factors contribute to the great diversity of the economic structure of individual countries. Nevertheless, actions to improve the quality of the natural environment are currently bringing the best results in the EU.
In this context, research on the emissions of individual sectors of the economy of the EU countries seems to be most justified.
The analysis of grouping countries into homogenous clusters in the field of gas and air pollutant emissions from the mining and quarrying sector showed that only 4 of 28 EU Member States in 2017, in each analysis variant, were found to be similar in terms of both the structure and volume of this emission. These countries include Belgium, Bulgaria, Luxembourg, and the Netherlands (cluster 1). Also, they were reported to have the lowest emission values for the total emissions of studied substances and for the GVA with regard to both the studied sector and population.
The analysis also showed that Germany, which is the country with the highest emission of studied substances, based on the economic factor, belonged to the group of countries with average emissions, and based on the demographic factor, to countries with the lowest emissions. In turn, Hungary, Cyprus, and Croatia, which are the countries with the lowest total emissions of studied substances, turned out to have the highest emissions when considering the economic factor. The country that in each analysis variant belonged to the group of countries (cluster 2) with the highest gas and air pollutant emissions from the mining and quarrying sector was the UK.
The results should be used by the EU to reduce greenhouse gas and air pollutant emissions by developing a policy related to groups of countries (e.g., designated in the study) and to individual sectors. The common climate policy should consider as many internal factors as possible with regard to all Member States, because only then success can be achieved. The division of the countries into four homogenous groups seems very reasonable in terms of targeting this policy. Obviously, certain financial resources are necessary and should be spent very reasonably. They should be dedicated to groups of similar countries with similar problems. This would mean more efficient use of the funds.
The EU energy policy priorities are particularly important in this respect, especially in the field of energy independence. The question is whether the EU strategy should consider using conventional sources or rely only on renewable sources. It seems, as evidenced by the results and the geopolitical situation, that for both security and energy independence, it is worth considering the use of conventional energy sources. Not all EU countries are able to carry out energy transformations in a short time. Such a process involves enormous costs related to the development of renewable energy sources as well as social and often political costs regarding necessary changes in the employment structure. With regard to the costs of producing energy from renewable sources, the opinions obviously vary. This is due to the way these costs are calculated. If we consider only the production costs, they are very low. However, when taking into account the investments necessary to use these sources, the costs are much higher. New technologies implemented in this area and their universality should also significantly reduce this component. However, the undoubted benefit of obtaining energy from these sources is the protection of the natural environment, which was emphasized in the article.
The results also showed differences in the economies of individual countries. The EU climate policy needs to take into account these differences and build Europe’s climate strategy based on them. These strategies should take into account the level of technological advancement of the economy, wealth, and demographic potential of individual countries. The results should facilitate this task, because they indicate similar groups of countries and sectors to which specific programs can be dedicated. Limiting the emission of harmful substances, not only from the mining and quarrying sector, is necessary and probably will be achieved, but it is important that this policy is effective and does not lower the standard of living in some countries.
This regards especially those countries that began the process of political and economic transformation a little later, since around 1990 after the fall of the Iron Curtain. Too stringent climate policy, which is not adapted to economic capabilities, may cause social resistance and anti-European sentiment. Economic development, social awareness, technological advancement, scientific research, social wealth, and civic traditions are factors that despite many years of building the European community, differ between countries that comprise it.
In the context of the conducted research, it can be stated that the developed methodology and the results confirm the validity of the adopted research direction for individual sectors of the economy. This approach allows the transition from a general climate policy to a specific policy relating to individual sectors and countries. Also, a global view on ecological problems has its advantages and is necessary, but only operational activities undertaken at the level of countries and sectors can give measurable effects.
In the light of achieving the climate neutrality planned for 2050, it is crucial for all EU countries to implement an effective climate strategy. At this stage, it has many opponents whose economies are related to the mining and quarrying sector (Poland, Czech Republic, Hungary). In this regard, measures need to be taken to enable these economies to transform their energy from conventional energy sources to alternative ones. In addition, it is reasonable and crucial to increase the efficiency of existing mining processes, adopt the principles of clean, safe, and connected mobility (transport of mineral resources causes greenhouse gas emissions), use resources more effectively, and develop a circular economy. Both the recovery and recycling of mineral resources are also becoming a very important factor affecting their production. Another factor that can improve the environmental impact is the digitization and automation of mining processes, which creates opportunities to optimize these processes and reduce the emission of harmful substances into the atmosphere.
The authors hope that the presented method of analyzing harmful emissions, the results, and the conclusions will also encourage other researchers to a more detailed and critical approach to this topic. It is beyond dispute that in order to protect our planet, not only in the EU countries but worldwide, it is crucial to take specific pro-ecological actions. In this regard, the direction of the EU countries in achieving climate neutrality by 2050 is undoubtedly groundbreaking and expected by the international community.
Author Contributions
Conceptualization, M.T. and J.B.; methodology, J.B. and M.T.; software, M.T.; and J.B.; formal analysis, J.B. and M.T.; investigation, J.B. and M.T.; resources, J.B. and M.T.; data curation, J.B. and M.T.; writing of the original draft preparation, J.B. and M.T.; writing of review and editing, J.B. and M.T.; visualization, M.T.; supervision, M.T. and J.B.; project administration, M.T. and J.B.; funding acquisition, J.B. All authors have read and agreed to the published version of the manuscript.
Funding
This research was funded by The Silesian University of Technology, grant number 13/030/RGJ19/0050 (Rector’s Grants in Research and Development).
Conflicts of Interest
The authors declare no conflicts of interest.
References
- Brodny, J.; Tutak, M. Analyzing Similarities between the European Union Countries in Terms of the Structure and Volume of Energy Production from Renewable Energy Sources. Energies 2020, 13, 913. [Google Scholar] [CrossRef]
- Dabyltayeva, N.; Rakhymzhan, G. The green economy development path: Overview of economic policy priorities. J. Secur. Sustain. 2019, 8, 643–651. [Google Scholar] [CrossRef]
- Kaya, O.; Klepacka, A.; Florkowski, W. Achieving renewable energy, climate, and air quality policy goals: Rural residential investment in solar panel. J. Environ. Manag. 2019, 248, 109309. [Google Scholar] [CrossRef] [PubMed]
- Ali, S.H.; Giurco, D.; Arndt, N.; Nickless, E.; Brown, G.; Demetriades, A.; Durrheim, R.; Enriquez, M.A.; Kinnaird, J.; Littleboy, A.; et al. Mineral supply for sustainable development requires resource governance. Nature 2017, 543, 367. [Google Scholar] [CrossRef] [PubMed]
- Elshkaki, A.; Graedel, T.E.; Ciacci, L.; Reck, B.K. Resource Demand Scenarios for the Major Metals. Environ. Sci. Technol. 2018, 52, 2491–2497. [Google Scholar] [CrossRef]
- Im, H.; Kim, Y. The Electrification of Cooking Methods in Korea—Impact on Energy Use and Greenhouse Gas Emissions. Energies 2020, 13, 680. [Google Scholar] [CrossRef]
- Khalili, S.; Rantanen, E.; Bogdanov, D.; Breyer, C. Global Transportation Demand Development with Impacts on the Energy Demand and Greenhouse Gas Emissions in a Climate-Constrained World. Energies 2019, 12, 3870. [Google Scholar] [CrossRef]
- Prior, T.; Giurco, D.; Mudd, G.; Mason, L.; Behrisch, J. Resource depletion, peak minerals and the implications for sustainable resource management. Glob. Environ. Chang. 2012, 22, 577–587. [Google Scholar] [CrossRef]
- Northey, S.; Mohr, S.; Mudd, G.; Weng, Z.; Giurco, D. Modelling future copper ore grade decline based on a detailed assessment of copper resources and mining. Resour. Conserv. Recycl. 2014, 83, 190–201. [Google Scholar] [CrossRef]
- Gorman, M.R.; Dzombak, D.A. An Assessment of the Environmental Sustainability and Circularity of Future Scenarios of the Copper Life Cycle in the U.S. Sustainability 2019, 11, 5624. [Google Scholar] [CrossRef]
- Cheng, Y.-P.; Wang, L.; Zhang, X.-L. Environmental impact of coal mine methane emissions and responding strategies in China. Int. J. Greenh. Gas Control 2011, 5, 157–166. [Google Scholar] [CrossRef]
- Ghose, M.K.; Majee, S.R. Assessment of the impact on the air environment due to opencast coal mining—An Indian case study. Atmos. Environ. 2000, 34, 2791–2796. [Google Scholar] [CrossRef]
- Salomons, W. Environmental impact of metals derived from mining activities: Processes, predictions, prevention. J. Geochem. Explor. 1995, 52, 5–23. [Google Scholar] [CrossRef]
- Tiwary, R.K. Environmental Impact of Coal Mining on Water Regime and Its Management. Water Air Soil Pollut. 2001, 132, 185–199. [Google Scholar] [CrossRef]
- Tutak, M.; Brodny, J. Forecasting Methane Emissions from Hard Coal Mines Including the Methane Drainage Process. Energies 2019, 12, 3840. [Google Scholar] [CrossRef]
- Dubiński, J. Sustainable development of mining mineral resources. J. Sustain. Min. 2013, 12, 1–6. [Google Scholar] [CrossRef]
- European Commission. Available online: https://ec.europa.eu/growth/sectors/raw-materials/industries/minerals_en (accessed on 10 March 2020).
- Thracean Gold Mining. Available online: https://www.tgm.gr/project-information/gold-mines-in-the-eu/?lang=en# (accessed on 10 March 2020).
- Worldatlas. Available online: https://www.worldatlas.com/articles/the-top-coal-producing-countries-in-europe.html (accessed on 10 March 2020).
- Eurostat. Available online: https://ec.europa.eu/eurostat/ramon/nomenclatures/index.cfm?TargetUrl=LST_NOM_DTL&StrNom=NACE_REV2&StrLanguageCode=EN (accessed on 10 March 2020).
- Bartholdsen, H.-K.; Eidens, A.; Löffler, K.; Seehaus, F.; Wejda, F.; Burandt, T.; Oei, P.-Y.; Kemfert, C.; Hirschhausen, C. Pathways for Germany’s Low-Carbon Energy Transformation Towards 2050. Energies 2019, 12, 2988. [Google Scholar] [CrossRef]
- Brodny, J.; Tutak, M. Analysing the Utilisation Effectiveness of Mining Machines Using Independent Data Acquisition Systems: A Case Study. Energies 2019, 12, 2505. [Google Scholar] [CrossRef]
- Oei, P.-Y.; Brauers, H.; Herpich, P. Lessons from Germany’s Hard Coal Mining Phase-Out: Policies and Transition from 1950 to 2018. Clim. Policy 2019. [Google Scholar] [CrossRef]
- Vögele, S.; Kunz, P.; Rübbelke, D.; Stahlke, T. Transformation pathways of phasing out coal-fired power plants in Germany. Energy Sustain. Soc. 2018, 8, 25. [Google Scholar] [CrossRef]
- Zientara, P.; Zamojska, A.; Maciejewski, G.; Nikodemska-Wołowik, A.M. Environmentalism and Polish Coal Mining: A Multilevel Study. Sustainability 2019, 11, 3086. [Google Scholar] [CrossRef]
- Zientara, P. Coal mining, economic development and environmental sustainability: A case of Poland. J. Energy Dev. 2007, 32, 187–204. [Google Scholar]
- Meinert, L.D.; Robinson, G.R., Jr.; Nassar, N.T. Mineral resources: Reserves, peak production and the future. Resources 2016, 5, 14. [Google Scholar] [CrossRef]
- Schmidt, M. Scarcity and Environmental Impact of Mineral Resources—An Old and Never-Ending Discussion. Resources 2019, 8, 2. [Google Scholar] [CrossRef]
- Bhappu, R.B. Strategic Minerals—Their Impact on Mineral Processing Developments. In Mineral Processing at a Crossroads; Wills, B.A., Barley, R.W., Eds.; NATO ASI Series (Series E: Applied Sciences); Springer: Dordrecht, The Netherlands, 1986; Volume 117. [Google Scholar]
- World Mining Data. Available online: https://www.world-mining-data.info/?World_Mining_Data___Data_Section (accessed on 10 March 2020).
- Gerbaulet, C.; von Hirschhausen, C.; Kemfert, C.; Lorenz, C.; Oei, P.-Y. European electricity sector decarbonization under different levels of foresight. Renew. Energy 2019, 141, 973–987. [Google Scholar] [CrossRef]
- Halim, R.A.; Kirstein, L.; Merk, O.; Martinez, L.M. Decarbonization Pathways for International Maritime Transport: A Model-Based Policy Impact Assessment. Sustainability 2018, 10, 2243. [Google Scholar] [CrossRef]
- Beamish, B.B.; Vance, W.E. Greenhouse gas contributions from coalmining in Australia and New Zealand. J. R. Soc. N. Z. 1992, 22, 153–156. [Google Scholar] [CrossRef]
- Booth, P.; Brown, H.; Nemcik, J.; Ting, R. Spatial context in the calculation of gas emissions for underground coal mines. Int. J. Min. Sci. Technol. 2017, 27, 787–794. [Google Scholar] [CrossRef]
- Brodny, J.; Tutak, M. Analysis of the diversity in emissions of selected gaseous and particulate pollutants in the European Union countries. J. Environ. Manag. 2019, 231, 582–595. [Google Scholar] [CrossRef]
- Brodny, J.; Tutak, M. Exposure to Harmful Dusts on Fully Powered Longwall Coal Mines in Poland. Int. J. Environ. Res. Public Health 2018, 15, 1846. [Google Scholar] [CrossRef]
- Brodny, J.; Tutak, M. Analysis of Gases Emitted into the Atmosphere during an Endogenous Fire. In Proceedings of the 16th International Multidisciplinary Scientific GeoConference SGEM, Vienna, Austria, 2–5 November 2016; pp. 75–82. [Google Scholar] [CrossRef]
- Brodny, J.; Tutak, M. Analysis of Methane Emission into the Atmosphere as a Result of Mining Activity. In Proceedings of the 16th International Multidisciplinary Scientific GeoConference SGEM, Vienna, Austria, 2–5 November 2016; pp. 83–90. [Google Scholar] [CrossRef]
- UNFCCC. Kyoto Protocol Reference Manual on Accounting of Emissions and Assigned Amount United Nations Framework Convention on Climate Change. 2008. Available online: http://unfccc.int/kyoto_protocol/items/3145.php (accessed on 10 January 2020).
- European Commission. Available online: https://ec.europa.eu/clima/policies/strategies/2050_en (accessed on 10 March 2020).
- European Commission. Available online: https://ec.europa.eu/info/strategy/priorities-2019-2024/european-green-deal_en (accessed on 10 January 2020).
- European Commission. Available online: https://ec.europa.eu/regional_policy/en/newsroom/news/2020/01/14-01-2020-financing-the-green-transition-the-european-green-deal-investment-plan-and-just-transition-mechanism (accessed on 10 January 2020).
- Directive, 2016. Directive (EU) 2016/2284 of the European Parliament and of the Council. Available online: https://eur-lex.europa.eu/legal-content/EN/TXT/?uri=uriserv:OJ.L_.2016.344.01.0001.01.ENG&toc=OJ:L. (accessed on 10 January 2020).
- European Council. Council of the European Union. Available online: https://www.consilium.europa.eu/pl/policies/clean-air/ (accessed on 10 March 2020).
- Eurostat Database. Available online: https://ec.europa.eu/eurostat/data/database (accessed on 10 March 2020).
- Pietrzyk-Sokulska, E.; Uberman, R.; Kulczycka, J. The impact of mining on the environment in Poland—Myths and reality. Gospodarka Surowcami Mineralnymi–Miner. Resour. Manag. 2015, 31, 45–64. [Google Scholar] [CrossRef]
- Samimi Namin, F.; Shahriar, K.; Bascetin, A. Environmental impact assessment of mining activities. A new approach for mining methods selection. Gospodarka Surowcami Mineralnymi 2011, 27, 113–143. [Google Scholar]
- Szczepanska, J.; Twardowska, I. Distribution and environmental impact of coal-mining wastes in Upper Silesia, Poland. Environ. Geol. 1999, 38, 249–258. [Google Scholar] [CrossRef]
- Stewart, A.G. Mining is bad for health: A voyage of discovery. Environ. Geochem. Health 2019. [Google Scholar] [CrossRef] [PubMed]
- Ericsson, M.; Löf, O. Mining’s contribution to national economies between 1996 and 2016. Miner. Econ. 2019, 32, 223–250. [Google Scholar] [CrossRef]
- Fugiel, A.; Burchart-Korol, D.; Czaplicka-Kolarz, K.; Smoliński, A. Environmental impact and damage categories caused by air pollution emissions from mining and quarrying sectors of European countries. J. Clean. Prod. 2017, 143, 159–168. [Google Scholar] [CrossRef]
- Norgate, T.; Haque, H. Energy and greenhouse gas impacts of mining and mineral processing operations. J. Clean. Prod. 2010, 18, 266–274. [Google Scholar] [CrossRef]
- Katta, A.K.; Davis, M.; Kumar, A. Development of disaggregated energy use and greenhouse gas emission footprints in Canada’s iron, gold, and potash mining sectors. Resour. Conserv. Recycl. 2020, 152, 104485. [Google Scholar] [CrossRef]
- Heinrich, L.; Koschinsky, A.; Markus, T.; Singh, P. Quantifying the fuel consumption, greenhouse gas emissions and air pollution of a potential commercial manganese nodule mining operation. Mar. Policy 2019, 114, 103678. [Google Scholar] [CrossRef]
- Kholod, N.; Evans, M.; Pilcher, R.C.; Roshchanka, V.; Ruiz, F.; Coté, M.; Collings, R. Global methane emissions from coal mining to continue growing even with declining coal production. J. Clean. Prod. 2020, 256, 120489. [Google Scholar] [CrossRef]
- Mirakovski, D.; Hadzi-Nikolova, M.; Doneva, N.; Despodov, Z.; Panov, Z.; Mijalkovski, S. Air pollutants emission estimation from mining industry in Macedonia. In Proceedings of the 1st International Workshop on the UNESCO-IGCP Project: “Anthropogenic Effects on the Human Environment in the Neogene Basins in the SE Europe”, Štip, Macedonia, 3–4 June 2011. [Google Scholar]
- Eurostat. Available online: https://ec.europa.eu/eurostat/ramon/nomenclatures/index.cfm?TargetUrl=DSP_NOM_DTL_VIEW&StrNom=NACE_REV2&StrLanguageCode=EN&IntPcKey=&IntKey=18495404&StrLayoutCode=HIERARCHIC&IntCurrentPage=1 (accessed on 10 March 2020).
- Eiden, R.; Förster, J.; Peters, K.; Trautner, F.; Herterich, R.; Gietl, G. Air Pollution and Deposition. In Forest Decline and Air Pollution; Schulze, E.D., Lange, O.L., Oren, R., Eds.; Ecological Studies (Analysis and Synthesis); Springer: Berlin/Heidelberg, Germany, 1989; Volume 77. [Google Scholar]
- Balcombe, P.; Speirs, J.F.; Brandon, N.P.; Hawkes, A.D. Methane emissions: Choosing the right climate metric and time horizon. Environ. Sci. Process. Impacts 2018, 20, 1323–1339. [Google Scholar] [CrossRef] [PubMed]
- Stocker, T.F.; Qin, D.; Plattner, G.-K.; Tignor, M.; Allen, S.K.; Boschung, H.; Nauels, A.; Xia, Y.; Bex, V.; Midgley, P. Climate Change 2013: The Physical Science Basis. Contribution of Working Group I to the Fifth Assessment Report of the Intergovernmental Panel on Climate Change; Cambridge University Press: Cambridge, UK; New York, NY, USA, 2013; p. 1535. [Google Scholar]
- Kohonen, T. Self-Organized Formation of Topologically Correct Feature Maps. Biol. Cybern. 1982, 43, 59–69. [Google Scholar] [CrossRef]
- Kohonen, T. The self-organizing map. Proc. IEEE 1990, 78, 1464–1480. [Google Scholar] [CrossRef]
- Mewes, D.; Jacobi, C. Horizontal Temperature Fluxes in the Arctic in CMIP5 Model Results Analyzed with Self-Organizing Maps. Atmosphere 2020, 11, 251. [Google Scholar] [CrossRef]
- Freeman, J.A.; Skapura, D.M. Neural Networks Algorithms. Applications and Programming Techniques; Addison-Wesley Publishing Company: Boston, MA, USA, 1992; pp. 263–289. ISBN 0-201-51376-5. [Google Scholar]
- Skowron, M.; Wolkiewicz, M.; Orlowska-Kowalska, T.; Kowalski, C.T. Application of Self-Organizing Neural Networks to Electrical Fault Classification in Induction Motors. Appl. Sci. 2019, 9, 616. [Google Scholar] [CrossRef]
- Balbinot, L.; Smichowski, P.; Farias, S.; Arruda, M.A.Z.; Vodopivez, C.; Poppi, R.J. Classification of Antarctic algae by applying Kohonen neural network with 14 elements determined by inductively coupled plasma optical emission spectrometry. Spectrochim. Acta Part B 2005, 60, 725–730. [Google Scholar] [CrossRef]
- Garcia, J.C.; Silva, G.A.; Arruda, M.A.Z.; Poppi, R.J. Application of Kohonen neural network to exploratory analyses of synchroton radiation X-ray fluorescence measurements of sunflower metalloproteins. X-ray Spectrom. 2007, 36, 122–129. [Google Scholar] [CrossRef]
- Lek, S.; Guégan, J.F. Artificial neural networks as a tool in ecological modelling, an introduction. Ecol. Model. 1999, 120, 65–73. [Google Scholar] [CrossRef]
- Silva, G.A.; Augusto, F.; Poppi, R.J. Exploratory analysis of the volatile profile of beers by HS–SPME–GC. Food Chem. 2008, 111, 1057–1063. [Google Scholar] [CrossRef]
- Zupan, J.; Gasteiger, J. Neural networks—A new method for solving chemical problems or just a passing phase. Anal. Chim. Acta 1990, 248, 1–30. [Google Scholar] [CrossRef]
- Zupan, J.; Gasteiger, J. Neural Networks in Chemistry and Drug Design; Wiley-VCH: New York, NY, USA, 1999. [Google Scholar]
- Larose, D.T. Odkrywanie Wiedzy z Danych. Wprowadzenie do Eksploracji Danych; Wydawnictwo Naukowe PWN: Warszawa, Poland, 2006. [Google Scholar]
- Lasek, M.; Myzik, A. Sieci neuronowe Kohonena w przeprowadzaniu analiz danych. Próba wykorzystania w eksploracji danych dotyczących jednostek terytorialnych. Problemy Zarządzania 2012, 10, 124–147. [Google Scholar]
- Mardia, K.V.; Kent, J.T.; Bibby, J.M. Multivariate Analysis. Probability and Mathematical Statistics; Academic Press: London, UK, 1979. [Google Scholar]
- Minerals UK. Available online: https://www.bgs.ac.uk/mineralsuk/statistics/ukStatistics.html (accessed on 10 March 2020).
- Macuda, J.; Zawisza, L. Występowanie metanu w pokładach węgla brunatnego. Górnictwo i Geoinżynieria 2007, 31, 445–452. [Google Scholar]
- AZO Mining. Available online: https://www.azomining.com/Article.aspx?ArticleID=124 (accessed on 10 March 2020).
- AZO Mining. Available online: https://www.azomining.com/Article.aspx?ArticleID=227 (accessed on 10 March 2020).
- Patra, A.K.; Gautam, S.; Kumar, P. Emissions and human health impact of particulate matter from surface mining operation—A review. Environ. Technol. Innov. 2016, 5, 233–249. [Google Scholar] [CrossRef]
- Tutak, M.; Brodny, J. Predicting Methane Concentration in Longwall Regions Using Artificial Neural Networks. Int. J. Environ. Res. Public Health 2019, 16, 1406. [Google Scholar] [CrossRef] [PubMed]
- Azapagic, A. Developing a framework for sustainable development indicators for the mining and minerals industry. J. Clean. Prod. 2004, 12, 639–662. [Google Scholar] [CrossRef]
- Moran, C.J.; Lodhia, S.; Kunz, N.C.; Huisingh, D. Sustainability in mining, minerals and energy: New processes, pathways and human interactions for a cautiously optimistic future. J. Clean. Prod. 2014, 84, 1–15. [Google Scholar] [CrossRef]
- Galos, K. Surowce kluczowe, strategiczne i krytyczne. Polityka Surowcowa 2019, 4, 4–7. [Google Scholar]
- Communication from the Commission to the European Parliament, the Council, the European Economic and Social Committee and the Committee of the Regions on the Review of the List of Critical Raw Materials for the EU and the Implementation of the Raw Materials Initiative. Available online: https://eur-lex.europa.eu/legal-content/EN/TXT/?uri=CELEX%3A52014DC0297 (accessed on 2 April 2020).
- Rohstoffstrategie der Bundesregierung. Available online: https://www.bmwi.de/Redaktion/DE/Downloads/P-R/rohstoffstrategie-der-bundesregierung.pdf?__blob=publicationFile&v=6 (accessed on 2 April 2020).
- Finland’s Minerals Strategy. Available online: http://projects.gtk.fi/export/sites/projects/mineraalistrategia/documents/FinlandsMineralsStrategy_2.pdf (accessed on 2 April 2020).
- The Austrian Minerals Plan (AMRP). Available online: https://www.interregeurope.eu/policylearning/good-practices/item/1670/the-austrian-minerals-plan-amrp/ (accessed on 2 April 2020).
- Minerals Policy Country Profile. Available online: https://www.min-guide.eu/sites/default/files/project_result/Minerals_Policy_Country_Profile_PT.pdf (accessed on 2 April 2020).
- National Policy for the Strategic Planning and Exploitation of Mineral Resources. Available online: https://www.min-guide.eu/mineral-policy/national-policy-strategic-planning-and-exploitation-mineral-resources-1441 (accessed on 2 April 2020).
- Antosz, A.; Syrek, H. Emisje gazów cieplarnianych w procesach wydobycia i transportu ropy naftowej. Nafta-Gaz 2012, 4, 233–240. [Google Scholar]
- Backhaus, C.; Mroz, A.; Willenbrink, B. Coal mine gas from abandoned mines. In Proceedings of the IV European Coal Conference, Ustroń, Poland, 26–28 September 2002; Polish Geological Institute Special Papers. Volume 7, pp. 33–40. [Google Scholar]
- Ferndez-Caliani, J.C.; Rosa, J.D.; Sanchez de la Campa, S.M.; Gonzalez-Castanedo, Y.; Castillo, S. Mineralogy of atmospheric dust impacting the Rio Tinto mining area (Spain) during episodes of high metal deposition. Mineral. Mag. 2013, 77, 2793–2810. [Google Scholar] [CrossRef]
- Ehrlich, C.; Noll, G.; Wusterhausen, E.; Kalkoff, W.-D.; Remus, R.; Lehmann, C. Respirable Crystalline Silica (RCS) emissions from industrial plants—Results from measurement programmes in Germany. Atmos. Environ. 2013, 68, 278–285. [Google Scholar] [CrossRef]
© 2020 by the authors. Licensee MDPI, Basel, Switzerland. This article is an open access article distributed under the terms and conditions of the Creative Commons Attribution (CC BY) license (http://creativecommons.org/licenses/by/4.0/).








