Experiments on Heat Transfer of Supercritical Pressure Kerosene in Mini Tube under Ultra-High Heat Fluxes
Abstract
1. Introduction
2. Experimental Descriptions
2.1. Test Facility and Test Section
2.2. Parameter Measurement
2.3. Experimental Procedure
2.4. Data Reduction
3. Results and Discussion
3.1. Thermo-Physical Properties of Kerosene at Supercritical Pressure
3.2. Heat Transfer Characteristics of the Tested Supercritical-Pressure Kerosene
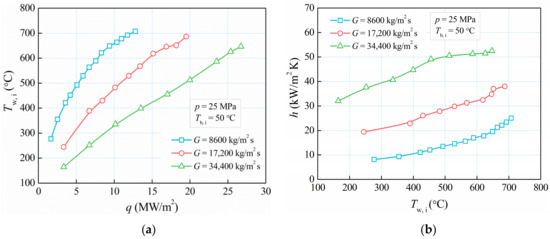
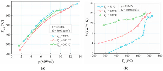
3.3. Parameter Effects on Heat Transfer of Supercritical-Pressure Kerosene
3.4. Comparisons of Experimental Data with Existing Heat Transfer Correlations
4. Conclusions
- The effects of the main parameters (including pressure, mass flux, and inlet bulk temperature) on the heat transfer of supercritical-pressure kerosene have been obtained. The heat transfer of kerosene performs better at higher mass flux and inlet bulk temperature, but is little affected by pressure.
- The heat transfer of supercritical-pressure kerosene is divided into a normal heat transfer region and an enhanced heat transfer region. Heat transfer enhancement occurs when the wall temperature exceeds a certain value, which is considered to be attributed to pseudo boiling. In addition, pseudo boiling plays a more notable role under conditions of high heat flux and low mass flux.
- The heat transfer data of supercritical-pressure kerosene are compared with several empirical correlations. Among these correlations, the Hu et al. correlation can predict the experimental data relatively well.
- For future studies, the mechanism of pseudo boiling needs to be further explored. In addition, it is necessary to obtain more heat transfer data for supercritical-pressure kerosene in order to establish a heat transfer correlation with higher accuracy.
Author Contributions
Funding
Conflicts of Interest
Nomenclature
| cp | specific heat (J/kg K) |
| di | inner diameter (m) |
| G | mass flux (kg/m2 s) |
| h | heat transfer coefficient (W/m2 K) |
| I | current (A) |
| L | length (m) |
| m | mass flow (kg/s) |
| p | pressure (MPa) |
| q | heat flux (W/m2) |
| Tb | bulk temperature (°C) |
| Tw, i | inner wall temperature (°C) |
| Tw, o | outer wall temperature (°C) |
| Nucal | calculated Nusselt number (dimensionless) |
| Nuexp | experimental Nusselt number (dimensionless) |
| Pr | Prandtl number (dimensionless) |
| Re | Reynolds number (dimensionless) |
| Qloss | heat loss (W) |
| U | voltage (V) |
| η | thermal efficiency (%) |
| λ | thermal conductivity (W/m K) |
| μ | dynamic viscosity (kg/m s) |
| ρ | density (kg/m3) |
References
- Ehsan, M.M.; Guan, Z.; Klimenko, A.Y. A comprehensive review on heat transfer and pressure drop characteristics and correlations with supercritical CO2 under heating and cooling applications. Renew. Sustain. Energy Rev. 2018, 92, 658–675. [Google Scholar] [CrossRef]
- Koç, Y.; Yağlı, H.; Koç, A. Exergy analysis and performance improvement of a subcritical/supercritical Organic Rankine Cycle (ORC) for exhaust gas waste heat recovery in a biogas fuelled Combined Heat and Power (CHP) engine through the use of regeneration. Energies 2019, 12, 575. [Google Scholar] [CrossRef]
- Lazova, M.; Huisseune, H.; Kaya, A.; Lecompte, S.; Kosmadakis, G.; De Paepe, M. Performance evaluation of a helical coil heat exchanger working under supercritical conditions in a solar Organic Rankine Cycle installation. Energies 2016, 9, 432. [Google Scholar] [CrossRef]
- Zhu, Y.; Peng, W.; Xu, R.; Jiang, P. Review on active thermal protection and its heat transfer for airbreathing hypersonic vehicles. Chin. J. Aeronaut. 2018, 31, 1929–1953. [Google Scholar] [CrossRef]
- Yan, J.; Liu, Z.; Bi, Q.; Guo, Y.; Yang, Z. Heat transfer of hydrocarbon fuel under steady states and pressure-transient states. J. Propuls. Power 2016, 32, 38–45. [Google Scholar] [CrossRef]
- Edwards, T. Liquid fuels and propellants for aerospace propulsion: 1903–2003. J. Propuls. Power 2003, 19, 1089–1107. [Google Scholar] [CrossRef]
- Guo, Y.; Bi, Q.; Liu, Z.; Yang, Z.; Jiang, L. Experimental investigation on thermal-hydraulic characteristics of endothermic hydrocarbon fuel in 1mm and 2mm diameter mini-channels. Appl. Therm. Eng. 2017, 122, 420–428. [Google Scholar] [CrossRef]
- Wen, J.; Huang, H.; Fu, Y.; Xu, G.; Zhu, K. Heat transfer performance of aviation kerosene RP-3 flowing in a vertical helical tube at supercritical pressure. Appl. Therm. Eng. 2017, 121, 853–862. [Google Scholar] [CrossRef]
- Sun, X.; Xu, K.; Meng, H.; Zheng, Y. Buoyancy effects on supercritical-pressure conjugate heat transfer of aviation kerosene in horizontal tubes. J. Supercrit. Fluids 2018, 139, 105–113. [Google Scholar] [CrossRef]
- Zhao, W.; Song, Z.; Li, H.; Gu, H.; Tuo, X.; Zheng, Y.; Wang, H. Research on heat transfer characteristics of kerosene at supercritical pressure in circular tubes. Exp. Therm. Fluid Sci. 2018, 96, 507–515. [Google Scholar] [CrossRef]
- Wang, H.; Luo, Y.; Gu, H.; Li, H.; Chen, T.; Chen, J.; Wu, H. Experimental investigation on heat transfer and pressure drop of kerosene at supercritical pressure in square and circular tube with artificial roughness. Exp. Therm. Fluid Sci. 2012, 42, 16–24. [Google Scholar] [CrossRef]
- Huang, D.; Wu, Z.; Sunden, B.; Li, W. A brief review on convection heat transfer of fluids at supercritical pressures in tubes and the recent progress. Appl. Energy 2016, 162, 494–505. [Google Scholar] [CrossRef]
- Yan, J.; Liu, S.; Guo, P.; Bai, C. Experimental investigation on convection heat transfer of supercritical hydrocarbon fuel in a long mini tube. Exp. Therm. Fluid Sci. 2020, 115, 110100. [Google Scholar] [CrossRef]
- Zhu, X.; Du, X.; Li, Q.; Qiu, Q. Study on the effects of system parameters on entropy generation behavior of supercritical water in a hexagon rod bundle. Int. J. Heat Mass Transf. 2018, 117, 669–681. [Google Scholar] [CrossRef]
- Yang, Z.; Shan, Y. Experimental study on the onset of flow instability in small horizontal tubes at supercritical pressures. Appl. Therm. Eng. 2018, 135, 504–511. [Google Scholar] [CrossRef]
- Li, D.X.; Zhang, S.S.; Wang, G.H. Selection of organic Rankine cycle working fluids in the low-temperature waste heat utilization. J. Hydrodyn. 2015, 27, 458–464. [Google Scholar] [CrossRef]
- Suleman, M.; Ramzan, M.; Ahmad, S.; Lu, D.C.; Muhammad, T.; Chung, J.D. A numerical simulation of silver-water nanofluid flow with impacts of newtonian heating and homogeneous-heterogeneous reactions past a nonlinear stretched cylinder. Symmetry 2019, 11, 13. [Google Scholar] [CrossRef]
- Wang, H.; Leung, L.K.H.; Wang, W.; Bi, Q. A review on recent heat transfer studies to supercritical pressure water in channels. Appl. Therm. Eng. 2018, 142, 573–596. [Google Scholar] [CrossRef]
- Du, X.; Lv, Z.; Yu, X.; Cao, M.; Zhou, J.; Ren, Y.; Qiu, Q.; Zhu, X. Heat transfer of supercritical CO2 in vertical round tube: A considerate turbulent Prandtl number modification. Energy 2020, 192, 116612. [Google Scholar] [CrossRef]
- Cabeza, L.F.; de Gracia, A.; Fernández, A.I.; Farid, M.M. Supercritical CO2 as heat transfer fluid: A review. Appl. Therm. Eng. 2017, 125, 799–810. [Google Scholar] [CrossRef]
- Rahman, M.M.; Dongxu, J.; Beni, M.S.; Hei, H.C.; He, W.; Zhao, J. Supercritical water heat transfer for nuclear reactor applications: A review. Ann. Nucl. Energy 2016, 97, 53–65. [Google Scholar] [CrossRef]
- Powell, O.A.; Edwards, J.T.; Norris, R.B.; Numbers, K.E.; Pearce, J.A. Development of hydrocarbon-fueled scramjet engines: The hypersonic technology (hytech) program. J. Propuls. Power 2001, 17, 1170–1176. [Google Scholar] [CrossRef]
- Yang, Z.; Bi, Q.; Liu, Z.; Guo, Y.; Yan, J. Heat transfer to supercritical pressure hydrocarbons flowing in a horizontal short tube. Exp. Therm. Fluid Sci. 2015, 61, 144–152. [Google Scholar] [CrossRef]
- Pan, H.; Bi, Q.; Liu, Z.; Feng, S.; Feng, F. Experimental investigation on thermo-acoustic instability and heat transfer of supercritical endothermic hydrocarbon fuel in a mini tube. Exp. Therm. Fluid Sci. 2018, 97, 109–118. [Google Scholar] [CrossRef]
- Huang, D.; Ruan, B.; Wu, X.; Zhang, W.; Xu, G.; Tao, Z.; Jiang, P.; Ma, L.; Li, W. Experimental study on heat transfer of aviation kerosene in a vertical upward tube at supercritical pressures. Chin. J. Chem. Eng. 2015, 23, 425–434. [Google Scholar] [CrossRef]
- Li, W.; Huang, D.; Xu, G.Q.; Tao, Z.; Wu, Z.; Zhu, H.T. Heat transfer to aviation kerosene flowing upward in smooth tubes at supercritical pressures. Int. J. Heat Mass Transf. 2015, 85, 1084–1094. [Google Scholar] [CrossRef]
- Huang, D.; Li, W. Heat transfer deterioration of aviation kerosene flowing in mini tubes at supercritical pressures. Int. J. Heat Mass Transf. 2017, 111, 266–278. [Google Scholar] [CrossRef]
- Fu, Y.; Huang, H.; Wen, J.; Xu, G.; Zhao, W. Experimental investigation on convective heat transfer of supercritical RP-3 in vertical miniature tubes with various diameters. Int. J. Heat Mass Transf. 2017, 112, 814–824. [Google Scholar] [CrossRef]
- Urbano, A.; Nasuti, F. Conditions for the occurrence of heat transfer deterioration in light hydrocarbons flows. Int. J. Heat Mass Transf. 2013, 65, 599–609. [Google Scholar] [CrossRef]
- Wang, Y.; Li, S.; Dong, M. Numerical study on heat transfer deterioration of supercritical n-decane in horizontal circular tubes. Energies 2014, 7, 1–20. [Google Scholar] [CrossRef]
- Thom, J.R.S.; Walker, W.M.; Fallon, T.A.; Reising, G.F.S. Boiling in subcooled water during flow up heated tubes or annuli. Proc. Inst. Mech. Eng. 1966, 180, 226–246. [Google Scholar]
- Coleman, H.W.; Steele, W.G. Engineering application of experimental uncertainty analysis. AIAA J. 1995, 33, 1888–1896. [Google Scholar] [CrossRef]
- Ackerman, J.W. Pseudoboiling heat transfer to supercritical pressure water in smooth and ribbed tubes. J. Heat Transf. Trans. ASME 1970, 92, 490–498. [Google Scholar] [CrossRef]
- Zhu, B.; Xu, J.; Wu, X.; Xie, J.; Li, M. Supercritical “boiling” number, a new parameter to distinguish two regimes of carbon dioxide heat transfer in tubes. Int. J. Therm. Sci. 2019, 136, 254–266. [Google Scholar] [CrossRef]
- Dittus, F.W.; Boelter, L.M.K. Heat transfer in automobile radiators of the tubular type. Int. Commun. Heat Mass Transf. 1985, 12, 3–22. [Google Scholar] [CrossRef]
- Hess, H.L.; Kunz, H.R. A study of forced convection heat transfer to supercritical hydrogen. J. Heat Transf. 1965, 87, 41–46. [Google Scholar] [CrossRef]
- Hu, Z.; Chen, T.; Luo, Y.; Zheng, J.; Tang, M. Heat transfer characteristics of kerosene at supercritical pressure. J. Xian Jiaotong Univ. 1999, 33, 62–65. [Google Scholar]
- Kang, K.; Chang, S. Experimental study on the heat transfer characteristics during the pressure transients under supercritical pressures. Int. J. Heat Mass Transf. 2009, 52, 4946–4955. [Google Scholar] [CrossRef]










| Parameters | Uncertainties | Units |
|---|---|---|
| Bulk temperature Tb | ±0.5% | °C |
| Heat flux q | ±4.9% | MW/m2 |
| Heat transfer coefficient h | ±7.0% | kW/m2 K |
| Mass flux G | ±0.9% | kg/m2 s |
| Outer wall temperature Tw, o | ±0.4% | °C |
| Pressure p | ±0.2% | MPa |
© 2020 by the authors. Licensee MDPI, Basel, Switzerland. This article is an open access article distributed under the terms and conditions of the Creative Commons Attribution (CC BY) license (http://creativecommons.org/licenses/by/4.0/).
Share and Cite
Yan, J.; Liu, S.; Guo, P.; Bi, Q. Experiments on Heat Transfer of Supercritical Pressure Kerosene in Mini Tube under Ultra-High Heat Fluxes. Energies 2020, 13, 1229. https://doi.org/10.3390/en13051229
Yan J, Liu S, Guo P, Bi Q. Experiments on Heat Transfer of Supercritical Pressure Kerosene in Mini Tube under Ultra-High Heat Fluxes. Energies. 2020; 13(5):1229. https://doi.org/10.3390/en13051229
Chicago/Turabian StyleYan, Jianguo, Shouchun Liu, Pengcheng Guo, and Qincheng Bi. 2020. "Experiments on Heat Transfer of Supercritical Pressure Kerosene in Mini Tube under Ultra-High Heat Fluxes" Energies 13, no. 5: 1229. https://doi.org/10.3390/en13051229
APA StyleYan, J., Liu, S., Guo, P., & Bi, Q. (2020). Experiments on Heat Transfer of Supercritical Pressure Kerosene in Mini Tube under Ultra-High Heat Fluxes. Energies, 13(5), 1229. https://doi.org/10.3390/en13051229
