Abstract
The peak-valley characteristic of electrical load brings high cost in power supply coming from the adjustment of generation to maintain the balance between production and demand. Distributed energy storage system (DESS) technology can deal with the challenge very well. However, the number of devices for DESS is much larger than central energy storage system (CESS), which brings challenges for solving the problem of location selection and capacity allocation with large scale. We formulate the charging/discharging model of DESS and economic analysis. Then, we propose a simulation optimization method to determine the locations to equip with DESSs and the storage capacity of each location. The greedy algorithm with Monte Carlo simulation is applied to solve the location and capacity optimization problem of DESS over a large scale. Compared with the global optimal genetic algorithm, the case study conducted on the load data of a district in Beijing validates the efficiency and superiority of our method.
1. Introduction
The drastic variation in load side during a day poses huge challenges to maintain the supply-demand balance. The variation comes from many factors, such as user behaviors, plug-in electric vehicles, and renewable energy resources [1,2]. The peak-valley characteristics require subsequent adjustment of power output from a generator set, which brings high cost. The cost mainly comes from two aspects. The first part is that the grid is generally installed with excessive capacity of equipment, such as transmission lines and transformers, to cope with the peak load. However, the peak load lasts only for a short time so that the occupation ratio of the equipment is quite low. Additionally, the huge investment of equipment causes high cost. The other one is that the grid lacks effective methods and equipment to maintain system damping performance and stability of the grid [3,4,5]. The adjustment cost of generators is high, and the response speed is slow. The constant adjustment of power output results in the rise of generation cost.
Distributed energy storage system (DESS) is an advanced alternative to address the challenge which can absorb energy during low demand periods and supply energy during high loads [6,7]. The optimal placement selection and capacity allocation are the key problems to solve when configuring DESSs. The capacity allocation problem of DESS is more complex than centralized energy storage. The dimension of the problem is much higher for the greater number of energy storage devices. The location of DESSs and the interaction among various devices need to be considered due to the power flow. The mathematical model of DESS is non-convex and non-linear so that it is difficult to solve the problem effectively by analytic method or search method [8]. The models and methods for capacity allocation of DESSs in different scenarios are studied. The problem of distributed storage capacity allocation is studied to reduce generation cost [9]. It establishes a capacity allocation optimization model of DESSs with investment budget as a constraint and the minimization of generation cost as the objective. However, the effective solution for complex optimization model and capacity allocation is not studied. Miranda I et al. and Carpinelli G et al. studied the integrated planning of DESSs for balancing active power and capacitors for balancing reactive power, established a mathematical model considering various cost factors, and used a genetic algorithm including non-linear optimization to obtain allocation results [10,11]. However, the problem that it is difficult to be implemented in a large-scale system exists because the solution mainly depends on a genetic algorithm which is not efficient enough.
Regarding the capacity configuration under specific applications, in [12] the community energy storage allocation method for peak-shaving and valley filling is studied. Two types of energy storage devices, lead-acid battery and lithium-ion battery, are compared, and the capacity allocation schemes under different price mechanisms are studied. However, the literature focuses on the differences between the two kinds of energy storage, and lacks a complete capacity allocation method for DESSs. The capacity allocation of devices for reactive power compensation is studied in [13,14]. Firstly, the nodes with high sensitivity are selected as the alternative nodes, and the steady-state and transient voltage support effects are calculated, respectively, to obtain the optimal configuration scheme. This optimization process is essentially a traversal search method, and it is still difficult to solve when facing large-scale problems.
The previous works on power systems considering the DESSs mainly focus on the cost-benefit analysis of the application with DESS as an aid for generators or renewable power. This paper studies the location selection and capacity allocation of DESS, especially considering the configuration of DESSs, which bring the large scale of the candidate locations compared with central energy storage system (CESS), so that how to design an effective and efficient method to solve it is the research challenge. In our work, we consider the DESS plays the role of the regulator of electrical load by participating in the peak-shaving. The model is more accurate but also more difficult to solve by incorporating the AC power flow calculation. The method to select the candidate locations with higher power loss sensitivity to install DESS narrows the solution space significantly. A simulation optimization strategy based on greedy algorithm for capacity allocation is proposed to solve the optimization problem. Then, the paper provides the numerical analysis that shows the greedy algorithm can deal with the large scale capacity allocation problem, and the optimality quality of the solution is also compared with the genetic algorithm.
The remainder of the paper is organized as follows. The model of DESS and economic analysis is presented in Section 2. Section 3 introduces the greedy algorithm applied in Monto Carlo simulation method to select the optimal placement and capacity. Then, a case study based on the proposed method using the load data of a district in Beijing in 2013 is conducted in Section 4. The result is also compared with the genetic algorithm to validate its superiority. Finally, Section 5 concludes the paper.
2. Model Formulation
2.1. DESS Model
Given the distribution network consisting of nodes, for an energy storage device, (kW) is the rated power and (kWh) is the storage capacity. is the charging and discharging efficiency, respectively. Additionally, are the upper and lower limits of the state of charge (SOC). is the charging/discharging power of at time t. means DESS absorbs energy from the grid and means DESS supplies power to the grid. DESS also needs to satisfy the following constraints.
(1) Charging/discharging power constraint
Limited by the charging/discharging modular of DESS and the capacity limitation of power conversion system, the value of charging/discharging power needs to be within the upper and lower bounds.
(2) SOC constraint
is the SOC at time t which needs to satisfy
is the time interval between t and t + 1. also satisfies
Equation (3) describes the change of SOC from time t to t + 1 with the DESS charging/discharging by power during . Additionally, is defined in
(3) Periodic constraint
In order to ensure the continuous capability of peak-shaving in one-day circle, all DESSs should have the same SOC at the beginning and end of each day, as shown in
2.2. Economic Analysis
The profit of configuring m DESSs can be written as
is the total profit and are the return of peak-shaving and cost of configuring DESSs. mainly comes from peak-shaving and valley filling and consists of cost from initial investment and operation maintenance.
1. Return from power shifting
In order to encourage the development of DESS technology and reduce the regulation cost of power system, many countries have introduced subsidies for energy storage to participate in power shifting. The amount of subsidies is usually proportional to the reduction of difference between peak and valley load in one day as written in
is the subsidy for unit power of reduction of difference between peak and valley load. are the differences of peak and valley load before and after the configuration of DESSs.
In Equation (8), T is the total intervals of time in one day, and are the total electrical load of N nodes before and after the configuration of DESSs.
2. Cost from configuration, operation, and maintenance
Different DESSs have different initial investment costs, capacity, depth of discharge (DOD), and cycle times. The installation cost of DESS is converted to each charging/discharging process here. With the increasing working time of DESS, the number of remaining cycles decreases gradually. When the number of remaining cycles decreases to a certain value, the DESS will be scrapped. The energy storage economy evaluation and energy storage cost analysis are the key factors affecting the configuration of DESS. The cost per kWh based on the model of the full life-cycle for the energy storage considers the total cost shared by each charging/discharging process and is the commonly applied evaluation index [15]. Thus, the cost analysis in this paper introduces the cost per kWh as the evaluation index. The cost of each charging/discharging process is proportional to the charged/discharged electricity. The total energy volume of DESS can be defined as the charge and discharge capacity in the life cycle. The relationship between and the depth of discharge R and the total cycle number D is satisfied in
where R is represented as
It is found that when DOD is more than 0.2 the total energy volume remains almost constant [16,17]. Generally, the DOD reaches 0.5 in practical implementation. That is to say, the total energy volume can be regarded as a constant simplistically. Therefore, we can describe the charging/discharging cost from configuration by the proportion of consumed electricity of each interval which is written as
where is the initial investment cost of the DESS. In practice, there is difference of the DOD for each charging/discharging cycle so that it is an approximate description of the cost of each interval from the configuration.
The operation cost is mainly from the electricity fees , which is shown in Equation (12). It is assumed that the price of unit electricity is at time t and the price of electricity changes with time.
The maintenance cost of each charging/discharging interval can also be considered as proportional to the charged/discharged electricity during the interval. Additionally, the part of cost can be represented as
where is a constant that comes from practical operation of the DESS. It describes the proportional relation between the total maintenance cost and the capacity of the DESS.
Therefore, for a grid installed with m DESSs, the total cost in one day is
where . The subscript i means the parameter of the i-th DESS.
The total profit from the participation of DESSs in the peak-shaving can be written as the difference of the return and the cost of the DESSs in
3. Simulation-Based Optimization for Capacity Allocation
In this section the simulation-based optimization for location selection and capacity allocation is established. The locations to install DESSs need to be selected and the capacity of each location needs to be allocated, which are both achieved by the simulation. Accordingly, the strategy is divided into two steps. First, the locations with the highest power loss sensitivity (PLS) are selected as the candidate nodes to install DESSs. Second, the capacities of the selected nodes are determined by Monte Carlo simulation. The total capacity is discretized into a lot of small units of storage. The location and charging/discharging time of each unit storage are determined one by one by greedy algorithm to maximize the profit. After each allocation of a unit storage, the electrical load of the according node is updated with the power of the DESS and the process is repeated until all the units are allocated.
When solving the capacity allocation problem with the economic index as an objective, it is necessary to establish a mathematical optimization model to calculate the charging/discharging power and time of DESSs under different schemes of capacity allocation. According to the charging/discharging power, the operating cost and return of DESSs can be obtained, and the optimal benefit can be calculated accordingly.
3.1. Location Selection Based on PLS
We focus on the variation of difference between peak and valley load at transformer outlet when DESSs participate in peak-shaving. The load change of transformer outlet consists of the power of DESSs and the change of network power loss when the DESSs participate in the regulation. Therefore, we can define PLS at a node as the ratio of total change of network power loss and the power change of the node. The PLS of the i-th node is
where is the electrical load change of the i-th node and is the change of total network power loss caused by .
Generally, when the capacity and power of the DESS is given, the DESS installed at the node with higher PLS can play a greater role [18]. When the total electrical load is too high and the DESS needs to discharge to supply electricity, the discharging power of the DESS at the node with higher PLS can reduce more network power loss, that is to say, the decrease of electrical load consisting of the power the DESS supplies and the power loss reduced by it is more so as to reduce the difference between the peak and valley load more. It is the same case when the DESS needs to charge to absorb electricity from the distribution network. Therefore, the DESS installed at such node is more beneficial. Additionally, these nodes are the objective to install with DESSs.
The PLS of each node remains almost unchanged when the power of DESSs varies in a small range. Therefore, the PLS of each node can be obtained according to the topological structure and load parameters. In practice, we can calculate PLS of each node by changing the load parameters slightly and select NE nodes with the highest PLSs from the total N nodes. The number of nodes to install with DESSs is reduced from N to NE. NE is much smaller than N, and this method reduces the dimension of the problem significantly, therefore, the capacity allocation problem of DESS could be solved with higher efficiency.
3.2. Capacity Allocation Based on Monte Carlo Simulation
The goal of capacity allocation of DESSs is to obtain the optimal installation locations and the corresponding configuration capacity of each node. For a distributed network consisting of N nodes, the capacity of each node can be written as , and the according rated power is . If the optimal allocation capacity of DESS of a node is 0, it means that the node is not allocated with DESS. In this paper, the capacity configuration of each node is considered as the decision variable to establish the mathematical model.
The upper limit of rated power of DESS that can be installed at each node in distribution network is usually determined by factors such as grid structure. Given the rated power of each node, the power of all DESSs in one day can be represented as
The element in column t of row i represents the charging/discharging power of DESS installed at node i during the t-th interval.
The load of each node in the distribution network is recorded as PD in different time periods throughout the day. As shown in Equation (18), the data in column t of row i indicates the electrical load of node i during the t-th interval.
The load data in the model is a key factor to be considered in the capacity allocation of DESS, and it is also an important parameter affecting the optimization results. The actual life of DESSs can reach several years. It is necessary to consider the impact of long-term load characteristics, historical and future load forecasting. In this paper, the load parameters were analyzed by Monte Carlo simulation. The parameter was adjusted to get the optimal allocation scheme without noise by taking the average of multiple replications.
Using the long-term method to predict the load, the predictive result of normal distribution is obtained, which can be written as F(x). The method of Monte Carlo simulation is as follows: multiple sets of load data are generated according to distribution function F(x), and select K sets of load data satisfying the confidence level α, written as P1D, P2D, …, PKD. Our goal is to find the optimal capacity allocation scheme with the most benefit under different load data.
3.2.1. Objective and Constraints
As discussed in Section 2, the objective function is shown in Equation (15). The operation of DESSs is restricted by the constraints of energy storage device and periodic constraints. The nodes in the distribution network also need to satisfy the AC power flow equation which is the special constraint for DESSs. The power flow equation describes the relation of active and reactive power among different nodes, which is determined by the physical condition [19]. As shown in
The power flow constraint should be satisfied among the nodes in the grid, where , are the active and reactive power of node , respectively, and is the voltage at node . , , and represent the admittance, susceptance, and the voltage phase difference between node and node . However, problems such as singular matrix and non-convergence occur if the power flow calculation is carried out in the same way as used in main grid for the topology and parameters of the distribution network are different from those of the main grid. Therefore, the calculation is carried out by loop analysis method [20].
In the power flow calculation, the power of each node should also satisfy the upper and lower bounds as in Equation (20). and are the bounds of active and reactive power at node i, respectively.
Active power transmitted on the line is constrained by the transmission power limit of the line as Equation (21) shows, where denotes the active power transmitted on the line linking node i and node j, and is the upper limit of transmitted the active power.
Collectively, the optimization problem can be described as
For a given capacity configuration scheme Ecap, different optimal values based on the capacity allocation optimization model under different load data, P1D, P2D…PKD, exist, denoted as z1, z2, …, zK. In Equation (22), is an intermediate variable. It can be rewritten in Equation (23) with as the decision variable, where zs is the maximum net benefit when the load parameter is PsD and the distribution network is configured with capacity Ecap.
Then the daily average maximum net benefit with Monte Carlo simulation is
That means given different load data, the Ecap is searched to maximize the average net benefit, and during the process the charging/discharging power of DESSs are also determined by the following strategy.
3.2.2. The Capacity Allocation Strategy Based on Greedy Algorithm
In Equation (24), it is necessary to introduce the power of DESSs as intermediate variables. Additionally, the power of DESSs at each time is constrained by SOC, which makes solving Equation (24) pretty difficult [21]. In addition, there is no explicit expression of the power of each node due to the power flow constraints, so Equation (24) cannot be solved by the general non-linear optimization method as well.
This paper introduces a step-by-step solution method based on the greedy algorithm. The core idea is to divide energy storage into many small units. The capacity of each unit can only be charged and discharged once. According to the model in Equation (24), the installation location and charging/discharging time of each unit storage under different loads are determined in turn. The power of unit storage is then regarded as the load at the node, accordingly. Every decision-making process is to solve a simple model. When the installation location and charging/discharging time of all units are determined, the allocation scheme and the corresponding maximum net profit are obtained. The maximum net profit under different total energy storage capacity is solved separately, and the capacity allocation scheme with maximum net profit is the optimal one.
Firstly, the problem is appropriately simplified by the characteristics of DESSs. Peak-shaving requires the synergy of many DESSs, so the influence of power error of a single device on the effect of peak-shaving is acceptable. In power management of a single DESS, a constant power for charging/discharging strategy can be used, and the unit storage at node i can charge and discharge with its rated power as shown in
In Equation (25), indicates that DESS charges; indicates DESS discharges and means the power of DESS is 0. is the rated power of unit storage so that the capacity of unit storage is .
To avoid the rapid decline of life caused by excessive use of DESSs, each DESS is limited to charge/discharge for only one cycle. Additionally, the problem is to determine the charging/discharging time of the unit in one day. According to [20], charging and discharging only occur at the low and peak load when DESSs participate in peak-shaving, so the decision-making process is to determine the optimal discharging time during the peak load period and the optimal charging time during the valley load period.
Combining the above two simplifications, a step-by-step strategy based on the greedy algorithm is proposed. The energy storage is divided into M units and each unit can charge/discharge with rated power during interval . The number of units M is decided by
When calculating the power of each unit, we select the node and charging/discharging time that brings the most net profit according to the load parameter. Taking installation node i, charging time tc, and discharging time td as decision variables, the following Equation (27) shows the objective and constraints [22].
The optimal solution of Equation (27) is the optimal location and charging/discharging time. Then the power of DESSs needs to be updated and added to the load at node i. The decision process is repeated for the next unit based on updated load data until all the capacities are allocated. The framework of Monte Carlo simulation is shown in Figure 1. What is necessary to clarify is that the greedy algorithm cannot assure global optimal solution so that the fragility exists. To validate the quality of the solution of our method, a numerical experiment comparing the results of the greedy algorithm and genetic algorithm is carried out.
Figure 1.
The framework of Monte Carlo simulation based on the greedy algorithm.
4. Case Study
4.1. Simulation Parameters
The electricity price used in the simulation is the price of peak load and valley load in Beijing shown in Table 1.
Table 1.
The price of peak and valley load in Beijing.
The distribution network for testing is the IEEE 33-bus system shown in Figure 2, where all the nodes are under load and the external grid provides active and reactive power through node 0. Here we set NE = 10, which means 10 of the other 32 nodes will be selected to install with DESSs.
Figure 2.
IEEE 33-bus system.
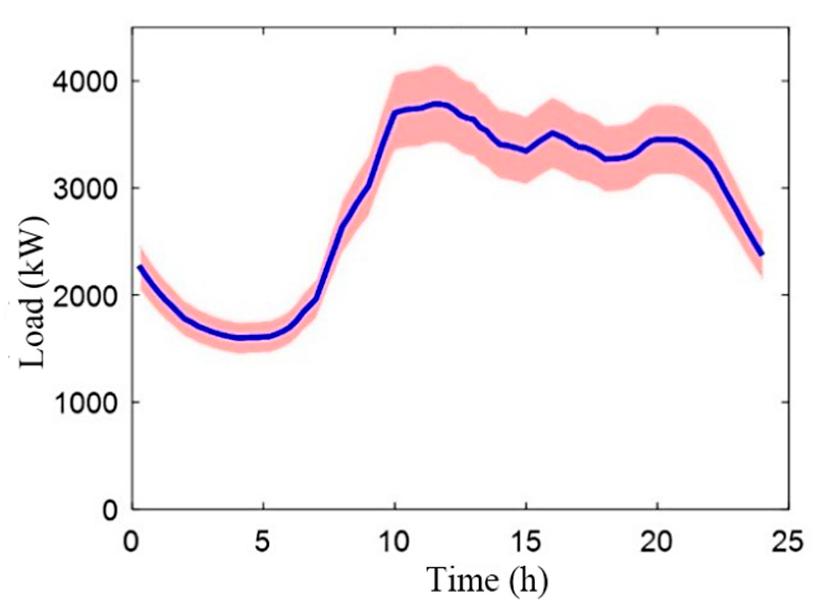
The loads of all the nodes are from real data of a district in Beijing in 2013. The long-term load data satisfies normal distribution. The sample interval is 15 min and the total load in node 0 over long term is shown in Figure 3. The blue line indicates the mean value of the load, and the shaded red part indicates the distribution range of the load. The peak load is about 3.7 MW and the valley is about 1.6 MW. In Monte Carlo simulation, the confidence level of the load data is 0.95.
Figure 3.
The variation of total load.
Other parameters in the simulation, such as charging/discharging efficiency, cost parameters of DESSs, peak-shaving subsidies, upper and lower limits of SOC, and other intermediate variables are shown in Equation (28).
The cost value used here is a generally recognized cost. In addition, the subsidy for peak-shaving is the subsidy standard for Anhui Tianhuangping pumped storage power station. Sensitivity analysis of subsidy parameters was also carried out in subsequent analyses.
We also set up a comparative numerical experiment based on the genetic algorithm that is global optimal to solve the capacity allocation problem, with the purpose to verify our method. Limited by the efficiency of genetic algorithm, only five of the 32 nodes were selected as candidate nodes, just as the settings of the numerical experiment based on our method. The framework of genetic algorithm applied in the numerical experiment is shown in Figure 4. In the method based on genetic algorithm, the decision variable is the power of each candidate nodes. By the charged/discharged electricity the capacity allocation scheme can be calculated.
Figure 4.
The framework of applied genetic algorithm.
4.2. Simulation Result
We calculated the PLSs of each node by simulation in MATLAB R2015b. The loads used here were all the peak values of average load. The PLSs calculated by changing the loads of different nodes are shown in Figure 5. Then we obtained the set of 10 nodes with the highest PLSs to install DESSs Φ = {12–17, 29–32}. Then the simulation was carried out according to above parameters and the result that the net profit varies with the total capacity is shown in Figure 6.
Figure 5.
The power loss sensitivity (PLS) of each node.
Figure 6.
Relationships between total net profit and total energy storage.
As we can see from Figure 6, the net profit increases with the growth of total capacity first. When the total capacity reaches about 720 kWh, further reducing the peak-valley difference requires more DESSs. The cost of energy storage increases rapidly while the income increases slowly, which leads to the decrease of the net profit of DESSs. Therefore, 720 kWh is the optimal total storage capacity. The corresponding allocation of capacity is in Table 2.
Table 2.
The allocation of total capacity (β = 470).
For the capacity allocation scheme in the table above, the effect of peak-shaving is shown in Figure 7 under the load data shown in Figure 3.
Figure 7.
Peak-shaving results in one day.
The maximum daily net profit of the above configuration is about 260 yuan, and the installation and maintenance cost of DESSs is about 720 yuan. The total income, including the subsidies for peak-shaving and the income from price difference of peak and valley load, is 980 yuan. Compared to CESS, assuming that CESS of 720 kWh is installed at node 0 in the IEEE 33-bus distribution system, the total revenue of CESS participating in peak-shaving is about 910 yuan by using the optimization method in [8] under the same condition. With the same cost parameters and total allocation capacity, the total revenue from DESSs increases about 7.69% compared with CESS.
When the scale of selected nodes is reduced from 10 to 5, the set of selected nodes are Φ = {15–17,31,32} and the total storage capacity is 600 kWh. The allocation scheme of capacity based on the greedy algorithm and genetic algorithm is shown in Table 3 and Table 4. The genetic algorithm can lead to an optimal solution generally. The net benefit from the DESSs participating in the peak-shaving is about 198 yuan when the greedy algorithm is used and 202 yuan when the genetic algorithm is used.
Table 3.
The scheme of capacity allocation based on greedy algorithm.
Table 4.
The scheme of capacity allocation based on genetic algorithm.
From the results it can be found that the net benefits based on the two algorithms are almost the same. Generally, the genetic algorithm can converge to an optimal solution so it shows that the method based on the greedy algorithm can also derive a relatively effective solution. From Table 3 and Table 4 it can also be found that the capacity allocation schemes based on the two algorithms are consistent, which shows the optimality and effectiveness of the method based on the greedy algorithm. Furthermore, the problem of large scale can also be solved by the greedy algorithm, indicating the superiority of our method.
4.3. Parameters Analysis
The subsidy for peak-shaving, cost of DESS, and the allocation scheme are all important factors affecting the revenue of peak-shaving. In practice, they are also key factors to determine whether the DESS can be implemented. In this part, the parameter analysis of above variables is introduced.
4.3.1. Subsidy for Peak-Shaving
The above simulation is carried out with the subsidy β = 470. If the subsidy for peak-shaving is 100 and 700 yuan/kW per year, the corresponding results are shown in Figure 8.
Figure 8.
(a) Relationships between total net profit and total storage capacity when β = 100; (b) relationships between total net profit and total storage capacity when β = 700.
When β = 100, no matter how many capacities are configurated, the net profit is negative. That is to say, the investment is in loss. At this time, the best configuration scheme is not to allocate any DESS. Due to the high cost, peak-valley price difference cannot cover its investment cost, and the greater the capacity allocation of DESS, the more losses. That means the DESSs participating in peak-shaving is hardly feasible under the current cost and proper subsidy is needed for implementation. When β = 700, the total profit is increasing with the growth of total capacity. That indicates the revenue of DESSs is always higher than the cost owing to the high subsidy. The best scheme is to configure as many DESSs as possible to reduce the peak-valley difference of load. At this time, the DESSs conversion efficiency will bring great energy loss and the existing regulation capacity of the power system does not play a role.
4.3.2. Load Distribution in the Distribution Network
One advantage of configuring DESSs is that it can reflect the distribution of load and meet the adjustment requirements of active power in a more refined structure. The optimal scheme of capacity allocation in the above simulation is based on the load curve in Figure 3. Now the load parameters were changed to be beyond the confidence interval by reducing 20% of the loads at nodes 12–18 and increasing 20% of loads at nodes 29–32. The simulation was repeated and the following scheme in Table 5 was obtained.
Table 5.
The scheme of capacity allocation after adjusting parameters.
The optimal total capacity of DESSs is 780 kWh. Compared with the configuration scheme in Table 3, the total capacity increases by 60 kWh. The increased capacity is mainly configurated at nodes 31 and 32, which are exactly the nodes with increased load. This reflects the advantage of the DESSs whose installation location is close to the load center. The energy storage power can balance the heavy load of these nodes and improve the power flow distribution in the distribution network from the load side.
5. Conclusions
This paper focuses on the DESSs participating in peaking shaving of grid load to reduce the cost of frequency regulation. The simulation based on the greedy algorithm was proposed to search for the optimal location to install DESSs and optimal capacity allocation scheme. Though the fragility that the greedy algorithm cannot assure global optimal solution exists, the case study compares the performance of the genetic algorithm and our method, which indicates the effectiveness and efficiency of our method. We analyzed the parameter of subsidy and load distribution. Then, we obtained the conclusion that the DESS is hard to put into operation without enough subsidy under current cost and the implementation longs for further decline of cost. In addition, the load distribution determines the location and capacity allocation scheme by attracting more capacity at the nodes with high loads to improve the power flow. In the future, more works about how to determine the total nodes to install DESSs and how to control the charging/discharging of DESSs are still in demand. Additionally, the global optimization method with assured efficiency and effectiveness is one important direction for solving the capacity allocation problem of large scale.
Author Contributions
In this paper, R.J. proposed the simulation optimization method based on greedy algorithm, wrote and revised the paper. J.S. supervised the investigation, reviewed and edited the paper. J.L. contributed the numerical experiment to compare the results of our method and genetic algorithm. W.L. proposed the models of DESS and cost analysis. C.L. supervised the investigation and edited the paper. All authors have read and agreed to the published version of the manuscript.
Funding
This work is supported by National Natural Science Foundation of China under Grant U1766214 and Grant 51677097.
Conflicts of Interest
The authors declare no conflict of interest.
References
- Liang, H.; Liu, Y.; Li, F.; Shen, Y. Dynamic Economic/Emission Dispatch Including PEVs for Peak Shaving and Valley Filling. IEEE Trans. Ind. Electron. 2019, 66, 2880–2890. [Google Scholar] [CrossRef]
- Mahmud, K.; Sahoo, A. Multistage energy management system using autoregressive moving average and artificial neural network for day-ahead peak shaving. Electron. Lett. 2019, 55, 853–855. [Google Scholar] [CrossRef]
- Celli, G.; Pegoraro, P.A.; Pilo, F.; Pisano, G.; Sulis, S. DMS cyber-physical simulation for assessing the impact of state estimation and communication media in smart grid operation. IEEE Trans. Power Syst. 2014, 29, 2436–2446. [Google Scholar] [CrossRef]
- He, J.; Lu, C.; Jin, X.; Li, P. Analysis of time delay effects on wide area damping control. In Proceedings of the APCCAS 2008—2008 IEEE Asia Pacific Conference on Circuits and Systems, Macao, China, 30 November–3 December 2008; IEEE: Piscataway, NJ, USA, 2008; pp. 758–761. [Google Scholar]
- Zhao, Y.; Yuan, Z.; Lu, C.; Zhang, G.; Li, X.; Chen, Y. Improved model-free adaptive wide-area coordination damping controller for multiple-input–multiple-output power systems. IET Gener. Transm. Distrib. 2016, 10, 3264–3275. [Google Scholar] [CrossRef]
- Uddin, M.; Romlie, M.F.; Abdullah, M.F.; Halim, S.A.; Kwang, T.C. A review on peak load shaving strategies. Renew. Sustain. Energy Rev. 2017, 82, 3323–3332. [Google Scholar] [CrossRef]
- Sant’Ana, W.C.; Gonzatti, R.B.; Lambert-Torres, G.; Bonaldi, E.L.; Torres, B.S.; de Oliveira, P.A.; Pereira, R.R.; Borges-da-Silva, L.E.; Mollica, D.; Santana Filho, J. Development and 24 Hour Behavior Analysis of a Peak-Shaving Equipment with Battery Storage. Energies 2019, 12, 2056. [Google Scholar] [CrossRef]
- Cintuglu, M.H.; Martin, H.; Mohammed, O.A. Real-time implementation of multiagent-based game theory reverse auction model for microgrid market operation. IEEE Trans. Smart Grid 2015, 6, 1064–1072. [Google Scholar] [CrossRef]
- Thrampoulidis, C.; Bose, S.; Hassibi, B. Optimal placement of distributed energy storage in power networks. IEEE Trans. Autom. Control 2016, 61, 416–429. [Google Scholar] [CrossRef]
- Miranda, I.; Leite, H.; Silva, N. Coordination of multifunctional distributed energy storage systems in distribution networks. IET Gener. Transm. Distrib. 2015, 10, 726–735. [Google Scholar] [CrossRef]
- Carpinelli, G.; Celli, G.; Mocci, S. Optimal integration of distributed energy storage devices in smart grids. IEEE Trans. Smart Grid 2013, 4, 985–995. [Google Scholar] [CrossRef]
- Parra, D.; Norman, S.A.; Wailer, G.S. Optimum community energy storage system for demand load shifting. Appl. Energy 2016, 174, 130–143. [Google Scholar] [CrossRef]
- Rao, H.; Xu, S.; Zhao, Y.; Hong, C.; Wei, W.; Li, X.; Zhang, J.; Song, Q. Research and application of multiple STATCOMs to improve the stability of AC/DC power systems in China Southern Grid. IET Gener. Transm. Distrib. 2016, 10, 3111–3118. [Google Scholar] [CrossRef]
- Xu, Y.; Dong, Z.Y.; Meng, K.; Yao, W.F.; Zhang, R.; Wong, K.P. Multi-Objective Dynamic VAR Planning Against Short-Term Voltage Instability Using a Decomposition-Based Evolutionary Algorithm. IEEE Trans. Power Syst. 2014, 29, 2813–2822. [Google Scholar] [CrossRef]
- Poonpun, P.; Jewell, W.T. Analysis of the Cost per Kilowatt Hour to Store Electricity. IEEE Trans. Energy Convers. 2008, 23, 529–534. [Google Scholar] [CrossRef]
- Schoenung, S.; Hassenzahl, W. Long- vs. Short-Term Energy Storage Technologies Analysis: A Life-Cycle Cost Study; Sandia National Laboratories: Albuquerque, NM, USA; Livermore, CA, USA, 2003. [Google Scholar]
- Vrettos, E.I.; Papathanassiou, S.A. Operating policy and optimal sizing of a high penetration res-bess system for small isolated grids. IEEE Trans. Energy Convers. 2011, 26, 744–756. [Google Scholar] [CrossRef]
- Li, W.; Lu, C.; Pan, X.; Song, J. Optimal Placement and Capacity Allocation of Distributed Energy Storage Devices in Distribution Networks. In Proceedings of the 2017 13th IEEE Conference on Automation Science and Engineering (CASE), Xi’an, China, 20–23 August 2017; pp. 1403–1407. [Google Scholar]
- Tinney, W.F.; Hart, C.E. Power Flow Solution by Newton’s Method. IEEE Trans. Power Appar. Syst. 1967, 1449–1460. [Google Scholar] [CrossRef]
- Wu, W.C.; Zhang, B.M. A Three-Phase Power Flow Algorithm for Distribution System Power Flow Based on Loop analysis Method. Int. J. Electr. Power Energy Syst. 2008, 30, 8–15. [Google Scholar] [CrossRef]
- Li, Z.; Guo, Q.; Sun, H.; Wang, J. Storage-like devices in load leveling: Complementarity constraints and a new and exact relaxation method. Appl. Energy 2015, 151, 13–22. [Google Scholar] [CrossRef]
- Chacra, F.A.; Bastard, P.; Fleury, G.; Clavreul, R. Impact of energy storage costs on economical performance in a distribution substation. IEEE Trans. Power Syst. 2005, 20, 684–691. [Google Scholar] [CrossRef]
© 2020 by the authors. Licensee MDPI, Basel, Switzerland. This article is an open access article distributed under the terms and conditions of the Creative Commons Attribution (CC BY) license (http://creativecommons.org/licenses/by/4.0/).







