Effect of Water Distribution on Spontaneous Imbibition of Tight Rocks: A Fractal Approach
Abstract
1. Introduction
- (1)
- The pore space is assumed to be a series of capillary bundles with different dimensions, which obey the statistical fractal theory. The diameter along the flow path is constant.
- (2)
- The spontaneous imbibition is driven by the capillary force, and the effect of other mechanisms (water adsorption, osmotic effect and electric double layer, etc.) are ignored.
- (3)
- The variation of interfacial tension and the variation of wettability are ignored.
2. Mathematical Modeling
2.1. Fractal Scaling Laws of Porous Media
2.2. Water Saturation in Fractal Porous Media
2.3. Spontaneous Imbibition in Fractal Tight Porous Media
3. Experiments
3.1. Sample Description
3.2. Displacement Experiments
- (1)
- Samples were cleaned using the solution immersion method. The solvent is a mixture of methylene chloride and ethyl alcohol (3:1) and we kept the core immersed in the solvent for seven days.
- (2)
- Then, the clean samples were dried at a temperature of 105 °C. The weight of each sample (Wdry) was measured with a precise electronic balance. When there was no further mass change for two consecutive measurements, the dry samples were obtained.
- (3)
- Samples are placed in a vacuum for 4 h and then saturated with distilled water.
- (4)
- The sample was put into the core holder and distilled water was driven through the sample to ensure that the samples were fully saturated. Then, the weight of the saturated samples (Wsat) was measured. The difference between Wsat and Wdry was used to estimate the pore volume (PV), and the results showed that the PV of Sample S1 and S2 were 1.065 cm3 and 1.070 cm3.
- (5)
- The water was displaced with gas under a small pressure difference. If there was no bubble, the pressure difference was enhanced. The pressure and the liquid production were recorded until the core reached the stable state. Then, the weight of the wet sample (Wwet) was measured.
- (6)
- The water saturation of the sample was calculated by the following expression:
3.3. Spontaneous Imbibition Experiments
- (1)
- Firstly, the spontaneous imbibition experiments of dry samples were conducted. Before the experiments were performed, the samples were dried at the temperature of 105 °C until no further mass change occured.
- (2)
- The electronic balance was placed in a constant temperature chamber, in which the temperature was kept at 298 K;
- (3)
- The sample was suspended by nonelastic and impermeable string. Once the sample contacts the surface of the distilled water, the mass of imbibed water was recorded in time by the electronic balance (JJ632BC) with an accuracy of 0.0001 g and a range from 0 to 620 g.
- (4)
- The imbibition experiments were over if the mass of imbibed water remained constant within two hours.
- (5)
- After the experiments, the displacement process following the procedure in Section 3.2 is conducted to prepare the samples with different water saturation. Then, steps (2) through steps (5) were repeated.
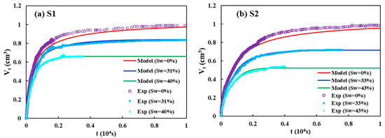
4. Model Verification and Discussion
4.1. Model Verification
4.1.1. Validation of Fractal Water Saturation Model
4.1.2. Validation of Spontaneous Imbibition Model
4.2. Imbibition Characteristic of Unsaturated Tight Porous Media
4.2.1. Effect of Water Saturation on Equilibrium Time
4.2.2. Effect of Water Saturation on the Imbibition Rate at the Initial Stage
4.3. Limitations and Expectations
- (1)
- In our work, a series of circular pores without connection are assumed to represent the pore structure because of the poor pore connectivity of tight porous media. However, pore geometries vary along the flow direction, which may alter the observed classical L-W theory considerably [33]. These features may be further considered to improve the accuracy of our model.
- (2)
- The pores in tight porous media are on the nanoscale, and the surface effects play an important role for the transport phenomenon [34]. Most remarkably, the surface force and fluid layering effects result in higher flow resistance compared with the bulk water [35], which implies that more time is needed to reach the imbibition equilibrium or that some smaller micropores cannot be invaded by the external fluid.
- (3)
- The difference between the experimental conditions and the reservoir environment are worth noting. Our experiments were conducted in an atmospheric environment. The high temperature and pressure under geological conditions may result in a deviation if we evaluate the spontaneous imbibition characteristics in actual reservoirs, based on the traditional experiments and models. All imbibition parameters, such as interfacial tension, wettability and fluid properties are temperature- and pressure-dependent parameters [36,37]. Our future work could add these effects to capture the reservoir imbibition characteristics more accurately. Based on the issues mentioned above, combining the surface area of the fracture network predicted with micro-seismic detection, we can upscale the results of porous media to the applications on the field scale.
5. Conclusions
- (1)
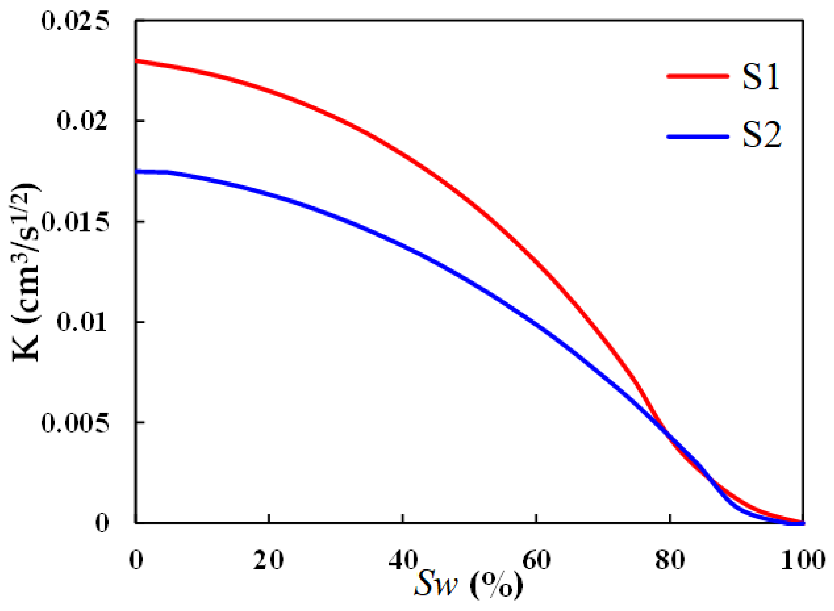
- The proposed fractal model with consideration of the water distribution is valid for characterizing the water saturation of tight rocks. Both the displacement pressure and pore structure influence water saturation. For a small differential pressure, the porous media with a richer collection of large pores usually possesses a lower water saturation, and this difference will decrease with the increase of differential pressure. For our samples, when the displacement pressure reaches 5 Mpa, the water saturation is equal because most of the water-saturated pores have been displaced.
- (2)
- The equilibrium time of unsaturated samples is controlled by the minimum effective pore radius. As the minimum effective pore radius decreases, the equilibrium time will increase. With the increase of water saturation, the smaller pores will be preferentially filled with water; the equilibrium time is more sensitive in the case of low water saturation.
- (3)
- The imbibition rate at the initial stage is mainly controlled by the large pores in tight porous media. A rich set of large pores results in a high initial imbibition rate. Due to the effect of water distribution characteristics, the initial imbibition rate will decrease with an increase of initial water saturation and will be more sensitive for a middle-high water saturation.
Author Contributions
Funding
Acknowledgments
Conflicts of Interest
References
- Ren, W.; Li, G.; Tian, S.; Sheng, M.; Geng, L. Analytical modelling of hysteretic constitutive relations governing spontaneous imbibition of fracturing fluid in shale. J. Nat. Gas Sci. Eng. 2016, 34, 925–933. [Google Scholar] [CrossRef]
- Taherdangkoo, R.; Tatomir, A.; Anighoro, T.; Sauter, M. Modeling fate and transport of hydraulic fracturing fluid in the presence of abandoned wells. J. Contam. Hydrol. 2019, 221, 58–68. [Google Scholar] [CrossRef] [PubMed]
- Yang, L.; Ge, H.k.; Shi, X.; Cheng, Y.F.; Zhang, K.H.; Chen, H.; Shen, Y.H.; Zhang, J.J.; Qu, X.M. The effect of microstructure and rock mineralogy on water imbibition characteristics in tight reservoirs. J. Nat. Gas Sci. Eng. 2016, 34, 1461–1471. [Google Scholar] [CrossRef]
- Dutta, R.; Lee, C.-H.; Odumabo, S.; Ye, P.; Walker, S.C.; Karpyn, Z.T.; Ayala, L.F. Experimental investigation of fracturing-fluid migration due to spontaneous imbibition in fractured low-permeability sands. SPE Reserv. Eval. Eng. 2014, 17, 74–81. [Google Scholar] [CrossRef]
- Feng, D.; Li, X.F.; Wang, X.Z.; Li, J.; Sun, F.R.; Sun, Z.; Zhang, T.; Li, P.H.; Chen, Y.; Zhang, X. Water adsorption and its impact on the pore structure characteristics of shale clay. Appl. Clay Sci. 2018, 155, 126–138. [Google Scholar] [CrossRef]
- Li, J.; Li, X.; Wang, X.; Li, Y.; Wu, K.; Shi, J.; Yang, L.; Feng, D.; Zhang, T.; Yu, P. Water distribution characteristic and effect on methane adsorption capacity in shale clay. Int. J. Coal Geol. 2016, 159, 135–154. [Google Scholar] [CrossRef]
- Lucas, R. Rate of capillary ascension of liquids. Kolloid Z. 1918, 23, 15–22. [Google Scholar] [CrossRef]
- Washburn, E.W. The dynamics of capillary flow. Phys. Rev. 1921, 17, 273–283. [Google Scholar] [CrossRef]
- Zhmud, B.V.; Tiberg, F.; Hallstensson, K. Dynamics of capillary rise. J. Colloid Interface Sci. 2000, 228, 263–269. [Google Scholar] [CrossRef]
- Taherdangkoo, R.; Tatomir, A.; Taylor, R.; Sauter, M. Numerical investigations of upward migration of fracking fluid along a fault zone during and after stimulation. Energy Procedia 2017, 125, 126–135. [Google Scholar] [CrossRef]
- Handy, L.L. Determination of effective capillary pressures for porous media from imbibition data. Pet. Trans. AIME 1960, 219, 75–80. [Google Scholar] [CrossRef]
- Li, K.; Horne, R.N. Characterization of Spontaneous Water Imbibition into Gas-Saturated Rocks. SPE J. 2001, 6, 375–384. [Google Scholar] [CrossRef]
- Schembre, J.M.; Akin, S.; Castanier, L.M.; Kovscek, A.R. Spontaneous water imbibition into diatomite. In Proceedings of the SPE Western Regional Meeting (SPE 54590), Bakersfield, CA, USA, 10–13 May 1998. [Google Scholar]
- Akin, S.; Kovscek, A.R. Imbibition studies of low-permeability porous media. In Proceedings of the SPE Western Regional Meeting, Anchorage, Alaska, 26–27 May 1999. [Google Scholar]
- Song, Y.Q.; Ryu, S.; Sen, P.N. Determining multiple length scales in rocks. Nature 2000, 406, 178. [Google Scholar] [CrossRef]
- Gruener, S.; Sadjadi, Z.; Hermes, H.E.; Kityk, A.V.; Knorr, K.; Egelhaaf, S.U.; Rieger, H.; Huber, P. Anomalous front broadening during spontaneous imbibition in a matrix with elongated pores. Proc. Nat. Acad. Sci. USA 2012, 109, 10245–10250. [Google Scholar] [CrossRef] [PubMed]
- Mandelbrot, B.B. The Fractal Geometry of Nature; Freeman: San Francisco, CA, USA, 1982. [Google Scholar]
- Li, K.; Zhao, H. Fractal prediction model of spontaneous imbibition rate. Transp. Porous Media 2012, 91, 363–376. [Google Scholar] [CrossRef]
- Cai, J.C.; Yu, B.M.; Zou, M.Q.; Luo, L. Fractal characterization of spontaneous co-current imbibition in Porous Media. Energy Fuels 2010, 24, 1860–1867. [Google Scholar] [CrossRef]
- Shi, Y.; Yassin, M.R.; Dehghanpour, H. A modified model for spontaneous imbibition of wetting phase into fractal porous media. Colloids Surf. A: Physicochem. Eng. Asp. 2017, 543, 64–75. [Google Scholar] [CrossRef]
- Yu, B.M.; Li, J.H. Some fractal characters of porous media. Fractals 2001, 9, 365–372. [Google Scholar] [CrossRef]
- Yu, B.M.; Cheng, P. A fractal permeability model for bi-dispersed porous media. Int. J. Heat. Mass Transf. 2002, 45, 2983–2993. [Google Scholar] [CrossRef]
- Derjaguin, B.V.; Churaev, N.V.; Muller, V.M. Disjoining Pressure Surface Forces; Consultants Bureau: New York, NY, USA, 1987; pp. 25–52. [Google Scholar]
- Feng, D.; Wu, K.; Wang, X.; Li, J.; Li, X. Modeling the confined fluid flow in micronanoporous media under geological temperature and pressure. Int. J. Heat Mass Transf. 2019, 145, 118758. [Google Scholar] [CrossRef]
- Sun, Z.; Li, X.; Shi, J.; Zhang, T.; Sun, F. Apparent permeability model for real gas transport through shale gas reservoirs considering water distribution characteristic. Int. J. Heat Mass Transf. 2017, 115, 1008–1019. [Google Scholar] [CrossRef]
- Tuller, M.; Or, D.; Dudley, L.M. Adsorption and capillary condensation in porous media: Liquid retention and interfacial configurations in angular pores. Water Resour. Res. 1999, 35, 1949–1964. [Google Scholar] [CrossRef]
- Li, J.; Chen, Z.; Wu, K.; Li, R.; Xu, J.Z.; Liu, Q.D.; Qu, S.Y.; Li, X.F. Effect of water saturation on gas slippage in tight rocks. Fuel 2018, 225, 519–532. [Google Scholar] [CrossRef]
- Gee, M.L.; Healy, T.W.; White, L.R. Hydrophobicity effects in the condensation of water films on quartz. J. Colloid Interface Sci. 1990, 140, 450–465. [Google Scholar] [CrossRef]
- Zhao, M.H.; Liu, X.P.; Peng, W.X. Application of aqueous film theory to study of unsaturated soil’s suction. Rock Soil Mech. 2007, 28, 1323–1327. [Google Scholar]
- Chen, X.J.; Yao, G.Q. An improved model for permeability estimation in low permeable porous media based on fractal geometry and modified Hagen-Poiseuille flow. Fuel 2017, 210, 748–757. [Google Scholar] [CrossRef]
- Wu, K.; Chen, Z.; Li, J.; Xu, J.Z.; Wang, K. Manipulating nanoconfined water fluidity by temperature stimulation. Angew. Chem. Int. Ed. Engl. 2018, 57, 8432–8437. [Google Scholar] [CrossRef]
- Serena, C.; Matthew, K.; Borg, Y.M.; John, C.; Davide, M. Surface-Controlled Water Flow in Nanotube Membranes. Appl. Mater. Interfaces 2019, 11, 1689–1698. [Google Scholar]
- Gorce, J.B.; Hewitt, I.J.; Vella, D. Capillary imbibition into converging tubes: Beating washburn’s law and the optimal imbibition of liquids. Langmuir 2016, 32, 1560–1567. [Google Scholar] [CrossRef]
- Feng, D.; Li, X.F.; Wang, X.Z.; Li, J.; Zhang, X. Capillary filling under nanoconfinement: The relationship between effective viscosity and water-wall interactions. Int. J. Heat Mass Transf. 2018, 118, 900–910. [Google Scholar] [CrossRef]
- Feng, D.; Li, X.F.; Wang, X.Z.; Li, J.; Zhang, T.; Sun, Z.; He, M.X.; Liu, Q.; Qin, J.Z.; Han, S. Capillary filling of confined water in nanopores: Coupling the increased viscosity and slippage. Chem. Eng. Sci. 2018, 186, 228–239. [Google Scholar] [CrossRef]
- Zhou, Y.; Hatzignatiou, D.; Helland, J. On the estimation of CO2, capillary entry pressure: Implications on geological CO2 storage. Int. J. Greenh. Gas Control 2017, 63, 26−36. [Google Scholar] [CrossRef]
- Pereira, L.; Chapoy, A.; Burgass, R.; Tohidi, B. Interfacial tension of CO2+brine systems: Experiments and predictive modelling. Adv. Water Resour. 2017, 103, 64−75. [Google Scholar] [CrossRef]












| Sample | Length (cm) | Diameter (cm) | Porosity (%) | Permeability (mD) | rmax (μm) | rmin (μm) | rave (μm) | Df | τ |
|---|---|---|---|---|---|---|---|---|---|
| S1 | 2.33 | 2.52 | 9.32 | 0.093 | 0.433 | 0.005 | 0.1345 | 1.46 | 1.97 |
| S2 | 2.31 | 2.52 | 9.50 | 0.059 | 0.216 | 0.005 | 0.0760 | 1.37 | 1.96 |
Publisher’s Note: MDPI stays neutral with regard to jurisdictional claims in published maps and institutional affiliations. |
© 2020 by the authors. Licensee MDPI, Basel, Switzerland. This article is an open access article distributed under the terms and conditions of the Creative Commons Attribution (CC BY) license (http://creativecommons.org/licenses/by/4.0/).
Share and Cite
Yu, H.; Li, Q.; Li, X.; Feng, D. Effect of Water Distribution on Spontaneous Imbibition of Tight Rocks: A Fractal Approach. Energies 2020, 13, 6505. https://doi.org/10.3390/en13246505
Yu H, Li Q, Li X, Feng D. Effect of Water Distribution on Spontaneous Imbibition of Tight Rocks: A Fractal Approach. Energies. 2020; 13(24):6505. https://doi.org/10.3390/en13246505
Chicago/Turabian StyleYu, Haitang, Qi Li, Xiangfang Li, and Dong Feng. 2020. "Effect of Water Distribution on Spontaneous Imbibition of Tight Rocks: A Fractal Approach" Energies 13, no. 24: 6505. https://doi.org/10.3390/en13246505
APA StyleYu, H., Li, Q., Li, X., & Feng, D. (2020). Effect of Water Distribution on Spontaneous Imbibition of Tight Rocks: A Fractal Approach. Energies, 13(24), 6505. https://doi.org/10.3390/en13246505
