A Review of Critical Stable Sectional Areas for the Surge Tanks of Hydropower Stations
Abstract
1. Introduction
- (1)
- The stability for the design of surge tanks is a safety issue. The CSSA for surge tanks comes from the issue of stability of water level oscillations in surge tanks. For hydropower stations with surge tanks, the stability of the turbine regulating system is directly related to the sectional area of the surge tank [38]. The CSSA for surge tanks corresponds to the critical stable state of hydropower stations and is an important index to evaluate the stability of the turbine regulation system. In order to realize the stable operation of hydropower stations with surge tanks, the sectional area of surge tanks should be greater than the CSSA. If the sectional area of the surge tanks is less than the CSSA, the hydropower stations with surge tanks would be unstable. With the development of instability phenomena, the failure and destruction of the hydropower station may happen.
- (2)
- The economy in the design of surge tanks is an issue of investment and construction period. A greater surge tank sectional area can increase the stability of hydropower stations. However, with the increase of the sectional area of surge tanks, the investment and construction period of surge tanks increases. In engineering practice, the increase of investment and construction period is undesirable.
- Aspect 1: CSSA for surge tanks based on hydraulic transients
- Aspect 2: CSSA for surge tanks based on hydraulic-mechanical-electrical coupling transients
- Aspect 3: CSSA for air cushion surge tanks
- Aspect 4: CSSA for combined surge tanks
2. CSSA for Surge Tanks Based on Hydraulic Transients
2.1. CSSA for Surge Tanks Considering Hydraulic Transients
- (1)
- The amplitude of the water level oscillation in surge tanks is small.
- (2)
- The penstock is ignored.
- (3)
- The type of surge tank is a simple surge tank.
- (4)
- The governor should be extremely sensitive.
- (5)
- The efficiency and output of turbines remain unchanged.
- (6)
- The hydropower station is under isolated operating conditions.
2.2. Effects of Hydraulic Factors on CSSA for Surge Tank
3. CSSA for Surge Tanks Based on Hydraulic-Mechanical-Electrical Coupling Transients
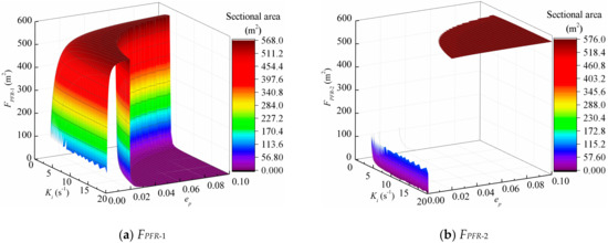
3.1. Effects of Governor and Turbine on CSSA for Surge Tanks
3.2. Hydraulic-Mechanical-Electrical Coupling CSSA for Surge Tanks
4. CSSA for Air Cushion Surge Tank
- (1)
- The hydropower station has a high head, a small discharge, and a long headrace tunnel.
- (2)
- Along the pipeline, the geological conditions are good, but the mountain near the powerhouse is low.
- (3)
- For the hydropower station project area, the environmental protection requirements are stringent.
5. CSSA for Combined Surge Tanks
5.1. Upstream and Downstream Double Surge Tanks
5.2. Upstream Series Double Surge Tanks
6. Conclusions
- (1)
- The concept of CSSA for surge tanks was firstly put forward by Thoma. The Thoma formula is the first analytic formula of CSSA for surge tanks. The head loss of penstocks is not favorable for the stability of water level oscillations in surge tanks. If the water level oscillations in surge tanks are undamped with a small amplitude at the rated head, it will become damped with a large amplitude. The CSSA for surge tanks under large amplitude oscillation conditions is greater than that under small amplitude oscillation conditions. The velocity head of connecting pipes is unfavorable for the stability of water level oscillations in downstream surge tanks. The shunt effect of long connecting pipes can improve the stability of water level oscillations in surge tanks and reduce the CSSA for surge tanks. With the increase of turbine head or the decrease of tailrace tunnel length, the CSSA for downstream surge tanks decreases.
- (2)
- The governor and turbine efficiency have an obvious effect on CSSA for surge tanks. The maximum CSSA for surge tanks depends on the rated head, not the minimum head. The criterion of CSSA for surge tanks is determined by the coefficient of first order derivative term of the system oscillation equation. The introduction of water pressure feedback can decrease the value of CSSA for surge tanks. The consideration of flow inertia of connecting pipes can reduce the value of CSSA for surge tanks. The consideration of water level oscillations in tailrace channels is favorable for the stability of turbine regulating systems and can reduce the value of CSSA for surge tanks.
- (3)
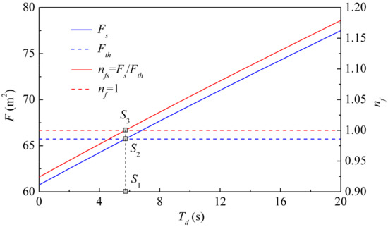
- If the guide vane opening limitation is considered, the attenuation rate of water level oscillations in air cushion surge tanks becomes greater. The local head loss and locations of surge tanks have a significant effect on the CSSAs of surge tanks. The sectional area of surge tanks under the critical stable state of large amplitude surge is greater than that of small amplitude surge. The CSSA for air cushion surge tanks and CSSA for open surge tanks have a proportional relationship. The maximum CSSA for air cushion surge tanks depends on one head which lies between the rated head and maximum head.
- (4)
- For the water level oscillations in upstream and downstream double surge tanks, the accuracy of nonlinear stability is higher than that of linear stability. For hydropower stations with upstream and downstream double surge tanks, the saturation nonlinearity of the controller is unfavorable for the stability of the turbine regulation system. The influence of the sectional area of the main surge tank on the stability of hydropower stations is more significant than that of auxiliary surge tanks.
- (5)
- New approaches about the research and engineering application of CSSA for surge tank can be refined as follows:
- (a)
- Regarding the research approaches of CSSA for surge tanks, the analytical method is dominant and the most widely used. The analytical methods gradually transform from linear methods to nonlinear methods. The linear methods include the transfer function method, Hurwitz criterion method, and inverse frequency characteristic method. The nonlinear methods include the phase plane method, Hopf bifurcation method, and Lyapunov stability method. With the development of hydropower stations, surge tanks research objects have become more and more complicated. The adopted research approaches should reflect and describe the physical essence of water level oscillations. Advanced nonlinear methods, combined linear and nonlinear methods, and combined nonlinear and nonlinear methods are the potential new research approaches.
- (b)
- Regarding the engineering application of CSSA for surge tanks, a new approach for the hydraulic design of surge tanks can be obtained. In the past, the sectional area of surge tanks was designed by considering the influence of headrace tunnels. In the latest analytic formulas of CSSA for surge tanks, the parameters of headrace tunnel, penstock, turbine, generator, and governor are included. The sectional area of surge tanks can be designed and optimized together with the parameters of headrace tunnel, penstock, turbine, generator and governor. That design approach is a new approach for the design of hydropower stations. Because more influencing factors are considered simultaneously, a more reasonable design result of sectional area of surge tanks can be obtained.
- (1)
- With the further development of hydropower, more and more pumped storage power stations are being constructed. The pipeline layout and characteristics of turbines of pumped storage power stations are obviously different with those of conventional hydropower stations. The CSSA for surge tanks of conventional hydropower stations cannot be simply adopted for pumped storage power stations. The existing achievements about CSSA for surge tanks are mainly based on conventional hydropower stations, hence, the CSSA for surge tanks of pumped storage power stations should be explored.
- (2)
- Hydropower stations play an important regulation role in modern power systems. In modern power systems, there are other types of power sources, such as thermal power, wind power and photovoltaic power. The operation and control of multi-energy complementary energy sources are complicated and have a significant effect on hydropower stations. The CSSA for surge tanks considering multi-energy complement is worth studying.
Author Contributions
Funding
Conflicts of Interest
Nomenclature
| B | Width of sloping ceiling tailrace tunnel, m |
| bt | Temporary droop |
| c | Wave velocity of free surface flow section, m/s |
| e, e’, e0, e* | Comprehensive transfer coefficient of turbine |
| eg | Load self-regulation coefficient |
| eh, ex, ey | Moment transfer coefficients of turbine |
| en | Static frequency self-regulation coefficient of grid load |
| ep, bp | Droop of speed |
| eqh, eqx, eqy | Discharge transfer coefficients of turbine |
| F | Sectional area of surge tank, m2 |
| f, fy | Sectional area of headrace tunnel, m2 |
| Fcs | CSSA for downstream surge tank, m2 |
| FPFR | CSSA for surge tank under primary frequency regulation, m2 |
| Fs | Saturation critical sectional area for surge tank, m2 |
| Fsv | CSSA for air cushion surge tank, m2 |
| ft | Sectional area of penstock, m2 |
| Fth | CSSA for surge tank, m2 |
| g | Acceleration of gravity, m/s2 |
| H0 | Turbine net head, m |
| Hg | Turbine gross head, m |
| hw0, hy0, hf0 | Head loss of headrace tunnel, m |
| hwm, ht0 | Head loss of penstock, m |
| Ki | Integral gain, s−1 |
| Kp | Proportional gain |
| L, Lw, Ly | Length of headrace tunnel, m |
| l0 | Height of air chamber, m |
| Lt | Length of penstock, m |
| m | Gas polytropic exponent |
| n1, n2 | Coefficients of proportionality |
| nf | Amplification coefficient of sectional area of surge tank |
| P0 | Absolute air pressure in surge tank, m |
| Q0, Qy0 | Discharge in headrace tunnel, m3/s |
| qP | Relative turbine discharge |
| qyE | Equilibrium point of relative discharge in headrace tunnel |
| t | Time, s |
| Td | Damping device time constant, s |
| Vy0 | Flow velocity in headrace tunnel, m/s |
| x | Relative turbine frequency |
| y | Relative guide vane opening |
| Z | Water level in surge tank, m |
| Z* | Amplitude peak in the first period of water level oscillation in surge tank, m |
| Z0 | Initial water level in surge tank, m |
| zE | Equilibrium point of relative water level in surge tank |
| α, αy | Head loss coefficient of headrace tunnel, s2/m |
| α’ | Coefficient of velocity head at the bottom of surge tank, s2/m |
| αt | Head loss coefficient of penstock, s2/m |
| αT | Discharge coefficient of head loss of throttling orifice head loss, s2/m5 |
| β | Coefficient of head loss of sloping ceiling tailrace tunnel, s2/m |
| δ | Coefficient of turbine characteristics |
| ζ | Head loss coefficient of throttling orifice head loss, s2/m |
| θ | Ceiling slope angle of sloping ceiling tailrace tunnel, rad |
| Coefficient of momentum term of connecting pipe |
References
- Kishor, N.; Fraile-Ardanuy, J. Modeling and Dynamic Behaviour of Hydropower Plants; The Institution of Engineering and Technology: Stevenage, UK, 2017. [Google Scholar]
- Guo, W.C.; Yang, J.D.; Teng, Y. Surge wave characteristics for hydropower station with upstream series double surge tanks in load rejection transient. Renew. Energy 2017, 108, 488–501. [Google Scholar] [CrossRef]
- Chaudhry, M.H. Applied Hydraulic Transients; Springer: New York, NY, USA, 2014. [Google Scholar]
- Guo, W.C.; Zhu, D.Y. A review of the transient process and control for a hydropower station with a super long headrace tunnel. Energies 2018, 11, 2994. [Google Scholar] [CrossRef]
- Viersma, T.J. Analysis, Synthesis and Design of Hydraulic Servosystems and Pipelines; Elsevier Science Publishers: Amsterdam, The Netherlands, 1980. [Google Scholar]
- Storli, P.T.; Nielsen, T.K. Transient friction in pressurized pipes. I: Investigation of Zielke’s model. J. Hydraul. Eng. 2011, 137, 577–584. [Google Scholar] [CrossRef]
- Trivedi, C.; Cervantes, M.J.; Gandhi, B.K.; Dahlhaug, O.G. Experimental and numerical studies for a high head Francis turbine at several operating points. J. Fluids Eng. 2013, 135, 111102. [Google Scholar] [CrossRef]
- Trivedi, C.; Gandhi, B.K.; Cervantes, M.J.; Dahlhaug, O.G. Experimental investigations of a model Francis turbine during shutdown at synchronous speed. Renew. Energy 2015, 83, 828–836. [Google Scholar] [CrossRef]
- Jakobsen, S.H.; Bombois, X.; Uhlen, K. Non-intrusive identification of hydro power plants’ dynamics using control system measurements. Int. J. Electr. Power 2020, 122, 106180. [Google Scholar] [CrossRef]
- Walter, J.G.G.; Garces, A.; Fosso, O.B. Passivity-based control for small hydro-power generation with PMSG and VSC. IEEE Access 2020, 8, 153001–153010. [Google Scholar]
- Wang, S.Q.; Yu, X.D.; Ni, W.X.; Zhang, J. Water hammer protection combined with air vessel and surge tanks in long-distance water supply project. J. Drain. Irrig. Mach. Engine 2019, 37, 406–412. [Google Scholar]
- Bai, M.M.; Wang, F.J.; Lei, C.; Wang, L.; Liu, B.C. Effect of bypass valve on hydraulic transient process in long water transport pipelines with graveity flow. J. Drain. Irrig. Mach. Engine 2019, 37, 58–62. [Google Scholar]
- Chu, S.P.; Zhang, J.; Yu, X.D. Influence of tee minor hydraulic loss model on draft tube inlet pressure and upsurge in surge chamber. J. Drain. Irrig. Mach. Engine 2018, 36, 42–49. [Google Scholar]
- Kim, S. Design of surge tank for water supply systems using the impulse response method with the GA algorithm. J. Mech. Sci. Technol. 2010, 24, 629–636. [Google Scholar] [CrossRef]
- Wang, B.B.; Guo, W.C.; Yang, J.D. Analytical solutions for determining extreme water levels in surge tank of hydropower station under combined operating conditions. Commun. Nonlinear Sci. 2017, 47, 394–406. [Google Scholar] [CrossRef]
- Guo, W.C.; Wang, B.B.; Yang, J.D.; Xue, Y.L. Optimal control of water level oscillations in surge tank of hydropower station with long headrace tunnel under combined operating conditions. Appl. Math. Modell. 2017, 47, 260–275. [Google Scholar] [CrossRef]
- Wei, S.P. Hydraulic Turbine Regulation; Huazhong University of Science and Technology Press: Wuhan, China, 2009. [Google Scholar]
- Qu, F.L.; Guo, W.C. Robust H∞ control for hydro-turbine governing system of hydropower plant with super long headrace tunnel. Int. J. Electr. Power 2021, 124, 106336. [Google Scholar] [CrossRef]
- Zhou, T.C.; Zhang, J.; Yu, X.D.; Chu, S.P. Optimizing closure law of wicket gates in hydraulic turbine based on simulated annealing. J. Drain. Irrig. Mach. Engine 2018, 36, 320–326. [Google Scholar]
- Zhou, D.Q.; Jiang, S.W.; Chen, H.X. Numerical simulation of start-up process of mixed flow pump unit combined with hydraulic control butterfly valve action. J. Drain. Irrig. Mach. Engine 2019, 37, 112–117. [Google Scholar]
- Chu, S.P.; Zhang, J.; Chen, S.; Yu, X.D. Influence of closure law of wicket gate on successive load rejection condition. J. Drain. Irrig. Mach. Engine 2019, 37, 31–37. [Google Scholar]
- Guo, W.C.; Yang, J.D.; Yang, W.J.; Chen, J.P.; Teng, Y. Regulation quality for frequency response of turbine regulating system of isolated hydroelectric power plant with surge tank. Int. J. Electr. Power 2015, 73, 528–538. [Google Scholar] [CrossRef]
- Mosonyi, E.; Seth, H.B. The surge tank—A device for controlling water hammer. Water Power Dam Constr. 1975, 27, 69–74. [Google Scholar]
- Johnson, R.D. The surge tank in water power plants. Trans. ASME 1908, 30, 443–474. [Google Scholar]
- Guo, W.C.; Yang, J.D.; Wang, M.J.; Lai, X. Nonlinear modeling and stability analysis of hydro-turbine governing system with sloping ceiling tailrace tunnel under load disturbance. Energy Convers. Manag. 2015, 106, 127–138. [Google Scholar] [CrossRef]
- Guo, W.C.; Yang, J.D.; Chen, J.P.; Wang, M.J. Nonlinear modeling and dynamic control of hydro-turbine governing system with upstream surge tank and sloping ceiling tailrace tunnel. Nonlinear Dynam. 2016, 84, 1383–1397. [Google Scholar] [CrossRef]
- Jaeger, C. Present trends in surge tank design. Proc. Inst. Mech. Eng. 1954, 168, 91–124. [Google Scholar] [CrossRef]
- Vereide, K.; Richter, W.; Zenz, G.; Lia, L. Surge tank research in Austria and Norway. Wasserwirtschaft 2015, 105, 58–62. [Google Scholar] [CrossRef]
- Liu, Q.Z.; Peng, S.Z. Surge Tank of Hydropower Station; China Waterpower Press: Beijing, China, 1995. [Google Scholar]
- Guo, W.C.; Yang, J.D. Modeling and dynamic response control for primary frequency regulation of hydro-turbine governing system with surge tank. Renew. Energy 2018, 121, 173–187. [Google Scholar] [CrossRef]
- Guo, W.C.; Yang, J.D. Combined effect of upstream surge chamber and sloping ceiling tailrace tunnel on dynamic performance of turbine regulating system of hydroelectric power plant. Chaos Soliton Fract. 2017, 99, 243–255. [Google Scholar] [CrossRef]
- Xu, X.Y.; Guo, W.C. Stability of speed regulating system of hydropower station with surge tank considering nonlinear turbine characteristics. Renew. Energy 2020, 162, 960–972. [Google Scholar] [CrossRef]
- Guo, W.C.; Peng, Z.Y. Order reduction and dynamic performance of hydropower system with surge tank for grid-connected operation. Sustain. Energy Technol. Assess. 2020, 40, 100777. [Google Scholar]
- Walter, J.G.G.; Garces, A.; Fosso, O.B.; Andrés, E.M. Passivity-based control of power systems considering hydro-turbine with surge tank. IEEE Trans. Power Syst. 2020, 35, 2002–2011. [Google Scholar]
- Wu, R.Q.; Chen, J.Z. Hydraulic Transients of Hydropower Station; China Water Power Press: Beijing, China, 1997. [Google Scholar]
- Guo, W.C.; Zhu, D.Y. Setting condition of downstream surge tank of hydropower station with sloping ceiling tailrace tunnel. Chaos Soliton Fract. 2020, 134, 109698. [Google Scholar] [CrossRef]
- Zhu, D.Y.; Guo, W.C. Setting condition of surge tank based on stability of hydro-turbine governing system considering nonlinear penstock head loss. Int. J. Electr. Power 2019, 113, 372–382. [Google Scholar] [CrossRef]
- Guo, W.C.; Yang, J.D. Dynamic performance analysis of hydro-turbine governing system considering combined effect of downstream surge tank and sloping ceiling tailrace tunnel. Renew. Energy 2018, 129, 638–651. [Google Scholar] [CrossRef]
- Jaeger, C. A review of surge-tank stability criteria. J. Basic Eng. 1960, 82, 765–775. [Google Scholar] [CrossRef]
- National Energy Administration of China. Design Code for Surge Chamber of Hydropower Stations; NB/T 35021–2014; China Electric Power Press: Beijing, China, 2014. [Google Scholar]
- Calame, J.; Gaden, D. Theorie Des Chambers d’ Equilibre; Gantur-Villars: Paris, France, 1926. [Google Scholar]
- Jaeger, C. Contribution to the stability theory of systems of surge tanks. Trans. ASME 1958, 80, 1574–1584. [Google Scholar]
- Duggins, R.K. The stability of a simple surge tank. J. Basic Eng. 1968, 90, 97. [Google Scholar] [CrossRef]
- Ruus, E. Stability of oscillations in simple surge tank. J. Hydraul. Div. 1969, 95, 1577–1588. [Google Scholar]
- Chaudhry, M.H.; Ruus, E. Surge tank stability by phase plane method. J. Hydraul. Div. 1971, 97, 489–503. [Google Scholar]
- Yang, L.X. The extending application of Lyapunov′s stability theory in the subject of water level oscillating stability in the surge tank. J. Hydraul. Eng. 1999, 9, 34–39. [Google Scholar]
- Marris, A.W. Large water-level displacements in the simple surge tank. J. Basic Eng. 1959, 81, 446–454. [Google Scholar] [CrossRef]
- Marris, A.W. The phase-plane topology of the simple surge-tank equation. J. Basic Eng. 1961, 83, 700–708. [Google Scholar] [CrossRef]
- Li, X.X.; Brekke, H. Large amplitude water level oscillations in throttled surge tanks. J. Hydraul. Res. 1989, 27, 537–551. [Google Scholar] [CrossRef]
- Ji, K.; Ma, Y.X.; Wang, S.Q. Study on the stable sectional area of surge tank under large fluctuation process. J. Hydraul. Eng. 1990, 5, 45–51. [Google Scholar]
- Ye, F.Y.; Wang, S.R. Discussion on measures to reduce stable Section of surge tank. Water Resour. Hydropower Eng. 1990, 8, 36–40. [Google Scholar]
- Yang, J.D.; Lai, X.; Chen, J.Z. The influence of connecting pipe velocity head and momentum term on the stable area of surge tank. J. Hydraul. Eng. 1995, 7, 59–65. [Google Scholar]
- Vereide, K.; Svingen, B.; Nielsen, T.K.; Lia, L. The effect of surge tank throttling on governor stability, power control, and hydraulic transients in hydropower plants. IEEE Trans. Energy Convers. 2017, 32, 91–98. [Google Scholar] [CrossRef]
- Liu, C.; Cheng, Y.G. Stability and attenuation of surge wave in surge chamber with long lateral pipe and distributary. Water Resources Power 2012, 2, 131–135. [Google Scholar]
- Zhao, G.L.; Yang, J.D.; Li, J.P. Stable sectional area of tailrace surge tank on complicated tailrace system. J. Yangtze River Sci. Res. Inst. 2004, 21, 3–5. [Google Scholar]
- Li, L.; Yang, J.D.; Liu, M.Q. Stable sectional area of tailrace surge tank on tailrace system with free surface-pressurized flow. J. Huazhong Univ. Sci. Technol. 2015, 43, 38–41. [Google Scholar]
- Zhu, D.Y.; Guo, W.C. Critical sectional area of surge chamber considering nonlinearity of head loss of diversion tunnel and steady output of turbine. Chaos Soliton Fract. 2019, 127, 165–172. [Google Scholar] [CrossRef]
- Krivehenko, G.N. Transition Process in Power Plant of Hydropower Station; China Water Power Press: Beijing, China, 1981. [Google Scholar]
- Shen, Z.Y. The influence of governor parameters on critical stable section of surge tank. J. Hydraul. Eng. 1986, 5, 69–74. [Google Scholar]
- Borel, M. Essai de systematisation de L’étude réglage d’un groupe hydro-électrique. Journées de l’hydraulique 1959, 5, 105–111. [Google Scholar]
- Yang, J.D.; Lai, X.; Chen, J.Z. The effect turbine characteristic on stable sectional area of surge tank. J. Hydraul. Eng. 1998, 2, 7–11. [Google Scholar]
- Yang, F.; Li, L.M.; Li, G.H. Research on the critical stable cross-sectional area of the tailrace surge chamber considering the hydraulic turbine characteristics. China Rural Water Hydropower 2017, 11, 199–203. [Google Scholar]
- Dong, X.L. Research on the stable cross-section area of surge tank of hydropower station. J. Hydraul. Eng. 1980, 4, 37–48. [Google Scholar]
- Shou, M.H. Study on the hydraulic turbine regulation with surge tank. Water Resour. Hydropower Eng. 1991, 7, 28–34. [Google Scholar]
- Guo, W.C.; Yang, J.D.; Chen, Y.M.; Shan, X.J. Study on critical stable sectional area of surge chamber considering penstock fluid inertia and governor characteristics. J. Hydroelectr. Eng. 2014, 33, 171–178. [Google Scholar]
- Ma, Y.X.; Ma, Q.Z.; Ji, K. Investigation on stable cross section of large oscillation surge chamber in electric system. J. Hydraul. Eng. 1998, 29, 63–68. [Google Scholar]
- He, Z.F.; Peng, Z.Y.; Gui, S.B. Research on critical stable section of surge tank considering power network characteristics. Express Water Resour. Hydropower Inf. 2019, 40, 56–61. [Google Scholar]
- Guo, W.C.; Peng, Z.Y. Hydropower system operation stability considering the coupling effect of water potential energy in surge tank and power grid. Renew. Energy 2019, 134, 846–861. [Google Scholar] [CrossRef]
- Liu, J.H.; Liu, C.Y. Introducing water pressure feedback to reduce the stable section of the surge tank. Water Resour. Power 1990, 8, 232–241. [Google Scholar]
- Wang, C.; Yang, J.D. Influence of the length of the connecting pipe on the stable area of the surge chamber and the quality of small fluctuation adjustment. J. Hydraul. Eng. 2015, 34, 93–98. [Google Scholar]
- Wang, M.J.; Yang, J.D.; Wang, H. Stability analysis of small fluctuation regulation of tailrace system containing open channel. J. Hydraul. Eng. 2015, 34, 161–168. [Google Scholar]
- Guo, W.C.; Yang, J.D. Stability performance for primary frequency regulation of hydro-turbine governing system with surge tank. Appl. Math. Modell. 2018, 54, 446–466. [Google Scholar] [CrossRef]
- Peng, Z.Y.; Guo, W.C. Saturation characteristics for stability of hydro-turbine governing system with surge tank. Renew. Energy 2019, 131, 318–332. [Google Scholar] [CrossRef]
- National Energy Administration of China. Design Code for Air Cushion Surge Chamber of Hydropower Stations; NB/T 35080–2016; China Waterpower Press: Beijing, China, 2016. [Google Scholar]
- Chaudhry, M.H.; Sabbah, M.A.; Fowler, J.E. Analysis and stability of closed surge tanks. J. Hydraul. Eng. 1985, 111, 1079–1096. [Google Scholar] [CrossRef]
- Peng, S.Z. The Stable conditions and transition process of small fluctuations in pneumatic surge tank system of hydropower station. J. Hydraul. Eng. 1986, 2, 34–53. [Google Scholar]
- Yang, X.L.; Chen, S.K. Stability of air-cushion surge tanks with throttling. J. Hydraul. Res. 1992, 30, 835–850. [Google Scholar] [CrossRef]
- Yang, X.L.; Cederwall, K.; Kung, C.-S. Large-amplitude oscillations in closed surge chamber. J. Hydraul. Res. 1992, 30, 311–325. [Google Scholar] [CrossRef]
- Guo, W.C.; Yang, J.D.; Chen, J.P.; Teng, Y. Study on the stability of waterpower-speed control system for hydropower station with air cushion surge chamber. In Proceedings of the 27th IAHR Symposium on Hydraulic Machinery and Systems, Montreal, QC, Canada, 22–26 September 2014. [Google Scholar]
- Guo, W.C.; Yang, J.; Yang, J.B. Effect of throttling orifice head loss on dynamic behavior of hydro-turbine governing system with air cushion surge chamber. In IOP Conference Series Earth and Environmental Science; IOP Publishing: Bristol, UK, 2019; Volume 240, p. 052018. [Google Scholar]
- Svee, R. Surge chamber with enclosed compressed air cushion. In Proceedings of the 1st International Conference on Pressure Surges, Canterbury, UK, 6–8 September 1972; pp. 15–24. [Google Scholar]
- Wang, X.D. The calculation of stable sectional area of air-cushioned surge chamber of complex tail water system. Sichuan Water Power 1988, 4, 45–52. [Google Scholar]
- Ji, K.; Li, L.; Ma, J.M. Study on the stable section of air pressure surge tank. J. Hydraul. Eng. 1989, 9, 50–54. [Google Scholar]
- Zhang, Y.L.; Liu, T.X. Theoretical Research on the Stability of Small Fluctuations in Air Cushioned Surge Chamber. J. Hydraul. Eng. 1991, 2, 52–62. [Google Scholar]
- Ma, Y.X.; Ji, K. The analysis of large fluctuation and stable section of pneumatic surge tank. J. Hydraul. Eng. 1992, 12, 41–47. [Google Scholar]
- Zhang, Y.L.; Liu, T.X. Study on stable section of air cushion surge chamber. J. Hydraul. Eng. 1993, 7, 59–64. [Google Scholar]
- Zhang, J.; Suo, L.S.; Liu, D.Y. Calculate the stable section of the air cushion surge chamber from the impedance test value. Water Resources Power 2000, 18, 38–40. [Google Scholar]
- Li, L.; Chen, D.B.; Yang, J.D.; Liu, M.Q. Study on the stable section area of air cushion surge chamber J. Hydraul. Eng. 2016, 47, 700–707. [Google Scholar]
- Zhang, J.; Yu, D.S.; An, J.F. Selection of parameters for calculating critical stability cross-sectional area of air-cushion surge chambers. J. Hohai Univ. 2015, 1, 6–10. [Google Scholar]
- Suo, L.S. Small fluctuation stability analysis of hydraulic-mechanical system with double surge tanks. J. Hohai Univ. 1984, 4, 003. [Google Scholar]
- Yang, J.D.; Chen, J.Z. Stability analysis of water level fluctuation in upstream and downstream surge tank system J. Hydraul. Eng. 1993, 7, 50–56. [Google Scholar]
- Song, D.H. Stability analysis of water level fluctuation in upstream and downstream surge tank system. J. Hydraul. Eng. 1996, 5, 56–60. [Google Scholar]
- Geng, Q.H.; Ju, X.M. Regulation guarantee calculation and stability analysis for upstream and downstream surge chambers. Water Resour. Hydropower Northeast China 2012, 1, 10–11. [Google Scholar]
- Lai, X.; Yang, J.D. Influence of governor on stability of double surge tank. Eng. J. Wuhan Univ. 1997, 30, 30–34. [Google Scholar]
- Chen, J.P.; Yang, J.D.; Guo, W.C.; Teng, Y. Study on the stability of waterpower-speed control system for hydropower station with upstream and downstream surge chambers based on regulation modes. In Proceedings of the 27th IAHR Symposium on Hydraulic Machinery and Systems, Montreal, QC, Canada, 22–26 September 2014. [Google Scholar]
- Chen, J.P.; Yang, J.D.; Guo, W.C. Bifurcation analysis of hydraulic turbine regulating system with saturation nonlinearity for hydropower stations with upstream and downstream surge chambers. In Proceedings of the 28th IAHR Symposium on Hydraulic Machinery and Systems, Grenoble, France, 4–8 July 2016. [Google Scholar]
- Teng, Y.; Yang, J.D.; Guo, W.C.; Chen, J.P. Study on stability of waterpower-speed control system for hydropower station with two upstream series surge chambers. J. Hydraul. Eng. 2015, 34, 72–79. [Google Scholar]
- Chen, L.; Lai, X.; Zou, J. Stable section area design of hydropower station with upstream series double surge chambers. Water Resour. Power 2016, 34, 54–57. [Google Scholar]
- Li, Z.X.; Ju, X.M.; Chen, Y.L.; Zhang, Y.R. Fluctuation stability calculation and analysis with two surge chambers connected in series at upstream of a hydropower station. Yellow River 2015, 37, 103–106. [Google Scholar]










| Models | Formulas for the CSSA of Surge Tanks |
|---|---|
| MM-1 | |
| MM-2 | |
| MM-3 | |
| MM-4 |
Publisher’s Note: MDPI stays neutral with regard to jurisdictional claims in published maps and institutional affiliations. |
© 2020 by the authors. Licensee MDPI, Basel, Switzerland. This article is an open access article distributed under the terms and conditions of the Creative Commons Attribution (CC BY) license (http://creativecommons.org/licenses/by/4.0/).
Share and Cite
Guo, W.; Liu, Y.; Qu, F.; Xu, X. A Review of Critical Stable Sectional Areas for the Surge Tanks of Hydropower Stations. Energies 2020, 13, 6466. https://doi.org/10.3390/en13236466
Guo W, Liu Y, Qu F, Xu X. A Review of Critical Stable Sectional Areas for the Surge Tanks of Hydropower Stations. Energies. 2020; 13(23):6466. https://doi.org/10.3390/en13236466
Chicago/Turabian StyleGuo, Wencheng, Yang Liu, Fangle Qu, and Xinyu Xu. 2020. "A Review of Critical Stable Sectional Areas for the Surge Tanks of Hydropower Stations" Energies 13, no. 23: 6466. https://doi.org/10.3390/en13236466
APA StyleGuo, W., Liu, Y., Qu, F., & Xu, X. (2020). A Review of Critical Stable Sectional Areas for the Surge Tanks of Hydropower Stations. Energies, 13(23), 6466. https://doi.org/10.3390/en13236466
