Deoxydehydration and Catalytic Transfer Hydrogenation: New Strategy to Valorize Tartaric Acid and Succinic Acid to γ-Butyrolactone and Tetrahydrofuran
Abstract
1. Introduction
2. Materials and Methods
2.1. Catalyst Preparation
2.2. Activity Test
2.3. Characterization
3. Results and Discussion
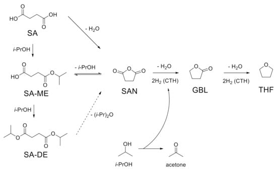
3.1. Conversion of Succinic Acid (SA)
3.2. Conversion of Maleic Acid (MA)
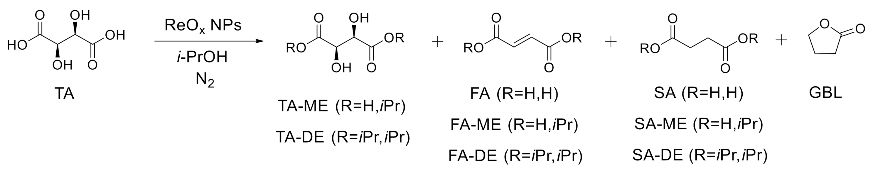
3.3. Conversion of Tartaric Acid (TA)
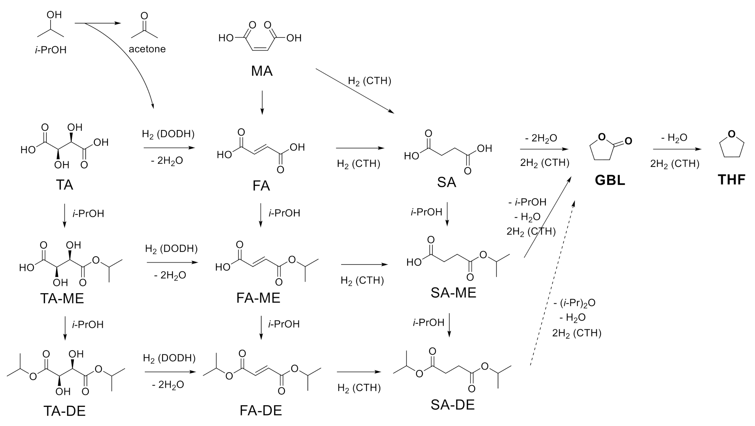
3.4. Reaction Pathway
4. Conclusions
Author Contributions
Funding
Acknowledgments
Conflicts of Interest
References
- Petrus, L.; Noordermeer, M.A. Biomass to biofuels, a chemical perspective. Green Chem. 2006, 8, 861–867. [Google Scholar] [CrossRef]
- Le, S.D.; Nishimura, S. Highly Selective Synthesis of 1,4-Butanediol via Hydrogenation of Succinic Acid with Supported Cu–Pd Alloy Nanoparticles. ACS Sustain. Chem. Eng. 2019, 7, 18483–18492. [Google Scholar] [CrossRef]
- Werpy, T.; Petersen, G. Top Value Added Chemicals from Biomass: Volume I—Results of Screening for Potential Candidates from Sugars and Synthesis Gas; No. DOE/GO-102004-1992; National Renewable Energy Lab.: Golden, CO, USA, 2004. [Google Scholar]
- Delhomme, C.; Weuster-Botz, D.; Kühn, F.E. Succinic acid from renewable resources as a C4 building-block chemical—A review of the catalytic possibilities in aqueous media. Green Chem. 2009, 11, 13–26. [Google Scholar] [CrossRef]
- Di, X.; Shao, Z.; Li, C.; Li, W.; Liang, C. Hydrogenation of succinic acid over supported rhenium catalysts prepared by the microwave-assisted thermolytic method. Catal. Sci. Technol. 2015, 5, 2441–2448. [Google Scholar] [CrossRef]
- Shao, Z.; Li, C.; Di, X.; Xiao, Z.; Liang, C. Aqueous-Phase Hydrogenation of Succinic Acid to γ-Butyrolactone and Tetrahydrofuran over Pd/C, Re/C, and Pd–Re/C Catalysts. Ind. Eng. Chem. Res. 2014, 53, 9638–9645. [Google Scholar] [CrossRef]
- Patankar, S.C.; Sharma, A.G.; Yadav, G.D. Biobased process intensification in selective synthesis of γ-butyrolactone from succinic acid via synergistic palladium–copper bimetallic catalyst supported on alumina xerogel. Clean Technol. Environ. Policy 2018, 20, 683–693. [Google Scholar] [CrossRef]
- Global Gamma-Butyrolactone Market Report 2019; Garner Insights: Pune, India, 2019.
- Global Tetrahydrofuran Market by Technology, by Application, by Geographic Scope and Forecast to 2026; Verified Market Research: Pune, India, 2019.
- Nghiem, N.; Kleff, S.; Schwegmann, S. Succinic Acid: Technology Development and Commercialization. Fermentation 2017, 3, 26. [Google Scholar] [CrossRef]
- Song, H.; Lee, S.Y. Production of succinic acid by bacterial fermentation. Enzyme Microb. Technol. 2006, 39, 352–361. [Google Scholar] [CrossRef]
- Cao, D.; Cai, W.; Tao, W.; Zhang, S.; Wang, D.; Huang, D. Lactic Acid Production from Glucose Over a Novel Nb2O5 Nanorod Catalyst. Catal. Lett. 2017, 147, 926–933. [Google Scholar] [CrossRef]
- Tachibana, Y.; Masuda, T.; Funabashi, M.; Kunioka, M. Chemical Synthesis of Fully Biomass-Based Poly(butylene succinate) from Inedible-Biomass-Based Furfural and Evaluation of Its Biomass Carbon Ratio. Biomacromolecules 2010, 11, 2760–2765. [Google Scholar] [CrossRef]
- Choudhary, H.; Nishimura, S.; Ebitani, K. Metal-free oxidative synthesis of succinic acid from biomass-derived furan compounds using a solid acid catalyst with hydrogen peroxide. Appl. Catal. A 2013, 458, 55–62. [Google Scholar] [CrossRef]
- Zhu, W.; Tao, F.; Chen, S.; Li, M.; Yang, Y.; Lv, G. Efficient Oxidative Transformation of Furfural into Succinic Acid over Acidic Metal-Free Graphene Oxide. ACS Sustain. Chem. Eng. 2019, 7, 296–305. [Google Scholar] [CrossRef]
- Howell, B.A.; Sun, W. Biobased Plasticizers from Tartaric Acid, an Abundantly Available, Renewable Material. Ind. Eng. Chem. Res. 2018, 57, 15234–15242. [Google Scholar] [CrossRef]
- Howell, B.A.; Sun, W. Biobased flame retardants from tartaric acid and derivatives. Poly. Degrad. Stab. 2018, 157, 199–211. [Google Scholar] [CrossRef]
- Fu, J.; Vasiliadou, E.S.; Goulas, K.A.; Saha, B.; Vlachos, D.G. Selective hydrodeoxygenation of tartaric acid to succinic acid. Catal. Sci. Technol. 2017, 7, 4944–4954. [Google Scholar] [CrossRef]
- Li, X.; Zhang, Y. Highly Selective Deoxydehydration of Tartaric Acid over Supported and Unsupported Rhenium Catalysts with Modified Acidities. ChemSusChem 2016, 9, 2774–2778. [Google Scholar] [CrossRef] [PubMed]
- Tshibalonza, N.N.; Monbaliu, J.-C.M. The deoxydehydration (DODH) reaction: A versatile technology for accessing olefins from bio-based polyols. Green Chem. 2020, 22, 4801–4848. [Google Scholar] [CrossRef]
- Yi, J.; Liu, S.; Abu-Omar, M.M. Rhenium-Catalyzed Transfer Hydrogenation and Deoxygenation of Biomass-Derived Polyols to Small and Useful Organics. ChemSusChem 2012, 5, 1401–1404. [Google Scholar] [CrossRef]
- Jang, J.H.; Sohn, H.; Camacho-Bunquin, J.; Yang, D.; Park, C.Y.; Delferro, M.; Abu-Omar, M.M. Deoxydehydration of Biomass-Derived Polyols with a Reusable Unsupported Rhenium Nanoparticles Catalyst. ACS Sustain. Chem. Eng. 2019, 7, 11438–11447. [Google Scholar] [CrossRef]
- Hong, U.G.; Hwang, S.; Seo, J.G.; Lee, J.; Song, I.K. Hydrogenation of succinic acid to γ-butyrolactone (GBL) over palladium catalyst supported on alumina xerogel: Effect of acid density of the catalyst. J. Ind. Eng. Chem. 2011, 17, 316–320. [Google Scholar] [CrossRef]
- Wang, Y.; Huang, Z.; Leng, X.; Zhu, H.; Liu, G.; Huang, Z. Transfer Hydrogenation of Alkenes Using Ethanol Catalyzed by a NCP Pincer Iridium Complex: Scope and Mechanism. J. Am. Chem. Soc. 2018, 140, 4417–4429. [Google Scholar] [CrossRef] [PubMed]
- Alonso, F.; Riente, P.; Rodríguez-Reinoso, F.; Ruiz-Martínez, J.; Sepúlveda-Escribano, A.; Yus, M. Platinum nanoparticles supported on titania as an efficient hydrogen-transfer catalyst. J. Catal. 2008, 260, 113–118. [Google Scholar] [CrossRef]
- Johnstone, R.A.W.; Wilby, A.H.; Entwistle, I.D. Heterogeneous catalytic transfer hydrogenation and its relation to other methods for reduction of organic compounds. Chem. Rev. 1985, 85, 129–170. [Google Scholar] [CrossRef]
- Gilkey, M.J.; Xu, B. Heterogeneous Catalytic Transfer Hydrogenation as an Effective Pathway in Biomass Upgrading. ACS Catal. 2016, 6, 1420–1436. [Google Scholar] [CrossRef]
- Thananatthanachon, T.; Rauchfuss, T.B. Efficient Production of the Liquid Fuel 2,5-Dimethylfuran from Fructose Using Formic Acid as a Reagent. Angew. Chem. Int. Ed. 2010, 49, 6616–6618. [Google Scholar] [CrossRef]
- Yang, Z.; Huang, Y.-B.; Guo, Q.-X.; Fu, Y. RANEY® Ni catalyzed transfer hydrogenation of levulinate esters to γ-valerolactone at room temperature. Chem. Comm. 2013, 49, 5328. [Google Scholar] [CrossRef]
- Kim, M.; Ha, J.-M.; Lee, K.-Y.; Jae, J. Catalytic transfer hydrogenation/hydrogenolysis of guaiacol to cyclohexane over bimetallic RuRe/C catalysts. Catal. Comm. 2016, 86, 113–118. [Google Scholar] [CrossRef]
- Korstanje, T.J.; de Waard, E.F.; Jastrzebski, J.T.B.H.; Klein Gebbink, R.J.M. Rhenium-Catalyzed Dehydration of Nonbenzylic and Terpene Alcohols to Olefins. ACS Catal. 2012, 2, 2173–2181. [Google Scholar] [CrossRef]
- Li, X.; Zhang, B.; Pan, X.; Ji, J.; Ren, Y.; Wang, H.; Ji, N.; Liu, Q.; Li, C. One-Pot Conversion of Lignin into Naphthenes Catalyzed by a Heterogeneous Rhenium Oxide-Modified Iridium Compound. ChemSusChem 2020, 13, 4409–4419. [Google Scholar] [CrossRef]
- López Granados, M.; Moreno, J.; Alba-Rubio, A.C.; Iglesias, J.; Martín Alonso, D.; Mariscal, R. Catalytic transfer hydrogenation of maleic acid with stoichiometric amounts of formic acid in aqueous phase: Paving the way for more sustainable succinic acid production. Green Chem. 2020, 22, 1859–1872. [Google Scholar] [CrossRef]
- Liu, S.; Senocak, A.; Smeltz, J.L.; Yang, L.; Wegenhart, B.; Yi, J.; Kenttämaa, H.I.; Ison, E.A.; Abu-Omar, M.M. Mechanism of MTO-Catalyzed Deoxydehydration of Diols to Alkenes Using Sacrificial Alcohols. Organometallics 2013, 32, 3210–3219. [Google Scholar] [CrossRef]
- Shiramizu, M.; Toste, F.D. Expanding the Scope of Biomass-Derived Chemicals through Tandem Reactions Based on Oxorhenium-Catalyzed Deoxydehydration. Angew. Chem. Int. Ed. 2013, 52, 12905–12909. [Google Scholar] [CrossRef] [PubMed]
- Boucher-Jacobs, C.; Nicholas, K.M. Catalytic Deoxydehydration of Glycols with Alcohol Reductants. ChemSusChem 2013, 6, 597–599. [Google Scholar] [CrossRef] [PubMed]
- Michael McClain, J.; Nicholas, K.M. Elemental Reductants for the Deoxydehydration of Glycols. ACS Catal. 2014, 4, 2109–2112. [Google Scholar] [CrossRef]
- Denning, A.L.; Dang, H.; Liu, Z.; Nicholas, K.M.; Jentoft, F.C. Deoxydehydration of Glycols Catalyzed by Carbon-Supported Perrhenate. ChemCatChem 2013, 5, 3567–3570. [Google Scholar] [CrossRef]
- Sharkey, B.E.; Denning, A.L.; Jentoft, F.C.; Gangadhara, R.; Gopaladasu, T.V.; Nicholas, K.M. New solid oxo-rhenium and oxo-molybdenum catalysts for the deoxydehydration of glycols to olefins. Catal. Today 2018, 310, 86–93. [Google Scholar] [CrossRef]
- Larson, R.T.; Samant, A.; Chen, J.; Lee, W.; Bohn, M.A.; Ohlmann, D.M.; Zuend, S.J.; Toste, F.D. Hydrogen Gas-Mediated Deoxydehydration/Hydrogenation of Sugar Acids: Catalytic Conversion of Glucarates to Adipates. J. Am. Chem. Soc. 2017, 139, 14001–14004. [Google Scholar] [CrossRef]
- Li, X.; Wu, D.; Lu, T.; Yi, G.; Su, H.; Zhang, Y. Highly Efficient Chemical Process to Convert Mucic Acid into Adipic Acid and DFT Studies of the Mechanism of the Rhenium-Catalyzed Deoxydehydration. Angew. Chem. Int. Ed. 2014, 53, 4200–4204. [Google Scholar] [CrossRef]
- Lin, J.; Song, H.; Shen, X.; Wang, B.; Xie, S.; Deng, W.; Wu, D.; Zhang, Q.; Wang, Y. Zirconia-supported rhenium oxide as an efficient catalyst for the synthesis of biomass-based adipic acid ester. Chem. Commun. 2019, 55, 11017–11020. [Google Scholar] [CrossRef]
- Hočevar, B.; Prašnikar, A.; Huš, M.; Grilc, M.; Likozar, B. H2-Free Re-Based Catalytic Dehydroxylation of Aldaric Acid to Muconic and Adipic Acid Esters. Angew. Chem. Int. Ed. 2020, 59, 2–12. [Google Scholar]








| Entry | Temp. (°C) | Time (h) | Conv. 2 (%) | Products/% Yield 2 | |||||
|---|---|---|---|---|---|---|---|---|---|
| TA-ME,DE | FA and FA-ME,DE | SA and SA-ME | SA-DE | GBL | THF | ||||
| 1 | 170 | 12 | 100 | 28 | 65 | 0 | 0 | 0 | 0 |
| 2 | 210 | 12 | 100 | 13 | 75 | 1 | 2 | 0 | 0 |
| 3 | 250 | 12 | 100 | 0 | 0 | 30 | 17 | 18 | 0 |
| 4 | 270 | 12 | 100 | 0 | 0 | 18 | 20 | 23 | 0 |
| 5 | 290 | 12 | 100 | 0 | 0 | 10 | 6 | 34 | 2 |
| 6 | 290 | 18 | 100 | 0 | 0 | 0 | 1.5 | 43 | 1 |
| 7 3 | 250 | 12 | 100 | 92 | 4 | 0 | 2 | 0 | 0 |
Publisher’s Note: MDPI stays neutral with regard to jurisdictional claims in published maps and institutional affiliations. |
© 2020 by the authors. Licensee MDPI, Basel, Switzerland. This article is an open access article distributed under the terms and conditions of the Creative Commons Attribution (CC BY) license (http://creativecommons.org/licenses/by/4.0/).
Share and Cite
Jang, J.H.; Abu-Omar, M.M. Deoxydehydration and Catalytic Transfer Hydrogenation: New Strategy to Valorize Tartaric Acid and Succinic Acid to γ-Butyrolactone and Tetrahydrofuran. Energies 2020, 13, 6402. https://doi.org/10.3390/en13236402
Jang JH, Abu-Omar MM. Deoxydehydration and Catalytic Transfer Hydrogenation: New Strategy to Valorize Tartaric Acid and Succinic Acid to γ-Butyrolactone and Tetrahydrofuran. Energies. 2020; 13(23):6402. https://doi.org/10.3390/en13236402
Chicago/Turabian StyleJang, Jun Hee, and Mahdi M. Abu-Omar. 2020. "Deoxydehydration and Catalytic Transfer Hydrogenation: New Strategy to Valorize Tartaric Acid and Succinic Acid to γ-Butyrolactone and Tetrahydrofuran" Energies 13, no. 23: 6402. https://doi.org/10.3390/en13236402
APA StyleJang, J. H., & Abu-Omar, M. M. (2020). Deoxydehydration and Catalytic Transfer Hydrogenation: New Strategy to Valorize Tartaric Acid and Succinic Acid to γ-Butyrolactone and Tetrahydrofuran. Energies, 13(23), 6402. https://doi.org/10.3390/en13236402

