A Novel Method for Obtaining the Signature of Household Consumer Pairs
Abstract
1. Introduction
2. Selecting the Subsets of Points for Assigning the Signature
- Selecting the subsets of points used to assign the signature;
- Associating the support function, choosing the fitness function, and setting up the support function for each branch separately, by nonlinear regression using GA;
- Validation of the solution calculated based on physical considerations.
3. Determining the Signatures of a N-Multiple Consumer
- Variant 1: assigning of a single dependence i(v), i.e., an e-s_c;
- Variant 2: assigning a number of s dependencies i(v), (1 < s < n), i.e., a set of dominant signatures i1 = f1(v), i2 = f2(v), …, is = fs(v), without individualized physical correspondent, but which has as equivalent the entire multiple consumer by summarizing the currents;
- Variant 3: assigning a number of n dependencies i(v), iλ = fλ(v), λ = 1, …, n, having in view that each dependency corresponds to one of the n simple consumers forming the n-m_c.
3.1. Signatures Assignment for Variant 1
3.2. Signatures Assignment for Variant 3
- Selecting the subsets of points used to assign the signature;
- Taking-up the set of pairs of support functions Cαβ= {Sα(v), Sβ(v)}, α, β ∈ K, of the weights applied to these, and of the associated fitness functions;
- Nonlinear regression using GA setting up of the support functions parameters;
- Determination of the 2-multiple consumer’s signature.
- In Table 1 we selected in the last column of each row the symbol of the pair with the lowest fitness. Thus, is the symbol of the Cαβ set from the independent run 1 that corresponds to min{Fαβ_r_p_1}αβ ∈ {11, 12, …, 44}, and is the symbol of the Cαβ set that corresponds to the lowest fitness of the run 50, min{Fαβ_r_p_50}αβ ∈ {11, 12, …, 44}.
- The frequencies of all combinations from Table 1 (fp,r,11, …, fp,r,44) shall be calculated using the Equation (6) and then the maximum score fp,r_max using the Formula (7):fp,r,αβ = (the number of occurrences of the Cαβ combination in the last column of Table 1)/m.fp,r_max = max {fp,r,αβ}, α, β ∈ K.
- 3.
- Determining the solution corresponding to branch r implies the following steps: we chose the combination Cαβ corresponding to the lowest fitness Fp,r according to equationas the first solution to the problem. Where the partial signatures and have a physical meaning, this first solution is adopted as solution of the problem. Otherwise, we proceeded by making a new choice in the ascending order of the fitness in set {Fp,r}.
- 4.
- The signatures of the two member consumers of 2-m_c are determined by combining the partial signatures of the two branches and , respectively and with formulas of the types (9a) and (9b):
- Consumer 1:
- Consumer 2:
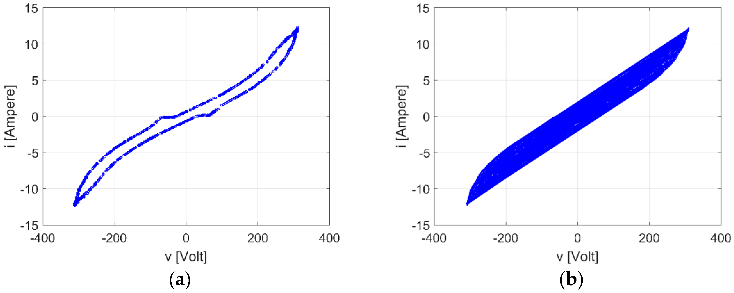
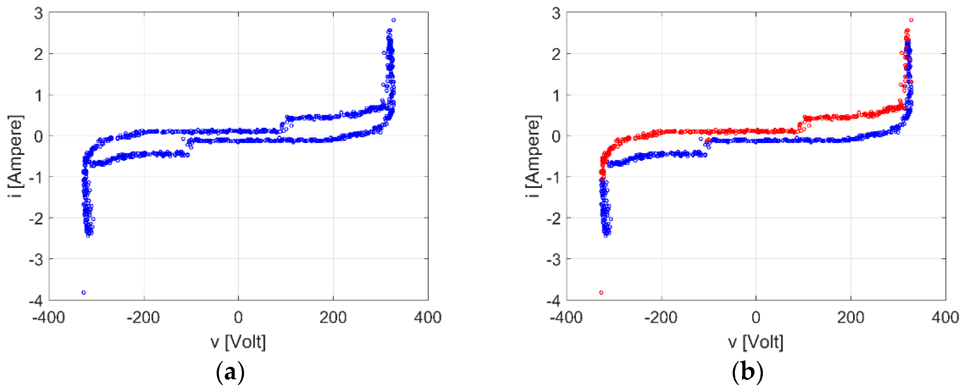
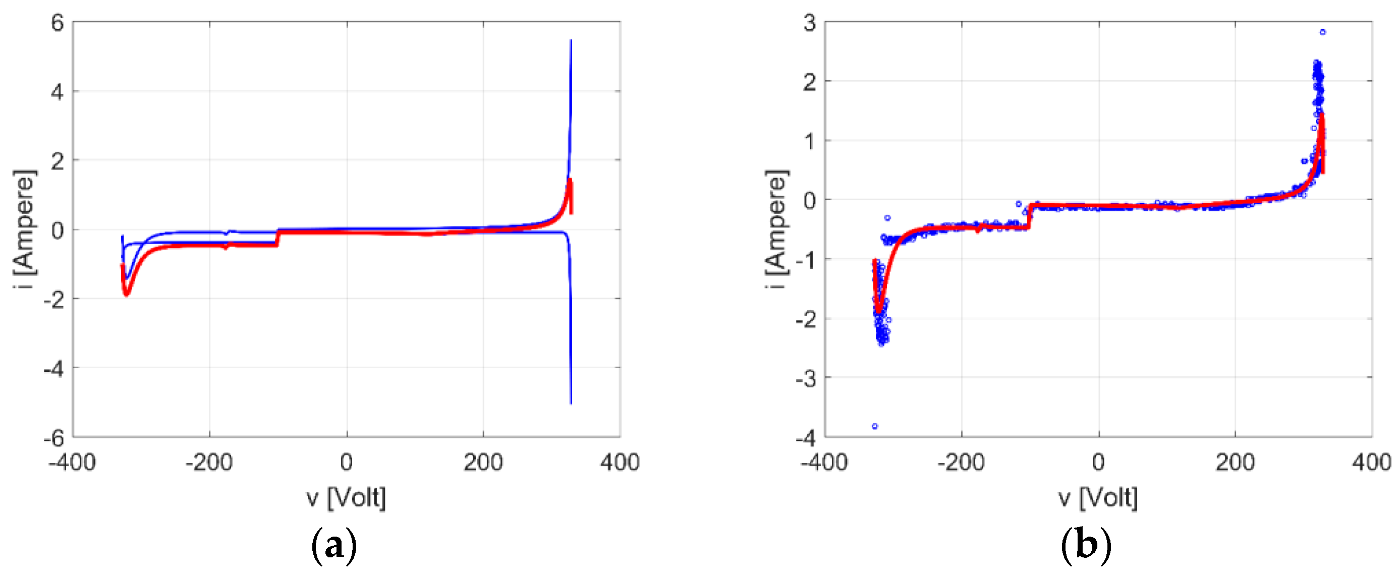
4. Case Studies
4.1. Case Study No. 1
- Consumer 1:
- Consumer 2:
4.2. Case Study No. 2
- Consumer 1:
- Consumer 2:
4.3. Discussion
5. Conclusions
Author Contributions
Funding
Conflicts of Interest
Abbreviations
| CNN | convolutional neural network |
| CS1, CS2 | case study 1, case study 2 |
| Cαβ | pairs of support functions α and β |
| symbol of the Cαβ set from the independent run θ that corresponds to min{Fαβ_r_p_θ}αβ ∈ {11, …, 44} | |
| e-s_c | equivalent single consumer |
| Fαβ_r_p | minimum fitness corresponding to the Cαβ pair of weight p on branch r |
| Fαβ_r_p_θ | fitness corresponding to the Cαβ pair of weight p on branch r during independent run θ |
| Fr | the minimum fitness from Fp,r set of values, p ∈ P |
| Fp,r | fitness corresponding to weight p of branch r |
| fp,r_max | maximum score |
| fp,r,αβ | frequency for Cαβ of weight p on branch r and m independent runes |
| GA | genetic algorithm |
| i(v) | dependence between the voltage v at the consumer’s terminals and the absorbed current i |
| the ‘o’ dependencies i(v) | |
| the ‘o’ trajectory i(v) of branch r | |
| i(t) | the value of the current i taken at the discrete-time t |
| ij | the measured value of the total absorbed current corresponding to the vj value of the terminal voltage at the instant tj |
| iαβ_r_p (v) | total current absorbed by the composed class αβ, of weight p for the branch r |
| K | group of four classes, K = {1, 2, 3, 4} |
| k | class type, k ∈ K |
| Mr | cloud of points associated to the branch r |
| Nr | number of measurements allocated to branch r |
| n-m_c | n multiple consumer |
| r | type of branch |
| P | set of values for the weighting parameter |
| p | weighting parameter |
| Sk(v) | support function associated to the class k |
| Sk_r(v) | support function associated to the class k and branch r |
| v(t) | the value of the voltage v taken at the discrete-time t |
| V | attenuation constant of the measured voltage values |
| vj | value of the terminal voltage at the instant tj |
| αβ | pairs of classes (α, β) |
| Πk_r | parameters for support function Sk,r |
| Πk_r_p | parameters for support functions for Sk,r,p |
| Π k_r_p_θ | parameters for support functions for Sk,r,p for the independent run θ |
| θ | index of independent run |
Appendix A
Formulas of Support Functions for k Classes
- k = 1 (tangent class): ,
- k = 2 (discontinuous tangent class): ,
- k = 3 (ellipse class): ,
- k = 4 (hybrid class): ,
Appendix B
Parameters of Signatures in the Case Studies
- CS1—variant 1Π4,a = [−330, −140.418355, 330, −1.206685841, 0.420320105, −0.047258484, −0.035609074, 1.202484554, −0.308513557, 0.144248474, 0.022806082, 0.03651306, −0.022899695, −0.124626143, 0.099514774, 1, 1.295577435, 2, 1, 1.754189568, 2, 0.888655841, 52.78957927, 0.999859037, 0.917880807, −1.397708597, 4.148622171, 0.157619968, 1.761067898, −2.122670194, −0.080660196, 5.385459126] (k = 4)Π4,d = [−330, 118.9286638, 330, −0.361468852, 0.688502883, −0.200663323, −0.148512041, 0.097511698, −2.511626743, 0.092887626, 0.122748098, 0.027469001, −0.022117557, −0.005939762, 0.188169526, 1, 1.414210761, 2, 1, 1.702698216, 2, 1.103277381, −82.01830691, 0.488170417, 0.999998666, 0.528450253, −8.335119225, −0.203313011, 3.217395098, −1.200149619, 0.318271017, 2.24209737] (k = 4)
- CS1—variant 3—ascending branch∏2,a,0.8= {556.03, −0.47, 534.11, 50.03, −0.02, 585.43}, (k = 2)∏4,a,0.2= {−330.00, −172.97, 330.00, −0.56,−2.82, −1.91, −0.28, 0.33, −0.10, −0.12, −0.09, 0.20, −0.18, −0.18, 0.19, 1.00, 1.83, 2.00, 1.00, 1.94, 2.00, 0.58, 119.96, 0.01, 0.01, −0.42, 0.20, −11.59, −188.84, 31.90, 0.22, 16.14}, (k = 4)
- CS1—variant 3—descending branch∏2,d,0.8= {227.51, −0.20, 742.48, 73.12, 0.20, 229.12} (k = 2)∏4,d,0.2= {−330.00, 196.48, 330.00, −2.86, 0.30, −0.50, −0.18, −2.71, −0.02, 0.15, 0.01, 0.18, −0.02, 0.11, −0.18, 1.00, 1.99, 2.00, 1.00, 1.86, 2.00, 2.45, −82.91, 0.73, 0.98, 2.04, 3.39, −0.08, −36.24, −3.95, 3.72, −6.12} (k = 4)
- CS2—variant 1Π4,a = {−330, 241.6747542, 330, −0.587658861, −1.335209714, −0.095339404, −0.013298896, −1.463871148, −1.714191146, 0.096798825, −0.017791487, 0.001821, −0.030286295, 0.113605457, 0.066772382, 1, 1.061342863, 2, 1, 1.788367122, 2, −9.623733523, 103.2716657, 0.115437276, 0.001643849, 0.099998635, 0.694929314, 3.729717528, 28.52497626, 14.94561319, 0.228573833, 2.590349053}, (k = 4)Π4,d = {−330, 288.4559656, 330, −0.69835913, −0.111541204, −0.059074186, −0.060037092, 0.244307797, −0.808240641, 0.097372815, 0.002130477, 0.002945137, −0.013426992, −0.13397473, 0.067751534, 1, 1.770772699, 2, 1, 1.202506319, 2, −5.866176442, −68.15071066, 0.038127945, 0.029464038, 0.999167982, 7.435667219, 1.638719605, 22.66760565, −13.52942425, 1.019871112, 8.475106618}, (k = 4)
- CS2—variant 3—ascending branch∏4,a,0.985 = {−330, −88.45682442, 330, −0.886627393, −0.1605959, −0.139920452, −2.961244482, 0.331960325, −0.606538542, −0.126281126, −0.007081717, 0.003747776, −0.193727474, −0.016503071, 0.06101668, 1, 1.495258987, 2, 1, 1.645819353, 2, −1.644319602, 59.60375292, 0.025791006, 0.012781753, −1.18456939, 2.397929641, 5.387719145, 21.4033764, −0.005029314, −1.313289822, 0.949587649}, (k = 4)∏4,a,0.015= {−330, −214.8841888, 330, −0.187740679, 1.266305623, −0.002663143, −2.988015647, 0.917751051, −0.241920167, −0.004266573, 0.038148773, 0.058082053, −0.191262526, −0.118784223, 0.185899854, 1, 1.272896179, 2, 1.601771352, 2, −13.6482072, 77.98802887, 0.325548382, 0.00302769, −4.998870972, 3.539275922, 2.387108621, 234.9170775, −0.00297658, −8.712786589, −4.671751987}, (k = 4)
- CS2—variant 3—descending branch∏3,d,0.015= {617.5344397, 1.001820073, 1.73558E−05, 49.99807013}, (k = 3)∏4,d,0.985 = {−330, −281.0068316, 330, −0.422513103, 1.468095482, −0.621639412, −1.525593683, 0.940312772, −0.007492236, 0.08659972, 0.015285928, −0.006155645, 0.013493475, −0.012187864, 0.168646641, 1, 1.597097378, 2, 1, 1.812436858, 2, 0.786945874, −66.86886724, 0.017088726, 0.025757337, 1.149448916, −1.052872026, −0.027335466, −3.787297011, 17.05746886, 0.056786824, 8.421205757}, (k = 4).
References
- Paredes-Valverde, M.A.; Alor-Hernández, G.; García-Alcaráz, J.L.; Salas-Zárate, M.P.; Colombo-Mendoza, L.O.; Sánchez-Cervantes, J.L. IntelliHome: An internet of things-based system for electrical energy saving in smart home environment. Comput. Intell. 2020, 36, 203–224. [Google Scholar] [CrossRef]
- Ju, C.; Wang, P.; Goeland, L.; Xu, Y. A Two-Layer Energy Management System for Microgrids With Hybrid Energy Storage Considering Degradation Costs. IEEE Trans. Smart Grid 2018, 9, 6047–6057. [Google Scholar] [CrossRef]
- Geng, L.; Wei, Y.; Lu, Z.; Yang, Y. A novel model for home energy management system based on Internet of Things. In Proceedings of the 2016 IEEE International Conference on Power and Renewable Energy (ICPRE 2016), Shanghai, China, 21–23 October 2016; pp. 474–480. [Google Scholar] [CrossRef]
- Rashid, H.; Stankovic, V.; Stankovicand, L.; Singh, P. Evaluation of Nonintrusive Load Monitoring Algorithms for Appliance-level Anomaly Detection. In Proceedings of the 2019 IEEE International Conference on Acoustics, Speech and Signal Processing (ICASSP 2019), Brighton, UK, 12–17 May 2019; pp. 8325–8329. [Google Scholar] [CrossRef]
- Ahmad, T.; Chen, H.; Wang, J.; Guo, Y. Review of various modeling techniques for the detection of electricity theft in smart grid environment. Renew. Sust. Energ. Rev. 2018, 82, 2916–2933. [Google Scholar] [CrossRef]
- Hart, G.W. Nonintrusive appliance load monitoring. Proc. IEEE 1992, 80, 1870–1891. [Google Scholar] [CrossRef]
- Lam, H.Y.; Fungand, G.S.K.; Lee, W.K. A Novel Method to Construct Taxonomy Electrical Appliances Based on Load Signatures. IEEE Trans. Consum. Electron. 2007, 53, 653–660. [Google Scholar] [CrossRef]
- Hassan, T.; Javedand, F.; Arshad, N. An Empirical Investigation of V-I Trajectory Based Load Signatures for Non-Intrusive Load Monitoring. IEEE Trans. Smart Grid 2014, 5, 870–878. [Google Scholar] [CrossRef]
- Longjun Wang, A.; Xiaomin Chen, B.; Gang Wang, C.; Hua, D. Non-intrusive load monitoring algorithm based on features of V-I trajectory. Electr. Power Syst. Res. 2018, 157, 134–144. [Google Scholar] [CrossRef]
- Iksan, N.; Sembiring, J.; Haryantoand, N.; Supangkat, S.H. Appliances identification method of non-intrusive load monitoring based on load signature of V-I trajectory. In Proceedings of the 2015 International Conference on Information Technology Systems and Innovation (ICITSI 2015), Bandung, Indonesia, 16–17 November 2015; pp. 1–6. [Google Scholar] [CrossRef]
- Du, L.; He, D.; Harleyand, R.G.; Habetler, T.G. Electric Load Classification by Binary Voltage–Current Trajectory Mapping. IEEE Trans. Smart Grid 2016, 7, 358–365. [Google Scholar] [CrossRef]
- De Baets, L.; Ruyssinck, J.; Develder, C.; Dhaene, T.; Deschrijver, D. Appliance classification using VI trajectories and convolutional neural networks. Energy Build. 2018, 158, 32–36. [Google Scholar] [CrossRef]
- De Baets, L.; Develder, C.; Dhaene, T.; Deschrijver, D. Detection of unidentified appliances in non-intrusive load monitoring using siamese neural networks. Int. J. Electr. Power Energy Syst. 2019, 104, 645–653. [Google Scholar] [CrossRef]
- Faustine, A.; Pereira, L. Improved Appliance Classification in Non-Intrusive Load Monitoring Using Weighted Recurrence Graph and Convolutional Neural Networks. Energies 2020, 13, 3374. [Google Scholar] [CrossRef]
- Faustine, A.; Pereira, L. Multi-Label Learning for Appliance Recognition in NILM Using Fryze-Current Decomposition and Convolutional Neural Network. Energies 2020, 13, 4154. [Google Scholar] [CrossRef]
- Baptista, D.; Mostafa, S.S.; Pereira, L.; Sousa, L.; Morgado-Dias, F. Implementation Strategy of Convolution Neural Networks on Field Programmable Gate Arrays for Appliance Classification Using the Voltage and Current (V-I) Trajectory. Energies 2018, 11, 2460. [Google Scholar] [CrossRef]
- Yang, C.C.; Soh, C.S.; Yap, V.V. A systematic approach in load disaggregation utilizing a multi-stage classification algorithm for consumer electrical appliances classification. Front. Energy 2019, 13, 386–398. [Google Scholar] [CrossRef]
- Liu, Y.; Wang, X.; You, W. Non-Intrusive Load Monitoring by Voltage–Current Trajectory Enabled Transfer Learning. IEEE Trans. Smart Grid 2019, 10, 5609–5619. [Google Scholar] [CrossRef]
- Căiman, D.V.; Dragomir, T.L. Nonintrusive load monitoring: Analytic expressions as load signature. In Proceedings of the IEEE 12th International Symposium on Applied Computational Intelligence and Informatics (SACI 2018), Timisoara, Romania, 17–19 May 2018; pp. 15–20. [Google Scholar] [CrossRef]
- Căiman, D.V.; Dragomir, T.L. Two voltage-current load signature classes for residential consumers. In Proceedings of the 22nd International Conference on System Theory, Control and Computing (ICSTCC 2018), Sinaia, Romania, 12–14 October 2018; pp. 176–181. [Google Scholar] [CrossRef]
- Căiman, D.V.; Dragomir, T.L. Empirical Voltage-current Signatures for Individual Household Consumers Obtained by Non-linear Regression. Stud. Inform. Control. 2019, 28, 201–212. [Google Scholar] [CrossRef]














| θ | C11 | C12 | … | C44 | |
|---|---|---|---|---|---|
| 1 | F11_r_p_1, Π1_r_p_1, Π1_r_1-p_1 | F12_r_p_1, Π1_r_p_1, Π2_r_1-p_1 | … | F44_r_p_1, Π4_r_p_1, Π4_r_1-p_1 | |
| … | … | … | … | … | … |
| 50 | F11_r_p_50, Π1_r_p_50, Π1_r_1-p_50 | F12_r_p_50, Π1_r_p_50, Π2_r_1-p_50 | … | F44_r_p_50, Π4_r_p_50, Π4_r_1-p_50 | |
| fp,r | fp,r,11 | fp,r,12 | fp,r,44 | fpr |
| f0.2,r,## = … | f0.4,r,## = … | f0.5,r,## = … | f0.6,r,24= 0.66 | f0.2,r,## = … |
| F0.2,r= … | F0.4,r= … | F0.5,r= … | F0.6,r=0.12345678 | F0.8,r= … |
| r | k = 1 | k = 2 | k = 3 | k = 4 |
|---|---|---|---|---|
| a | 0.413636 | 0.324093 | 0.714877 | 0.240222 |
| d | 0.205723 | 0.172016 | 0.649751 | 0.095465 |
| f0.2,a,44 = 0.78 F0.2,a = 0.2409420 | f0.4,a,44 = 0.64 F0.4,a = 0.239268202 | f0.5,a,44 = 0.56 F0.5,a = 0.238015452 | f0.6,a,44 = 0.46 F0.6,a = 0.237630446 | f0.8,a,24 = 0.56 F0.8,a = 0.219822977 |
| f0.2,d,44 = 0.82 F0.2,d = 0.09960277 | f0.4,d,44 = 0.58 F0.4,d = 0.10052771 | f0.5,d,24 = 0.56 F0.5,d = 0.094081329 | f0.6,d,24 = 0.54 F0.6,d = 0.102157999 | f0.8,d,24 = 0.56 F0.8,d = 0.09077883 |
| r | k = 1 | k = 2 | k = 3 | k = 4 |
|---|---|---|---|---|
| a | 6.442468 | 4.79007 | 1.026761 | 0.146579 |
| d | 6.604708 | 5.016284 | 1.084939 | 0.152357 |
| f0.05,a,34 = 0.88 F0.05,a = 0.12095 | … | f0.6,a,34 = 0.44 F0.6,a = 0.130791518 | … | f0.985,a,44 = 0.4 F0.985,a = 0.172632228 | (f0.6,a,44 = 0.42) (F0.6,a,44 = 0.100406146) |
| f0.015,d,34 = 0.88 F0.015,d = 0.132942854 | … | f0.05,d,34 = 0.82 F0.05,d = 0.124737 | … | f0.5,d,24 = 0.56 F0.5,d = 0.094081329 | f0.95,d,44 = 0.39 F0.95,d = 0.251224 |
Publisher’s Note: MDPI stays neutral with regard to jurisdictional claims in published maps and institutional affiliations. |
© 2020 by the authors. Licensee MDPI, Basel, Switzerland. This article is an open access article distributed under the terms and conditions of the Creative Commons Attribution (CC BY) license (http://creativecommons.org/licenses/by/4.0/).
Share and Cite
Căiman, D.-V.; Dragomir, T.-L. A Novel Method for Obtaining the Signature of Household Consumer Pairs. Energies 2020, 13, 6030. https://doi.org/10.3390/en13226030
Căiman D-V, Dragomir T-L. A Novel Method for Obtaining the Signature of Household Consumer Pairs. Energies. 2020; 13(22):6030. https://doi.org/10.3390/en13226030
Chicago/Turabian StyleCăiman, Dadiana-Valeria, and Toma-Leonida Dragomir. 2020. "A Novel Method for Obtaining the Signature of Household Consumer Pairs" Energies 13, no. 22: 6030. https://doi.org/10.3390/en13226030
APA StyleCăiman, D.-V., & Dragomir, T.-L. (2020). A Novel Method for Obtaining the Signature of Household Consumer Pairs. Energies, 13(22), 6030. https://doi.org/10.3390/en13226030
