Characteristic Analysis and Predictive Torque Control of the Modular Three-Phase PMSM for Low-Voltage High Power Application
Abstract
1. Introduction
- Compared with the traditional multiphase machine, the modular three-phase PMSM with the unconventional stator winding placement has the advantages of simpler structure, low cost, and facilitating the control method implementation.
- The mathematical model considering the asymmetrical mutual inductances of the modular three-phase PMSM is established to provide a more accurate torque control.
- The simulation results show that the torque ripple is lower than that achieved with the PI method and the experimental results show that the proposed machine with the PTC method can obtain a small stator current total harmonic distortion (THD).
2. The Characteristic Analysis of the Modular Three-Phase PMSM
2.1. Topology Winding Configuration of the Modular Three-Phase PMSM
2.2. Finite Element Analysis (FEA) of Modular Three-Phase PMSM
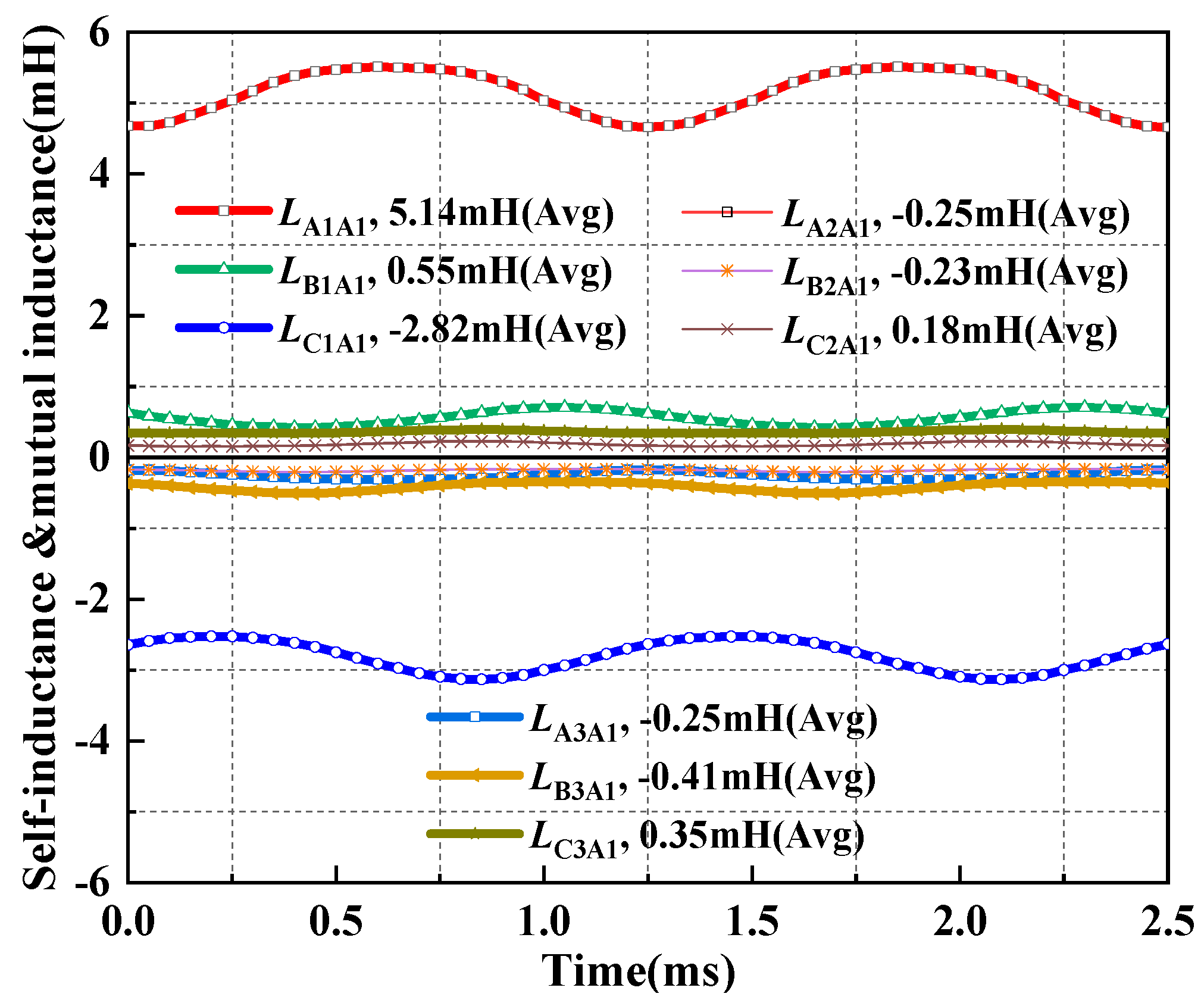
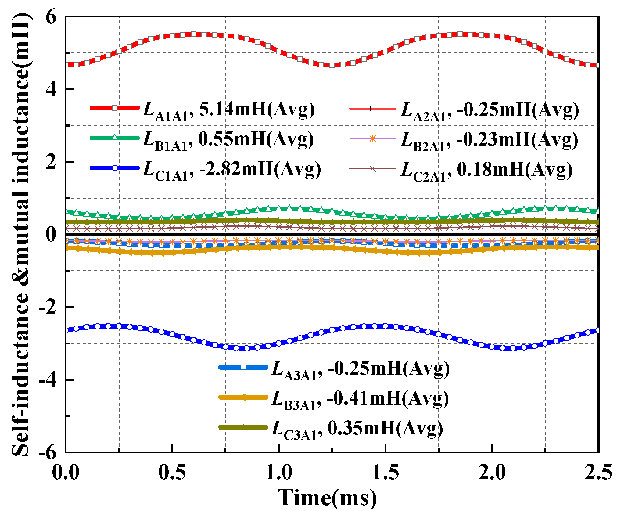
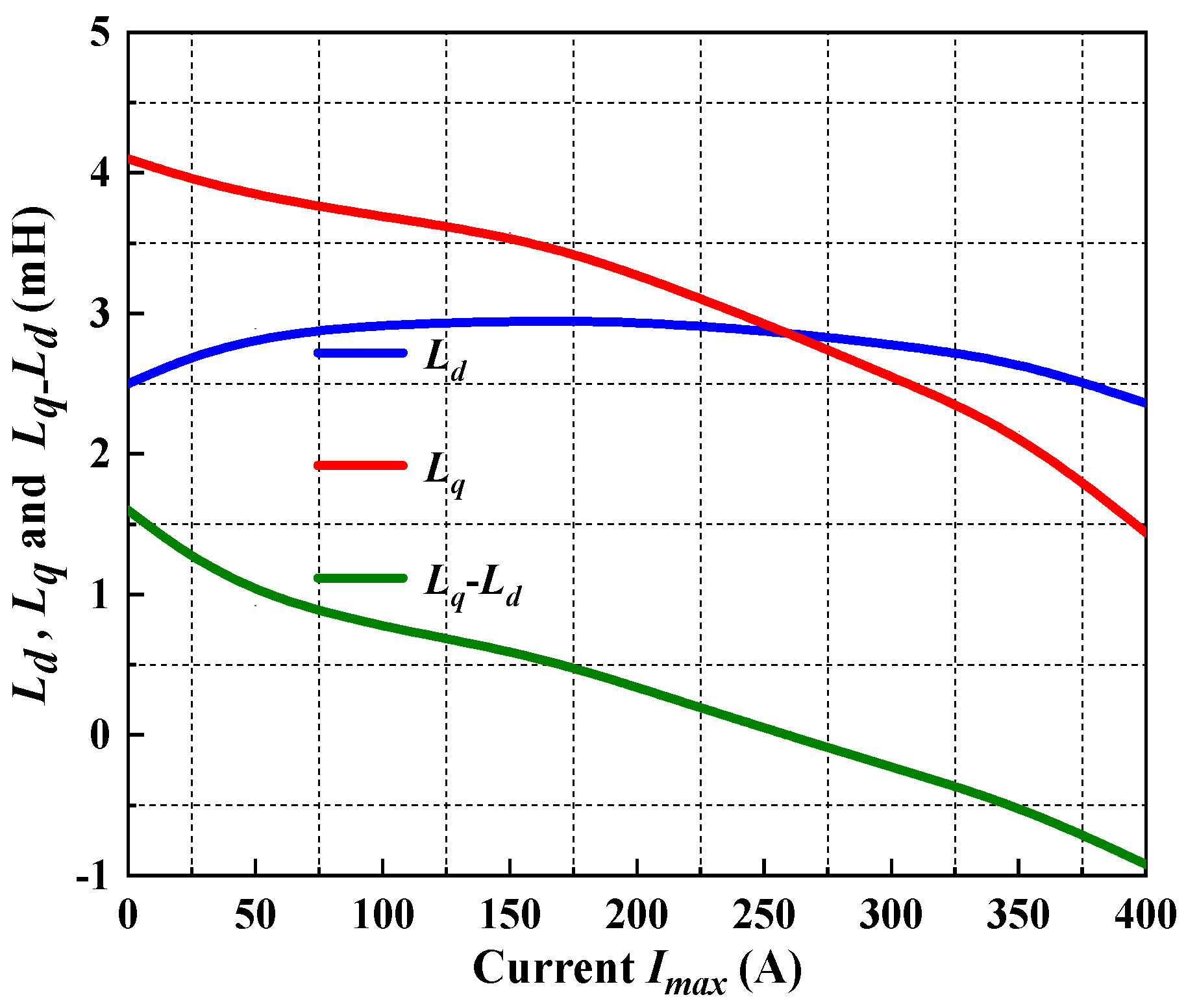
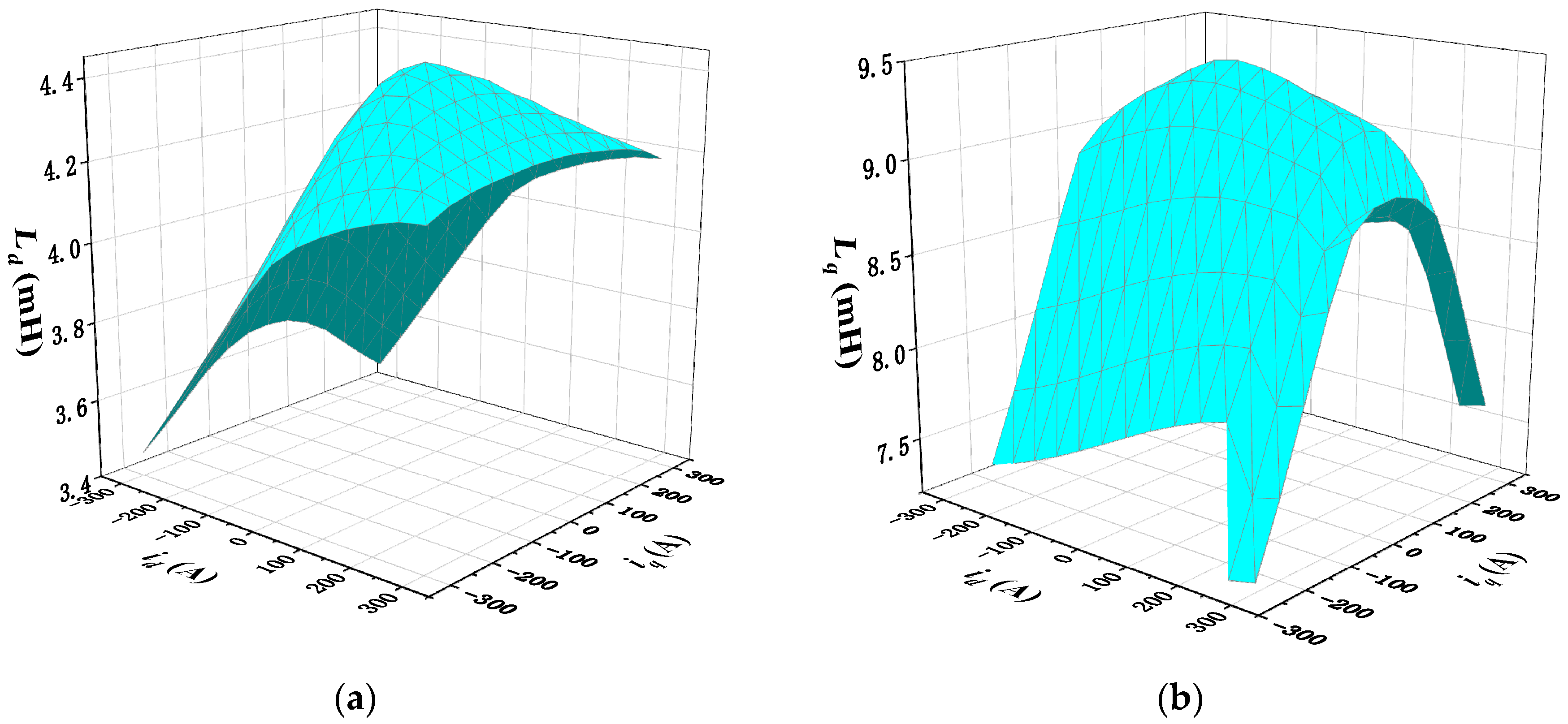
2.3. Winding Inductance Characteristices of Modular Three-Phase PMSM
3. Mathematical Model of Modular Three-Phase PMSM
3.1. Topology Winding Inductance Mathematical Model
3.2. Mathematical Equation of Modular Three-Phase PMSM
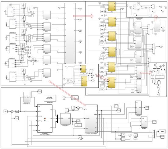
4. PTC of Modular Three-Phase PMSM
5. Experimental Results and Analysis
6. Conclusions
Author Contributions
Funding
Conflicts of Interest
References
- Hu, F.; Luo, D.; Luo, C.; Long, Z.; Wu, G. Cascaded Robust Fault-Tolerant Predictive Control for PMSM Drives. Energies 2018, 11, 3087. [Google Scholar] [CrossRef]
- Wang, K.; Lin, H. Modular Permanent Magnet Synchronous Machine with Low Space Harmonic Content. Energies 2020, 13, 3924. [Google Scholar] [CrossRef]
- Welchko, B.; Nagashima, J. The influence of topology selection on the design of EV/HEV propulsion systems. IEEE Power Electron. Lett. 2003, 2, 36–40. [Google Scholar] [CrossRef]
- Jung, E.; Yoo, H.; Sul, S.-K.; Choi, H.-S.; Choi, Y.-Y. A Nine-Phase Permanent-Magnet Motor Drive System for an Ultrahigh-Speed Elevator. IEEE Trans. Ind. Appl. 2012, 48, 987–995. [Google Scholar] [CrossRef]
- Takorabet, V.N.; Caron, J.P.; Mobarakeh, B.N.; Tabar, F.M.; Humbert, G. Study of different ar-chitectures of fault-tolerant actuator using a two-channel PM motor. IEEE Trans. Ind. Appl. 2011, 47, 47–54. [Google Scholar]
- Patel, V.I.; Wang, J.; Nair, S.S. Demagnetization Assessment of Fractional-Slot and Distributed Wound 6-Phase Permanent Magnet Machines. IEEE Trans. Magn. 2015, 51, 1–11. [Google Scholar] [CrossRef]
- Miyama, Y.; Akatsu, K. Technical arrangement of high-performance techniques achieved by multi-phase permanent magnet synchronous motor systems. In Proceedings of the Energy Conversion Congress and Exposition, Portland, USA, 23–27 September 2018; pp. 1574–1580. [Google Scholar] [CrossRef]
- Wang, X.; Wang, Z.; Xu, Z. A Hybrid Direct Torque Control Scheme for Dual Three-Phase PMSM Drives with Improved Operation Performance. IEEE Trans. Power Electron. 2018, 34, 1622–1634. [Google Scholar] [CrossRef]
- Cui, S.; Zhao, T.; Du, B.; Cheng, Y. Multiphase PMSM with Asymmetric Windings for Electric Drive. Energies 2020, 13, 3765. [Google Scholar] [CrossRef]
- Abduallah, A.A.; Dordevic, O.; Jones, M.; Levi, E. Regenerative Test for Multiple Three-Phase Machines With Even Number of Neutral Points. IEEE Trans. Ind. Electron. 2020, 67, 1684–1694. [Google Scholar] [CrossRef]
- Lamichhane, A.; Zhou, L.; Yao, G.; Luqman, M. Modeling, Control and Power Management of Six-Phase PMSM Based Shipboard MVDC Distribution System. Energies 2020, 13, 4229. [Google Scholar] [CrossRef]
- Demir, Y.; Yolacan, E.; El-Refaie, A.M.; Aydin, M. Investigation of Different Winding Configurations and Displacements of a Nine-Phase Permanent-Magnet-Synchronous Motor With Unbalanced AC Winding Structure. IEEE Trans. Magn. 2019, 55, 3660–3670. [Google Scholar] [CrossRef]
- Demir, Y.; Aydın, M. A Novel Asymmetric and Unconventional Stator Winding Configuration and Placement for a Dual Three-Phase Surface PM Motor. IEEE Trans. Magn. 2017, 53, 1–5. [Google Scholar] [CrossRef]
- Önsal, M.; Demir, Y.; Aydin, M. A New Nine-Phase Permanent Magnet Synchronous Motor With Consequent Pole Rotor for High-Power Traction Applications. IEEE Trans. Magn. 2017, 53, 1–6. [Google Scholar] [CrossRef]
- Demir, Y.; Aydin, M. A Novel Dual Three-Phase Permanent Magnet Synchronous Motor With Asymmetric Stator Winding. IEEE Trans. Magn. 2016, 52, 1–5. [Google Scholar] [CrossRef]
- Barcaro, M.; Bianchi, N.; Magnussen, F. Analysis and Tests of a Dual Three-Phase 12-Slot 10-Pole Permanent-Magnet Motor. IEEE Trans. Ind. Appl. 2010, 46, 2355–2362. [Google Scholar] [CrossRef]
- Luise, F.; Pieri, S.; Mezzarobba, M.; Tessarolo, A. Regenerative Testing of a Concentrated-Winding Permanent-Magnet Synchronous Machine for Offshore Wind Generation—Part I: Test Concept and Analysis. IEEE Trans. Ind. Appl. 2012, 48, 1779–1790. [Google Scholar] [CrossRef]
- Luise, F.; Pieri, S.; Mezzarobba, M.; Tessarolo, A. Regenerative Testing of a Concentrated-Winding Permanent-Magnet Synchronous Machine for Offshore Wind Generation—Part II: Test Implementation and Results. IEEE Trans. Ind. Appl. 2012, 48, 1791–1796. [Google Scholar] [CrossRef]
- Wang, B.; Wang, J.; Griffo, A.; Sen, B. A general modeling technique for a triple redundant 3 × 3-phase PMA SynRM. IEEE Trans. Ind. Electron. 2018, 65, 9068–9078. [Google Scholar] [CrossRef]
- Han, X.; Jiang, D.; Zou, T.; Qu, R.; Yang, K. Two-Segment Three-Phase PMSM Drive With Carrier Phase-Shift PWM for Torque Ripple and Vibration Reduction. IEEE Trans. Power Electron. 2019, 34, 588–599. [Google Scholar] [CrossRef]
- Bhattacharya, S.; Mascarella, D.; Joos, G.; Cyr, J.-M.; Xu, J. A Dual Three-Level T-NPC Inverter for High-Power Traction Applications. IEEE J. Emerg. Sel. Top. Power Electron. 2016, 4, 668–678. [Google Scholar] [CrossRef]
- Belda, K.; Vosmik, D. Explicit Generalized Predictive Control of Speed and Position of PMSM Drives. IEEE Trans. Ind. Electron. 2016, 6, 3889–3896. [Google Scholar] [CrossRef]
- Zhang, C.; Wu, G.; Rong, F.; Feng, J.; Jia, L.; He, J.; Huang, S.; Fei, R. Robust Fault-Tolerant Predictive Current Control for Permanent Magnet Synchronous Motors Considering Demagnetization Fault. IEEE Trans. Ind. Electron. 2017, 65, 5324–5534. [Google Scholar] [CrossRef]
- Huang, S.; Wu, G.; Rong, F.; Zhang, C.; Huang, S.; Wu, Q. Novel predictive stator flux control tech-niques for PMSM drives. IEEE Trans. Power Electron. 2018, 34, 8916–8929. [Google Scholar] [CrossRef]
- Zhu, X.; Wu, W.; Yang, S.; Xiang, Z.; Quan, L. Comparative Design and Analysis of New Type of Flux-Intensifying Interior Permanent Magnet Motors With Different Q-Axis Rotor Flux Barriers. IEEE Trans. Energy Convers. 2018, 33, 2260–2270. [Google Scholar] [CrossRef]
- Zhu, X.; Huang, J.; Quan, L.; Xiang, Z.; Shi, B. Comprehensive Sensitivity Analysis and Multiobjective Optimization Research of Permanent Magnet Flux-Intensifying Motors. IEEE Trans. Ind. Electron. 2019, 66, 2613–2627. [Google Scholar] [CrossRef]

























| Parameter | Value | Parameter | Value |
|---|---|---|---|
| Rated power | 53 kW | Rotor flux | 0.799 Wb |
| Rated speed | 800 r/min | Stator resistance | 0.02 Ω |
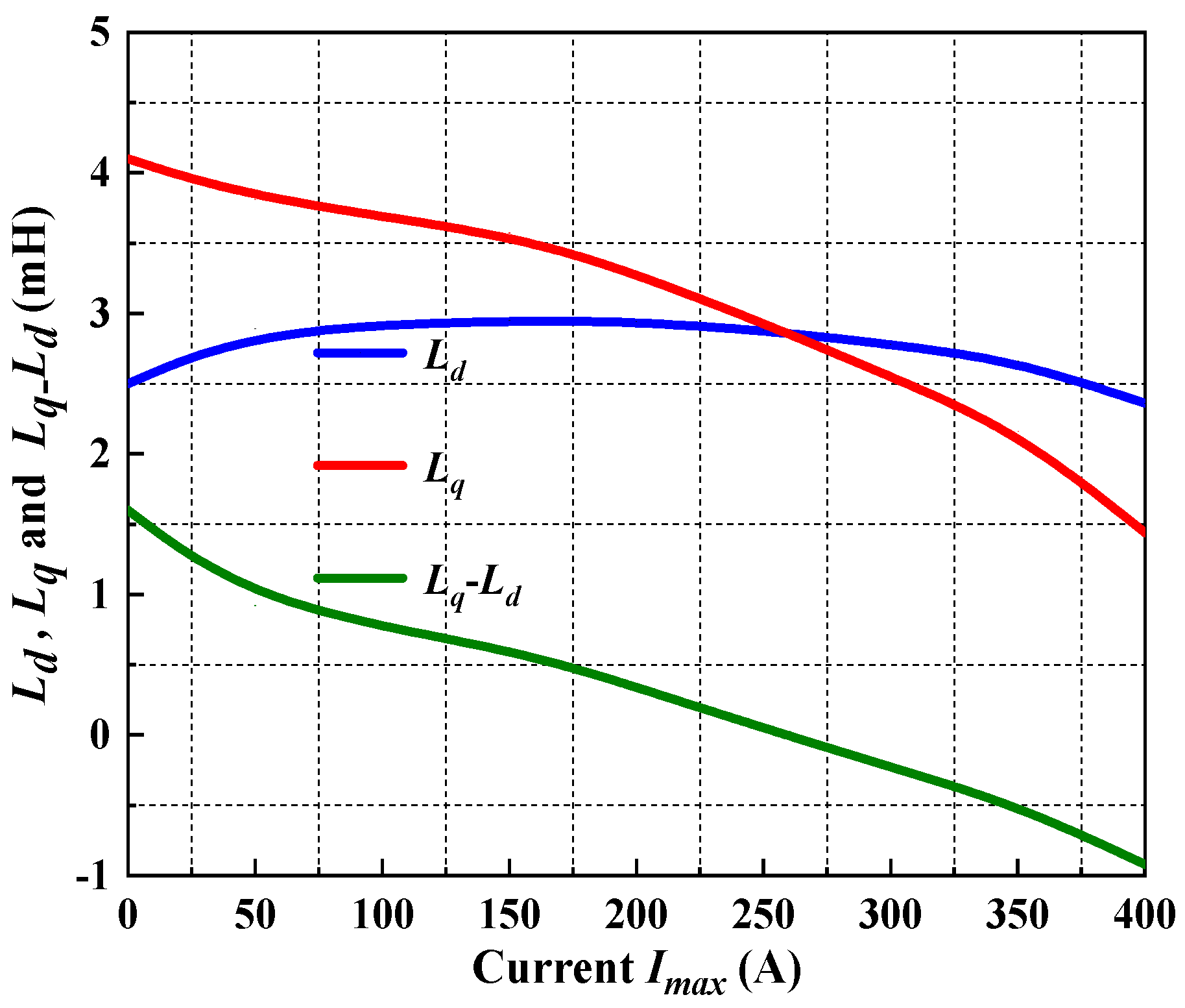
| Rated current | 130 A | d axis inductance | 2.5 mH |
| Stator outer diameter | 600 mm | q axis inductance | 4.1 mH |
| Stator stack length | 1500 mm | Type of magnet | Br = 1.2 T, ur = 1.05 |
| Parameter | Dc Component | The 2nd Harmonic (Peak) |
|---|---|---|
| LA1A1 | 5.14 mH | 0.43 mH |
| LA1C1 | 2.81 mH | 0.31 mH |
| LB1C1 | 2.81 mH | 0.31 mH |
| LA1B1 | 0.55 mH | 0.14 mH |
| Parameter | Value | Parameter | Value |
|---|---|---|---|
| Rated power | 20 kW | Rotor flux | 0.058 Wb |
| Rated voltage | 380 V | Stator resistance | 0.07 Ω |
| Rated speed | 600 r/min | d inductance | 0.51 mH |
| DC bus voltage | 250 V | q inductance | 0.85 mH |
| Pole pairs | 2 | - | - |
Publisher’s Note: MDPI stays neutral with regard to jurisdictional claims in published maps and institutional affiliations. |
© 2020 by the authors. Licensee MDPI, Basel, Switzerland. This article is an open access article distributed under the terms and conditions of the Creative Commons Attribution (CC BY) license (http://creativecommons.org/licenses/by/4.0/).
Share and Cite
Rao, Z.; Zhang, W.; Wu, G.; Zheng, J.; Huang, S. Characteristic Analysis and Predictive Torque Control of the Modular Three-Phase PMSM for Low-Voltage High Power Application. Energies 2020, 13, 5606. https://doi.org/10.3390/en13215606
Rao Z, Zhang W, Wu G, Zheng J, Huang S. Characteristic Analysis and Predictive Torque Control of the Modular Three-Phase PMSM for Low-Voltage High Power Application. Energies. 2020; 13(21):5606. https://doi.org/10.3390/en13215606
Chicago/Turabian StyleRao, Zhimeng, Wenjuan Zhang, Gongping Wu, Jian Zheng, and Shoudao Huang. 2020. "Characteristic Analysis and Predictive Torque Control of the Modular Three-Phase PMSM for Low-Voltage High Power Application" Energies 13, no. 21: 5606. https://doi.org/10.3390/en13215606
APA StyleRao, Z., Zhang, W., Wu, G., Zheng, J., & Huang, S. (2020). Characteristic Analysis and Predictive Torque Control of the Modular Three-Phase PMSM for Low-Voltage High Power Application. Energies, 13(21), 5606. https://doi.org/10.3390/en13215606
