PV Forecast for the Optimal Operation of the Medium Voltage Distribution Network: A Real-Life Implementation on a Large Scale Pilot
Abstract
1. Introduction
2. Forecasting Methods Classification and Related Works
- Very short term—forecast horizon up to 6 h, usually performed with higher time resolutions.
- Short term—forecast horizon between 6 h and up to 3 days.
- Medium term—forecast horizon between 3 days and several months.
- Long term—forecast horizon between several months and multiple years.
3. Methodology and Offline Validation
3.1. Dataset
- X1—clear sky GHI;
- X2—forecasted GHI;
- X3—temperature;
- X4—precipitation;
- X5—wind speed;
- X6—daily insulation;
- X7—hour of the day.
3.2. Methods Investigated
3.2.1. Persistence
3.2.2. Linear Regression
3.2.3. Support Vector Machine
3.2.4. Tree-Based Methods
3.2.5. Neural Networks
- Eight numerical predictors in input;
- One numerical output, power produced by the PV plant;
- Sigmoid activation function in the single neuron;
- Error back propagation with the Levenberg–Markquard algorithm for training;
- Mean square error (MSE) adopted as the error definition during the learning process.
3.3. Validation and Performance Indices
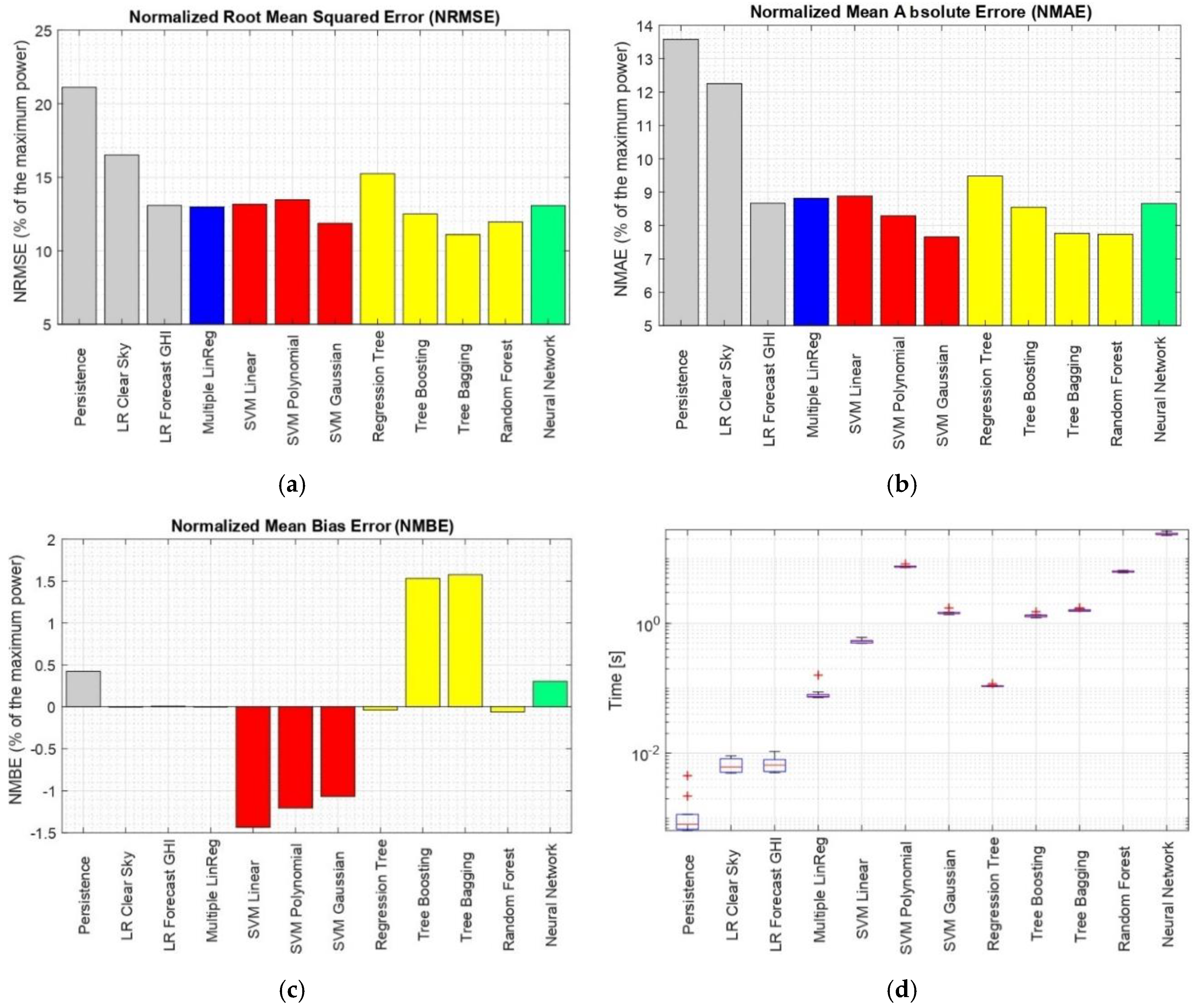
3.4. Preliminary Results
4. Real-Life Forecast Implementation
4.1. Model Selection for the Mobile Forecast and Parameter Optimization
- Training set size {3 days, 7 days, 14 days, 21 days, 28 days, 35 days};
- Features used {1, 2, 3, 4, 5};
- Number of trees {25, 50, 150, 250}.
- Forecasted solar GHI;
- Time vector—hour of the day;
- Clear sky GHI;
- Forecasted temperature;
- Forecasted humidity.
- Plant 1: Prated = 2300 kW; Pmax = 1974 kW.
- Plant 2: Prated = 100 kW; Pmax = 80.7 kW.
4.2. Model Optimization Results
4.3. Accuracy Analytics on the Architecture Adopted in the Project
5. Conclusions
Author Contributions
Funding
Conflicts of Interest
References
- Ourworldindata. Available online: https://ourworldindata.org/fossil-fuels (accessed on 15 August 2020).
- Ec Europa. Available online: https://ec.europa.eu/energy/sites/ener/files/documents/trends_to_2050_update_2013.pdf (accessed on 15 August 2020).
- UNFCCC—Kyoto Protocol. Available online: https://unfccc.int/kyoto_protocol (accessed on 15 August 2020).
- UNFCCC—Paris Agreement. Available online: https://unfccc.int/process-and-meetings/the-paris-agreement/the-paris-agreement (accessed on 15 August 2020).
- Ec Europa. Available online: https://ec.europa.eu/clima/policies/strategies/2020 (accessed on 17 August 2020).
- IRENA. Available online: https://irena.org/-/media/Files/IRENA/Agency/Publication/2020/Mar/IRENA_RE_Capacity_Highlights_2020.pdf?la=en&hash=B6BDF8C3306D271327729B9F9C9AF5F1274FE30B (accessed on 20 August 2020).
- IRENA. Available online: https://www.irena.org/costs (accessed on 20 August 2020).
- IEA. Available online: https://www.iea.org/data-and-statistics/charts/solar-pv-power-generation-in-the-sustainable-development-scenario-2000-2030 (accessed on 20 August 2020).
- InteGRIDy. Available online: http://www.integridy.eu/ (accessed on 20 August 2020).
- Antonanzas, J.; Osorio, N.; Escobar, R.; Urraca, R.; Martinez-de-Pison, F.J.; Antonanzas-Torres, F. Review of photovoltaic power forecasting. Solar Energy 2016, 136, 78–111. [Google Scholar] [CrossRef]
- Sreekumar, S.; Bhakar, R. Solar Power Prediction Models: Classification Based on Time Horizon, Input, Output and Application. In Proceedings of the International Conference on Inventive Research in Computing Applications, Coimbatore, India, 11–12 July 2018. [Google Scholar]
- Dolara, A.; Leva, S.; Manzolini, G. Comparison of different physical models for PV power output prediction. Solar Energy 2015, 119, 83–89. [Google Scholar] [CrossRef]
- Lorenz, E.; Hurka, J.; Heinemann, D.; Beyer, H.G. Irradiance Forecasting for the Power Prediction of Grid-connected Photovoltaic Systems. IEEE J. Sel. Top. Appl. Earth Obs. Remote Sens. 2009, 2, 2–10. [Google Scholar] [CrossRef]
- Tato, J.H.; Brito, M.C. Using Smart Persistence and Random Forests to Predict Photovoltaic Energy Production. Energies 2019, 12, 100. [Google Scholar] [CrossRef]
- Samanta, M.J.; Srikanth, B.K.; Yerrapragada, J.B. Short-Term Power Forecasting of Solar PVSystems Using Machine Learning Techniques. Available online: https://pdfs.semanticscholar.org/c1e5/7d5b888d8347dfc831c255bd1f374ee397a6.pdf (accessed on 1 July 2020).
- Diagne, M.; David, M.; Lauret, P.; Boland, J.; Schmutz, N. Review of solar irradiance forecasting methods and a proposition for small-scale insular grids. Renew. Sustain. Energy Rev. 2013, 27, 65–76. [Google Scholar]
- Ramsami, P.; Oree, V. A hybrid method for forecasting the energy output of photovoltaic systems. Energy Convers. Manag. 2015, 95, 406–413. [Google Scholar] [CrossRef]
- Lahouar, A.; Mejri, A.; Slama, J.B.H. Importance based selection method for day-ahead photovoltaic power forecast using random forests. In Proceedings of the International conference on Green Energy Conversion Systems, Hammamet, Tunisia, 23–25 March 2017. [Google Scholar]
- Wolff, B.; Kuhnert, J.; Lorenz, E.; Kramer, O.; Heinemann, D. Comparing support vector regression for PV power forecasting to a physical modeling approach using measurement, numerical weather prediction, and cloud motion data. Solar Energy 2016, 135, 197–208. [Google Scholar] [CrossRef]
- Abuella, M.; Chowdhury, B. Random forest ensemble of support vector regression models for solar power forecasting. In Proceedings of the IEEE Power & Energy Society Innovative Smart Grid Technologies Conference, Washington, DC, USA, 23–26 April 2017. [Google Scholar]
- Jimenez, L.A.F.; Jimenez, A.M.; Falces, A.; Vilena, M.M.; Garrido, E.G.; Santilian, P.M.L.; Alba, E.Z.; Santamaria, J.Z. Short-term power forecasting system for photovoltaic systems. Renew. Energy 2012, 44, 311–317. [Google Scholar] [CrossRef]
- Lee, D.; Kim, K. Reccurent Neural Network-Based Hourly Prediction of Photovoltaic Power Output Using Meteorological Information. Energies 2019, 12, 215. [Google Scholar] [CrossRef]
- Ahmad, M.W.; Mourshed, M.; Rezgui, Y. Tree-based ensemble methods for predicting PV power generation and their comparison with support vector regression. Energy 2018, 164, 465–474. [Google Scholar] [CrossRef]
- Geurts, P.; Ernst, D.; Wehenkel, L. Extremely randomized trees. Mach. Learn. 2006, 63, 3–42. [Google Scholar] [CrossRef]
- Zamo, M.; Mestre, O.; Arbogast, P.; Pannekoucke, O. A benchmark of statistical regression methods for short-term forecasting of photovoltaic electricity production, part I: Deterministic forecast of hourly production. Solar Energy 2014, 105, 792–803. [Google Scholar]
- Shi, J.; Lee, W.J.; Liu, Y.; Yang, Y.; Wang, P. Forecasting power output of photovoltaic system based on weather classification and support vector machine. In Proceedings of the IEEE Industry Applications Society Annual Meeting, Orlando, FL, USA, 9–13 October 2011. [Google Scholar]
- Dong, B.; Cao, C.; Lee, S.E. Applying support vector machines to predict building energy consumption in tropical region. Energy Build. 2005, 37, 545–553. [Google Scholar] [CrossRef]
- Atique, S.; Noureen, S.; Roy, V.; Subburaj, V.; Bayne, S.; Macfie, J. Forecasting of total daily solar energy generation using ARIMA: A case study. In Proceedings of the 2019 IEEE 9th Annual Computing and Communication Workshop and Conference, Las Vegas, NV, USA, 7–9 January 2019. [Google Scholar]
- Monteiro, C.; Jimenez, L.A.F.; Rosado, I.J.R.; Jimenez, A.M.; Santilan, P.M.L. Short-term Forecasting Models for Photovoltaic Plants: Analytical versus Soft-Computing Techniques. Math. Probl. Eng. 2013, 2013, 1–9. [Google Scholar] [CrossRef]
- Raza, M.Q.; Nadarajah, M.; Ekanayake, C. On recent advances in PV output power forecast. Solar Energy 2016, 136, 125–144. [Google Scholar] [CrossRef]
- Pedro, H.T.C.; Coimbra, C.F.M. Assessment of forecasting techniques for solar power production with no exogenous inputs. Solar Energy 2012, 86, 2017–2028. [Google Scholar] [CrossRef]
- Chen, C.; Duan, S.; Cai, T.; Liu, B. Online 24-h solar power forecasting based on weather type classification using artificial neural network. Solar Energy 2011, 85, 2856–2870. [Google Scholar] [CrossRef]
- Bacher, P.; Madsen, H.; Nielsen, H.A. Online short-term solar power forecasting. Solar Energy 2009, 10, 1772–1783. [Google Scholar] [CrossRef]
- MATLAB. Available online: https://www.mathworks.com/products/matlab.html (accessed on 10 January 2018).
- DataMeteo. Available online: www.Datameteo.com (accessed on 11 March 2018).
- Soda-PRO. Available online: http://www.soda-pro.com/documents/10157/326332/CAMS72_2015SC3_D72.1.3.1_2018_UserGuide_v1_201812.pdf/95ca8325-71f6-49ea-b5a6-8ae4557242bd (accessed on 1 February 2020).
- Abuella, M.; Chowdhury, B. Solar Power Forecasting Using Support Vector Regression. In Proceedings of the American Society for Engineering Management International Annual Conference, Charlotte, NC, USA, 26–29 October 2016. [Google Scholar]
- Saedsayad. Available online: https://www.saedsayad.com/support_vector_machine_reg.htm (accessed on 3 August 2020).
- Hastie, T.; Tibshirani, R.; Friedman, J. Kernel Smoothing Methods. In The Elements of Statistical Learning, 2nd ed.; Springer: New York, NY, USA, 2009; pp. 191–216. [Google Scholar]
- Ahmad, M.W.; Mourshed, M.; Rezgui, Y. Trees vs. neurons: Comparison between random forest and ANN for high-resolution prediction of building energy consumption. Energy Build. 2017, 147, 77–89. [Google Scholar] [CrossRef]
- Ibrahim, I.A.; Khatib, T.; Mohamed, A.; Elmenreich, W. Modeling of the output current of a photovoltaic grid-connected system using random forest technique. Energy Explor. Exploit. 2017, 36, 132–148. [Google Scholar] [CrossRef]
- TowardsDataScience. Available online: https://towardsdatascience.com/optimizing-hyperparameters-in-random-forest-classification-ec7741f9d3f6 (accessed on 10 August 2020).
- Hastie, T.; Tibshirani, R.; Friedman, J. Boosting and Additive Trees. In The Elements of Statistical Learning, 2nd ed.; Springer: New York, NY, USA, 2009; pp. 337–384. [Google Scholar]
- Kashyap, Y.; Bansal, A.; Sao, A.K. Solar radiation forecasting with multiple parameters neural networks. Renew. Sustain. Energy Rev. 2015, 49, 825–835. [Google Scholar] [CrossRef]
- Dolara, A.; Grimaccia, F.; Leva, S.; Musseta, M. A Physical Hybrid Artificial Network for Short Term Forecasting of PV Plant Power Output. Energies 2015, 8, 1138–1153. [Google Scholar] [CrossRef]
- Falabretti, D.; Moncecchi, M.; Mirbagheri, M.; Bovera, F.; Fiori, M.; Merlo, M.; Delfanti, M. San Severino Marche Smart Grid Pilot within the InteGRIDy project. Energy Procedia 2018, 155, 431–442. [Google Scholar] [CrossRef]









| Online Power Output Forecasting Procedure Flowchart |
|---|
| (a) Forecast the production of plants with available measurements For each of the nine plants with available real-time measurements: 1: Select the closest weather station based on latitude and longitude. 2: From the database, read the power production for the last training days, starting at the current day at 00:00. 3: Sample the data such as , where t is each hour from the training set. 4: Perform data scan to exclude any corrupted power measurements. An algorithm assuming linearity between the produced power and forecasted GHI is implemented. 5: From the database, for each hour read the latest available historical weather forecast from the weather station selected in step 1 for the last training days. 6: Synchronize the historical power production and weather forecast vector. 7: Train the algorithm adopting the synchronized vector of the dataset. 8: Using the weather forecast for the following 72 h and the trained model, forecast the power production output for the same period. 9: Save the forecasted data in the database (b) Calculate the average normalized power production forecast with respect to , to be used by the algorithms for plants without available measurements. 1: For each hour of the 72-h interval. 2: Save the average normalized forecast in the project’s database. |
| 3 Days | 7 Days | 14 Days | 21 Days | 28 Days | 35 Days | |
|---|---|---|---|---|---|---|
| 1 Feature | 15.471 | 14.496 | 15.221 | 15.282 | 15.299 | 15.416 |
| 2 Features | 14.934 | 13.379 | 13.099 | 12.824 | 12.848 | 12.914 |
| 3 Features | 15.540 | 13.998 | 13.590 | 13.185 | 13.208 | 13.156 |
| 4 Features | 15.722 | 13.905 | 13.517 | 13.065 | 13.036 | 13.061 |
| 5 Features | 15.462 | 13.809 | 13.221 | 12.859 | 12.791 | 12.811 |
| 3 Days | 7 Days | 14 Days | 21 Days | 28 Days | 35 Days | |
|---|---|---|---|---|---|---|
| 1 Feature | 19.730 | 18.359 | 19.414 | 19.782 | 19.748 | 19.610 |
| 2 Features | 17.664 | 15.160 | 14.620 | 14.340 | 14.364 | 14.402 |
| 3 Features | 18.175 | 15.798 | 15.085 | 14.808 | 14.827 | 14.836 |
| 4 Features | 18.406 | 16.020 | 15.299 | 14.851 | 14.679 | 14.699 |
| 5 Features | 18.282 | 15.884 | 15.006 | 14.754 | 14.486 | 14.598 |
| 3 Days | 7 Days | 14 Days | 21 Days | 28 Days | 35 Days | |
|---|---|---|---|---|---|---|
| 1 Feature | 2.51 | 3.19 | 4.79 | 5.80 | 11.24 | 12.16 |
| 2 Features | 2.56 | 3.15 | 5.03 | 5.83 | 11.79 | 12.41 |
| 3 Features | 2.49 | 3.10 | 5.02 | 5.73 | 11.45 | 12.27 |
| 4 Features | 2.58 | 3.25 | 5.16 | 6.07 | 11.90 | 12.49 |
| 5 Features | 2.54 | 3.18 | 5.11 | 6.01 | 12.02 | 12.38 |
© 2020 by the authors. Licensee MDPI, Basel, Switzerland. This article is an open access article distributed under the terms and conditions of the Creative Commons Attribution (CC BY) license (http://creativecommons.org/licenses/by/4.0/).
Share and Cite
Dimovski, A.; Moncecchi, M.; Falabretti, D.; Merlo, M. PV Forecast for the Optimal Operation of the Medium Voltage Distribution Network: A Real-Life Implementation on a Large Scale Pilot. Energies 2020, 13, 5330. https://doi.org/10.3390/en13205330
Dimovski A, Moncecchi M, Falabretti D, Merlo M. PV Forecast for the Optimal Operation of the Medium Voltage Distribution Network: A Real-Life Implementation on a Large Scale Pilot. Energies. 2020; 13(20):5330. https://doi.org/10.3390/en13205330
Chicago/Turabian StyleDimovski, Aleksandar, Matteo Moncecchi, Davide Falabretti, and Marco Merlo. 2020. "PV Forecast for the Optimal Operation of the Medium Voltage Distribution Network: A Real-Life Implementation on a Large Scale Pilot" Energies 13, no. 20: 5330. https://doi.org/10.3390/en13205330
APA StyleDimovski, A., Moncecchi, M., Falabretti, D., & Merlo, M. (2020). PV Forecast for the Optimal Operation of the Medium Voltage Distribution Network: A Real-Life Implementation on a Large Scale Pilot. Energies, 13(20), 5330. https://doi.org/10.3390/en13205330

