Mathematical Model of Carbon Dioxide Injection into a Porous Reservoir Saturated with Methane and Its Gas Hydrate
Abstract
1. Introduction
2. Mathematical Model
2.1. Problem Statement
2.2. Description of the CH4-CO2 Replacement Kinetics in the Hydrate
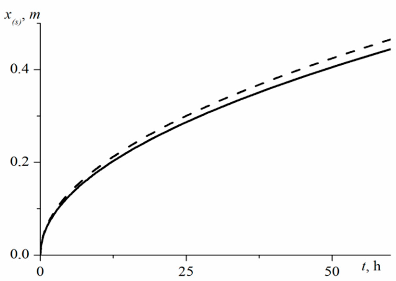
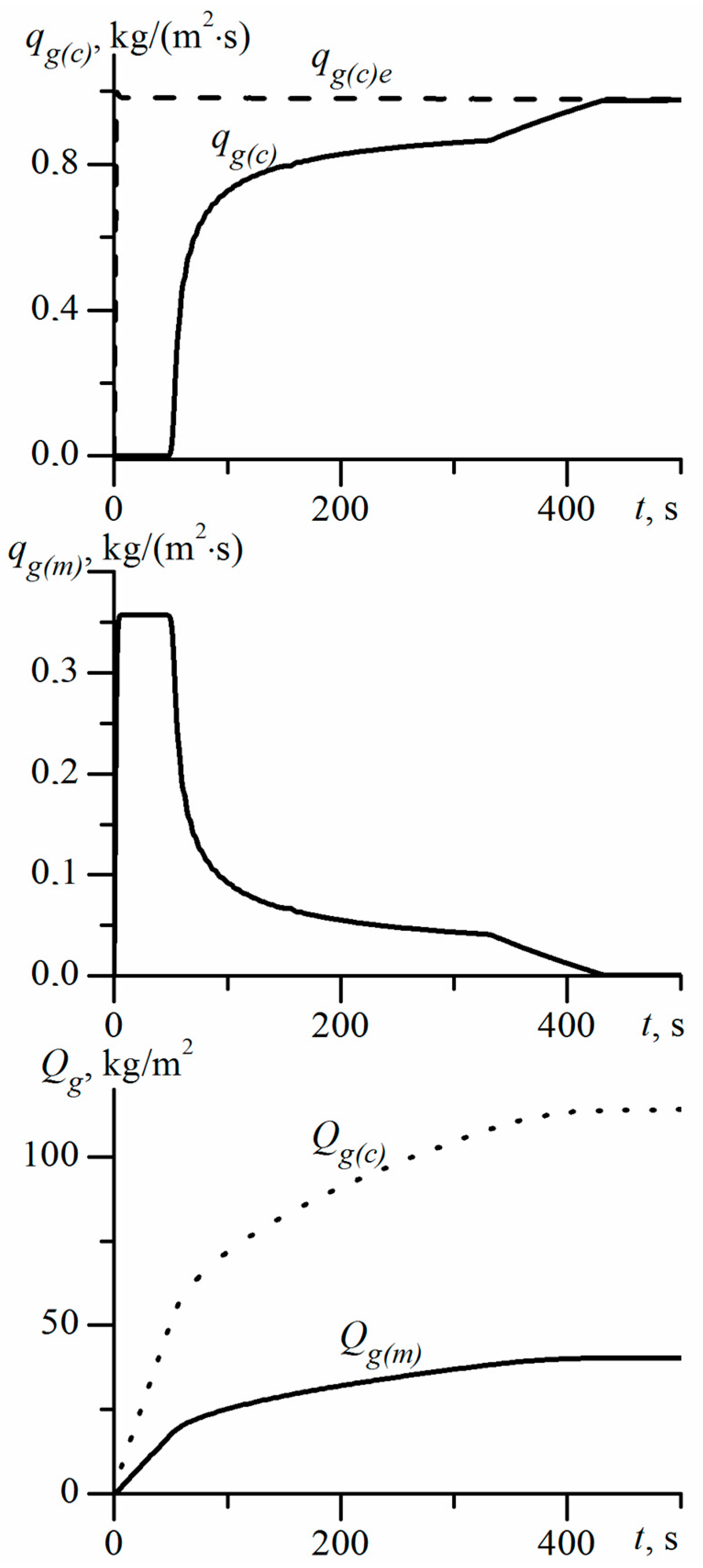
3. Calculation Results
4. Conclusions
Author Contributions
Funding
Conflicts of Interest
References
- Makogon, Y.F. Hydrates of Hydrocarbons; PennWell Publishing Company: Tulsa, OK, USA, 1997. [Google Scholar]
- Makogon, Y.F. Natural gas hydrates—A promising source of energy. J. Nat. Gas Sci. Eng. 2010, 2, 49–59. [Google Scholar] [CrossRef]
- Makogon, Y.F.; Holditch, S.A.; Makogon, T.Y. Natural gas-hydrates—A potential energy source for the 21st Century. J. Pet. Sci. Eng. 2007, 56, 14–31. [Google Scholar] [CrossRef]
- Wang, Y.; Zhan, L.; Feng, J.-C.; Li, X.-S. Influence of the particle size of sandy sediments on heat and mass transfer characteristics during methane hydrate dissociation by thermal stimulation. Energies 2019, 12, 4227. [Google Scholar] [CrossRef]
- Vasil’ev, V.I.; Popov, V.V.; Tsypkin, G.G. Numerical investigation of the decomposition of gas hydrates coexisting with gas in natural reservoirs. Fluid Dyn. 2006, 41, 599–605. [Google Scholar] [CrossRef]
- Nazmutdinov, F.F.; Khabibullin, I.L. Mathematical modeling of gas desorption from a gas hydrate. Fluid Dyn. 1996, 31, 724–730. [Google Scholar] [CrossRef]
- Shagapov, V.S.; Yumagulova, Y.A.; Musakaev, N.G. Theoretical study of the limiting regimes of hydrate formation during contact of gas and water. J. Appl. Mech. Tech. Phys. 2017, 58, 189–199. [Google Scholar] [CrossRef]
- Chen, L.; Yamada, H.; Kanda, Y.; Okajimaa, J.; Komiya, A.; Maruyama, S. Investigation on the dissociation flow of methane hydrate cores: Numerical modeling and experimental verification. Chem. Eng. Sci. 2017, 163, 31–43. [Google Scholar] [CrossRef]
- Shagapov, V.S.; Khasanov, M.K.; Gimaltdinov, I.K.; Stolpovsky, M.V. The features of gas hydrate dissociation in porous media at warm gas injection. Thermophys. Aeromech. 2013, 20, 339–346. [Google Scholar] [CrossRef]
- Moridis, G.J. Numerical studies of gas production from methane hydrates. In Proceedings of the SPE Gas Technology Symposium, Calgary, AB, Canada, 30 April–2 May 2002. SPE 75691. [Google Scholar] [CrossRef]
- Musakaev, N.G.; Borodin, S.L.; Khasanov, M.K. The mathematical model of the gas hydrate deposit development in permafrost. Int. J. Heat Mass Transf. 2018, 118, 455–461. [Google Scholar] [CrossRef]
- Xu, T.; Jin, Y.-C. Simulation the convective mixing of CO2 in geological formations with a meshless model. Chem. Eng. Sci. 2018, 192, 187–198. [Google Scholar] [CrossRef]
- Zhang, H.; Cao, D. Molecular simulation of displacement of shale gas by carbon dioxide at different geological depths. Chem. Eng. Sci. 2016, 156, 121–127. [Google Scholar] [CrossRef]
- Safi, R.; Agarwal, R.K.; Banerjee, S. Numerical simulation and optimization of CO2 utilization for enhanced oil recovery from depleted reservoirs. Chem. Eng. Sci. 2016, 144, 30–38. [Google Scholar] [CrossRef]
- Misyura, S.Y.; Donskoy, I.G. Ways to improve the efficiency of carbon dioxide utilization and gas hydrate storage at low temperatures. J. CO2 Util. 2019, 34, 313–324. [Google Scholar] [CrossRef]
- Khasanov, M.K. Investigation of regimes of gas hydrate formation in a porous medium, partially saturated with ice. Thermophys. Aeromech. 2015, 22, 255–265. [Google Scholar] [CrossRef]
- Tsypkin, G.G. Formation of hydrate in injection of liquid carbon dioxide into a reservoir saturated with methane and water. Fluid Dyn. 2016, 51, 672–679. [Google Scholar] [CrossRef]
- Tsypkin, G.G. Formation of carbon dioxide hydrate at the injection of carbon dioxide into a depleted hydrocarbon field. Fluid Dyn. 2014, 49, 789–795. [Google Scholar] [CrossRef]
- Shagapov, V.S.; Khasanov, M.K.; Gimaltdinov, I.K.; Stolpovskii, M.V. Numerical modeling of formation of a gas hydrate in a finite-length porous bed purged by a gas. J. Appl. Mech. Tech. Phys. 2011, 52, 599–607. [Google Scholar] [CrossRef]
- Pandey, S.; Solms, N. Hydrate stability and methane recovery from gas hydrate through CH4-CO2 replacement in different mass transfer scenarios. Energies 2019, 12, 2309. [Google Scholar] [CrossRef]
- Horvat, K.; Kerkar, P.; Jones, K.; Mahajan, D. Kinetics of the formation and dissociation of gas hydrates from CO2-CH4 Mixtures. Energies 2012, 5, 2248–2262. [Google Scholar] [CrossRef]
- Deusner, C.; Bigalke, N.; Kossel, E.; Haeckel, M. Methane production from gas hydrate deposits through injection of supercritical CO2. Energies 2012, 5, 2112–2140. [Google Scholar] [CrossRef]
- Espinoza, D.N.; Santamarina, J.C. P-Wave Monitoring of hydrate-bearing sand during CH4-CO2 replacement. Int. J. Greenh. Gas Control 2011, 5, 1032–1038. [Google Scholar] [CrossRef]
- Chernov, A.A.; Dontsov, V.E. The processes of dissolution and hydrate forming behind the shock wave in the gas-liquid medium with gas mixture bubbles. Int. J. Heat Mass Transf. 2011, 54, 4307–4316. [Google Scholar] [CrossRef]
- Ohgaki, K.; Takano, K.; Sangawa, H.; Matsubara, T.; Nakano, S. Methane exploitation by carbon dioxide from gas hydrates-phase equilibria for CO2-CH4 mixed hydrate system. J. Chem. Eng. Jpn. 1996, 29, 478–483. [Google Scholar] [CrossRef]
- Ota, M.; Saito, T.; Aida, T.; Watanabe, M.; Sato, Y.; Smith, R.L.; Inomata, H. Macro and microscopic CH4-CO2 replacement in CH4 hydrate under pressurized CO2. AIChE J. 2007, 53, 2715–2721. [Google Scholar] [CrossRef]
- Falenty, A.; Qin, J.; Salamatin, A.N.; Yang, L.; Kuhs, W.F. Fluid composition and kinetics of the in situ replacement in CH4-CO2 hydrate system. J. Phys. Chem. C 2016, 120, 27159–27172. [Google Scholar] [CrossRef]
- Salamatin, A.N.; Falenty, A.; Kuhs, W.F. Diffusion model for gas replacement in an isostructural CH4-CO2 hydrate system. J. Phys. Chem. C 2017, 121, 17603–17616. [Google Scholar] [CrossRef]
- Tegze, G.; Granasy, L.; Kvamme, B. Phase field modeling of CH4 hydrate conversion into CO2 hydrate in the presence of liquid CO2. Phys. Chem. Chem. Phys. 2007, 9, 3104–3111. [Google Scholar] [CrossRef]
- Shagapov, V.S.; Musakaev, N.G.; Khasanov, M.K. Injection of liquid carbon dioxide into a reservoir partially saturated with methane hydrate. J. Appl. Mech. Tech. Phys. 2016, 57, 1083–1092. [Google Scholar] [CrossRef]
- Shagapov, V.S.; Khasanov, M.K.; Musakaev, N.G.; Duong, N.H. Theoretical research of the gas hydrate deposits development using the injection of carbon dioxide. Int. J. Heat Mass Transf. 2017, 107, 347–357. [Google Scholar] [CrossRef]
- McGrail, B.P.; Schaef, H.T.; White, M.D.; Zhu, T.; Kulkami, A.S.; Hunter, R.B.; Patil, S.L.; Owen, A.T.; Martin, A.T. Using Carbon Dioxide to Enhance Recovery of Methane from Gas Hydrate Reservoirs: Final Summary Report; Prepared for the U.S. Department of Energy under Contract DE-AC06-76RLO; Pacific Northwest National Laboratory: Richland, WA, USA, 2007; 1830p.
- White, M.D.; McGrail, B.P. Numerical simulation of methane hydrate production from geologic formations via carbon dioxide injection. In Proceedings of the Offshore Technology Conference, Houston, TX, USA, 5–8 May 2008. [Google Scholar]
- White, M.D. STOMP-HYDT-KE A Numerical Simulator for the Production of Natural Gas Hydrate Using Guest Molecule Exchange with Co2 and N2; Prepared for the U.S. Department of Energy under Contract DE-AC05-76RL01830; Pacific Northwest National Laboratory: Richland, WA, USA, 2012.
- Jiafei, Z.; Kun, X.; Yongchen, S.; Weiguo, L.; Weihaur, L.; Yu, L.; Kaihua, X.; Yiming, Z.; Xichong, Y.; Qingping, L. A review on research on replacement of CH4 in natural gas hydrates by use of CO2. Energies 2012, 5, 399–419. [Google Scholar] [CrossRef]
- Ota, M.; Abe, Y.; Watanabe, M.; Smith, R.L.; Inomata, H. Methane recovery from methane hydrate using pressurized CO2. Fluid Phase Equilib. 2005, 228–229, 553–559. [Google Scholar] [CrossRef]
- Byk, S.S.; Makogon, Y.F.; Fomina, V.I. Gas hydrates. Khimiya Mosc. 1980, 296. (In Russian) [Google Scholar]
- Bondarev, E.A.; Rozhin, I.I.; Popov, V.V.; Argunova, K.K. Underground storage of natural gas in hydrate state: Primary injection stage. J. Eng. Thermophys. 2018, 27, 221–231. [Google Scholar] [CrossRef]
- Bondarev, E.A.; Rozhin, I.I.; Popov, V.V.; Argunova, K.K. Assessment of possibility of natural gas hydrates underground storage in permafrost regions. Earth Cryosphere 2015, 19, 64–74. [Google Scholar]
- Bondarev, E.A.; Rozhin, I.I.; Popov, V.V.; Argunova, K.K. Mathematical modeling of natural gas underground storage in hydrate state. SOCAR Proc. 2015, 2, 54–67. [Google Scholar] [CrossRef]
- Musakaev, N.G.; Khasanov, M.K.; Rafikova, G.R. Mathematical model of the methane replacement by carbon dioxide in the gas hydrate reservoir taking into account the diffusion kinetics. AIP Conf. Proc. 2018, 1939, 020034. [Google Scholar] [CrossRef]
- Rafikova, G.R.; Khasanov, M.K. Modelling of process of displacement of methane from gas hydrate reservoir at dioxide carbon injection. J. Phys. Conf. Ser. 2019, 1268, 012063. [Google Scholar] [CrossRef]
- Shagapov, V.S.; Chiglintseva, A.S.; Rusinov, A.A.; Tazetdinov, B.I. Migration of a single gas bubble in water during the formation of stable gas-hydrate crust on its surface. Theor. Found. Chem. Eng. 2017, 51, 216–223. [Google Scholar] [CrossRef]
- Shagapov, V.S.; Rafikova, G.R.; Khasanov, M.K. On the theory of formation of gas hydrate in partially water-saturated porous medium when injecting methane. High Temp. 2016, 54, 858–866. [Google Scholar] [CrossRef]
- Salamatin, A.N.; Falenty, A.; Hansen, T.C.; Kuhs, W.F. Guest migration revealed in CO2 clathrate hydrates. Energy Fuels 2015, 29, 5681–5691. [Google Scholar] [CrossRef]
- Vlasov, V.A. Diffusion model of gas hydrate dissociation into ice and gas: Simulation of the self-preservation effect. Int. J. Heat Mass Transf. 2016, 102, 631–636. [Google Scholar] [CrossRef]
- Pahlavanzadeh, H.; Rezaei, S.; Khanlarkhani, M.; Manteghian, M.; Mohammadi, A. Kinetic study of methane hydrate formation in the presence of copper nanoparticles and CTAB. J. Nat. Gas Sci. Eng. 2016, 34, 803–810. [Google Scholar] [CrossRef]
- Nizaeva, I.G.; Makogon, Y.F. Impact of electromagnetic fields on nonconventional types of hydrocarbon feedstocks. Geol. Polezn. Iskop. Mirovogo Okeana 2013, 3, 42–54. (In Russian) [Google Scholar]
- Dontsov, V.E.; Chernov, A.A. Dissolution and hydrate-formation processes behind the shock wave in a gas-liquid mixture. Dokl. Phys. 2009, 54, 215–219. [Google Scholar] [CrossRef]
- Shagapov, V.S.; Yumagulova, Y.A. Automodel problem of the growth of the hydrate particle in aqueous solution of gas. Theor. Found. Chem. Eng. 2016, 50, 270–272. [Google Scholar] [CrossRef]
- Chernov, A.A.; Elistratov, D.S.; Mezentsev, I.V.; Meleshkin, A.V.; Pil’nik, A.A. Hydrate formation in the cyclic process of refrigerant boiling-condensation in a water volume. Int. J. Heat Mass Transf. 2017, 108, 1320–1323. [Google Scholar] [CrossRef]
- Madygulov, M.S.; Nesterov, A.N.; Reshetnikov, A.M.; Vlasov, V.A.; Zavodovsky, A.G. Study of gas hydrate metastability and its decay for hydrate samples containing unreacted supercooled liquid water below the ice melting point using pulse NMR. Chem. Eng. Sci. 2015, 137, 287–292. [Google Scholar] [CrossRef]
- Melnikov, V.P.; Nesterov, A.N.; Podenko, L.S.; Reshetnikov, A.M.; Shalamov, V.V. NMR evidence of supercooled water formation during gas hydrate dissociation below the melting point of ice. Chem. Eng. Sci. 2012, 71, 573–577. [Google Scholar] [CrossRef]
- Gimaltdinov, I.K.; Kildibaeva, S.R. Model of a submerged jet accounting for two limiting schemes of hydrate formation. Thermophys. Aeromech. 2018, 25, 75–83. [Google Scholar] [CrossRef]
- Castellani, B.; Gambelli, A.M.; Nicolini, A.; Rossi, F. Energy and environmental analysis of membrane-based CH4-CO2 replacement processes in natural gas hydrates. Energies 2019, 12, 850. [Google Scholar] [CrossRef]









| Variables | Symbol | Value | Unit |
|---|---|---|---|
| Porosity | m | 0.1 | - |
| Initial hydrate saturation | Sh(mt)0 | 0.2 | - |
| Reservoir length | L | 10 | m |
| Injection temperature | Te | 273 | K |
| Injection pressure | pe | 3.4 | MPa |
| Specific volumetric heat capacity | ρC | 2.5∙106 | J/(K∙m3) |
| System thermal conductivity coefficient | λ | 2 | W/(m∙K) |
| Mass concentrations of carbon dioxide in hydrate | G(dc) | 0.28 | - |
| Mass concentrations of methane in hydrate | G(mt) | 0.12 | - |
| Gas constant of methane | R(mt) | 520 | J/(kg∙K) |
| Gas constant of carbon dioxide | R(dc) | 189 | J/(kg∙K) |
| Density of carbon dioxide hydrate | ρh(dc) | 1115 | kg/m3 |
| Density of methane hydrate | ρh(mt) | 910 | kg/m3 |
| Dynamic viscosity of carbon dioxide | µg(dc) | 1.5·10−5 | Pa∙s |
| Dynamic viscosity of methane | µg(mt) | 1.12·10−5 | Pa∙s |
| Heat of the formation of CO2 hydrate | lh(dc) | 4.8·105 | J/kg |
| Heat of the formation of methane hydrate | lh(mt) | 4.37·105 | J/kg |
| Specific heat capacity of CO2 | cg(dc) | 731 | J/(kg∙K) |
| Specific heat capacity of methane | cg(mt) | 1560 | J/(kg∙K) |
| Diffusion mixing coefficient of the components of gas mixture | Dg | 10−5 | m2/s |
© 2020 by the authors. Licensee MDPI, Basel, Switzerland. This article is an open access article distributed under the terms and conditions of the Creative Commons Attribution (CC BY) license (http://creativecommons.org/licenses/by/4.0/).
Share and Cite
Khasanov, M.K.; Rafikova, G.R.; Musakaev, N.G. Mathematical Model of Carbon Dioxide Injection into a Porous Reservoir Saturated with Methane and Its Gas Hydrate. Energies 2020, 13, 440. https://doi.org/10.3390/en13020440
Khasanov MK, Rafikova GR, Musakaev NG. Mathematical Model of Carbon Dioxide Injection into a Porous Reservoir Saturated with Methane and Its Gas Hydrate. Energies. 2020; 13(2):440. https://doi.org/10.3390/en13020440
Chicago/Turabian StyleKhasanov, Marat K., Guzal R. Rafikova, and Nail G. Musakaev. 2020. "Mathematical Model of Carbon Dioxide Injection into a Porous Reservoir Saturated with Methane and Its Gas Hydrate" Energies 13, no. 2: 440. https://doi.org/10.3390/en13020440
APA StyleKhasanov, M. K., Rafikova, G. R., & Musakaev, N. G. (2020). Mathematical Model of Carbon Dioxide Injection into a Porous Reservoir Saturated with Methane and Its Gas Hydrate. Energies, 13(2), 440. https://doi.org/10.3390/en13020440

