Next Article in Journal
Consumption versus Technology: Drivers of Global Carbon Emissions 2000–2014
Next Article in Special Issue
Effect of Surface Treatment by Chemical-Mechanical Polishing for Transparent Electrode of Perovskite Solar Cells
Previous Article in Journal
Design and Testing of a Low Voltage Solid-State Circuit Breaker for a DC Distribution System
 
 
Font Type:
Arial Georgia Verdana
Font Size:
Aa Aa Aa
Line Spacing:
Column Width:
Background:
Article

Reduced Bipolar Conduction in Bandgap-Engineered n-Type Cu0.008Bi2(Te,Se)3 by Sulfur Doping

1
Department of Electronic Materials Engineering, Kwangwoon University, Seoul 01897, Korea
2
Department of Materials Science and Engineering, Hongik University, Seoul 04066, Korea
3
Samsung Electronics, Suwon 16678, Korea
4
Department of Materials Science and Engineering, University of Seoul, Seoul 02504, Korea
5
Department of Materials Science and Engineering, Dankook University, Cheonan 31116, Korea
*
Author to whom correspondence should be addressed.
These authors equally contributed to this study.
Energies 2020, 13(2), 337; https://doi.org/10.3390/en13020337
Submission received: 24 December 2019 / Revised: 2 January 2020 / Accepted: 8 January 2020 / Published: 10 January 2020
(This article belongs to the Special Issue 2D Energy Materials)

Abstract

Significant bipolar conduction of the carriers in Bi2Te3-based alloys occurs at high temperatures due to their narrow bandgaps. Therefore, at high temperatures, their Seebeck coefficients decrease, the bipolar thermal conductivities rapidly increase, and the thermoelectric figure of merit, zT, rapidly decreases. In this study, band modification of n-type Cu0.008Bi2(Te,Se)3 alloys by sulfur (S) doping, which could widen the bandgap, is investigated regarding carrier transport properties and bipolar thermal conductivity. The increase in bandgap by S doping is demonstrated by the Goldsmid–Sharp estimation. The bipolar conduction reduction is shown in the carrier transport characteristics and thermal conductivity. In addition, S doping induces an additional point-defect scattering of phonons, which decreases the lattice thermal conductivity. Thus, the total thermal conductivity of the S-doped sample is reduced. Despite the reduced power factor due to the unfavorable change in the conduction band, zT at high temperatures is increased by S doping with simultaneous reductions in bipolar and lattice thermal conductivity.

1. Introduction

BiTe-based alloys are thermoelectric materials widely used for room-temperature applications such as solid-state cooling. However, the broader use of BiTe-based alloys is limited by their low thermoelectric conversion performance [1,2]. The thermoelectric performance has often been evaluated by the dimensionless figure of merit—thermoelectric figure of merit (zT) = σS2T/κtot, where σ is the electrical conductivity, S is the Seebeck coefficient, κtot is the total thermal conductivity, and T is the absolute temperature. The maximum zT of Bi2(Te,Se)3 n-type alloys is below one, while different studies on (Bi,Sb)2Te3 p-type alloys have demonstrated values higher than one. Recently, the zT of polycrystalline Bi2(Te,Se)3 n-type alloys has been improved by doping with the Cu element [3], but it is still lower than the p-type alloys. Considering the fact that the efficiency of a thermoelectric module is closely related to the average material zT between p- and n-type thermoelectric materials, the zT of p- and n-type alloys needs to be high and similar.
Many efforts have been made to increase the zT of both p- and n-type alloys. For (Bi,Sb)2Te3 p-type alloys, substituting cation sites with Pb, Ag, and Cu elements has been effective in shifting the maximum zT to temperatures greater than 400 K [4]. The formation of 0-dimensional point defects (from substitutional doping) intensifies point-defect phonon scattering and suppresses lattice thermal conductivity. Point defects can also enhance the power factor (=S2σ) of the alloys by changing their band structures. A similar approach has also been adopted in Bi2(Te,Se)3 n-type alloys by substituting the cation site with different elements. Unfortunately, the observed improvement in the power factor was negligible. This is due to a significant decrease in the S (compared to an increase in σ) resulting from the increased carrier concentration from the doping. For the substitutional doping strategy to be successful in n-type alloys, additional band engineering, which improves the S by making the density-of-states effective mass (m*) greater near the Fermi level and/or opening up the bandgap (bipolar conduction suppression), is also required. The bipolar conduction of carriers in BiTe-based alloys with narrow bandgaps (Eg, 0.1–0.2 eV) becomes significant at higher temperatures [5,6,7], which leads to detrimental influences on the thermoelectric properties. The S rapidly decreases, while the bipolar thermal conductivity, κbp, rapidly increases at temperatures higher than 300 K. Therefore, the zT rapidly decreases at higher temperatures. The proper band modification with Eg widening is beneficial owing to the reduction in detrimental influence, including the rapid S decrease and the κbp increase. In p-type (Bi,Sb)2Te3, the Eg widening by In doping increases the zT by reducing κbp, while simultaneously reducing the lattice thermal conductivity, κlatt, owing to the additional point defects originated from the doping [8].
The crystal structure of Bi2S3 (orthorhombic phase) is different from those of Bi2Se3 and Bi2Te3 (rhombohedral phase, thus also from that of Bi2(Te,Se)3). However, a small amount of S doping in a Bi2(Te,Se)3 n-type alloy would maintain its original crystal structure and would modify its electronic structure [9]. Typically, the Eg values of the series of tellurides, selenides, and sulfides with identical cations increase with the size of the anion [10,11,12]. Therefore, the Eg widening can be anticipated in S-doped Bi2(Te,Se)3 alloys. In this study, we investigated S-doped Bi2(Te,Se)3 alloys to evaluate the effects of S doping on the Eg and thermoelectric properties, while the Cu-doped Bi2(Te,Se)3 alloys were utilized due to their stability and higher zT than Bi2(Te,Se)3 alloys. A typical problem with Bi2(Te,Se)3 n-type alloys is the lack of reproducibility of the thermoelectric properties, since Te vacancies are easily formed during synthesis [13]. Cu intercalation between the quintuple layer of Bi–Te material is known to suppress the formation of Te vacancies and improve reproducibility [14,15]. The thermoelectric properties of a series of S-doped Cu0.008Bi2Te2.8Se0.2 (n-type Cu0.008Bi2Te2.8−xSe0.2Sx, x = 0, 0.05, 0.15, and 0.30) samples were analyzed to verify the influence of S doping and Eg widening.

2. Materials and Methods

Bi (5N Plus, 99.999%), Te (5N Plus, 99.999%), Se (5N Plus, 99.999%), S (Sigma Aldrich, 99.999%), and Cu (Sigma Aldrich, 99.99%) were used as raw materials in the fabrication of the samples. Samples with compositions of Cu0.008Bi2Te2.8−xSe0.2Sx (x = 0, 0.05, 0.15, and 0.30) were synthesized by a solid-state reaction in a vacuum-sealed quartz tube (diameter: 15 mm) under 10−5 Torr. The synthesized ingots were ball milled using a SPEX mill for 10 min. The sieved powders (below 45 μm) were spark plasma sintered at 723 K and 50 MPa for 2 min.
The crystallographic phases of the samples were determined by X-ray diffraction (XRD) with Cu Kα1 (λ = 1.54059 Å) radiation. The carrier concentrations were measured by Hall measurements in a magnetic field of 0.5 T (AHT-55T5, Ecopia, Toronto, ON, Canada) in the direction perpendicular to the pressing direction. The S and σ values in a temperature range of 320–520 K were measured using a thermoelectric property measurement system (ZEM-3) in a He atmosphere in the same direction. The κtot values were calculated using the sample densities (ρs), heat capacities (Cp), and thermal diffusivities (λ) (κ = ρsCpλ). The temperature dependence of λ was measured using the laser flash method (LFA 457, Netzsch, Selb, Germany) in the same direction, so that the zT could be properly calculated.

3. Results and Discussion

Figure 1a shows the XRD patterns of the investigated series of Cu0.008Bi2Te2.8−xSe0.2Sx, where x = 0, 0.05, 0.15, and 0.30. The samples with x = 0, 0.05, and 0.15 exhibited single phases (Bi2Te2.7Se0.3, JCPDS 00-050-0954) without impurities, while the highly doped sample with x = 0.3 exhibited a phase separation with Bi2Te2S (JCPDS 00-042-1447). The calculated lattice parameters a and c (Figure 1b) simultaneously decreased with the S doping, as the S ion is considerably smaller than Te and Se. The systematic changes in a and c to x = 0.15 imply that substitutional doping was successfully achieved. However, the observed phase separation with inconsistent changes in lattice parameters shows that the solid solution might be unstable near x = 0.3. Measurement of the thermoelectric transport properties was not carried out for x = 0.3 (with a different phase).
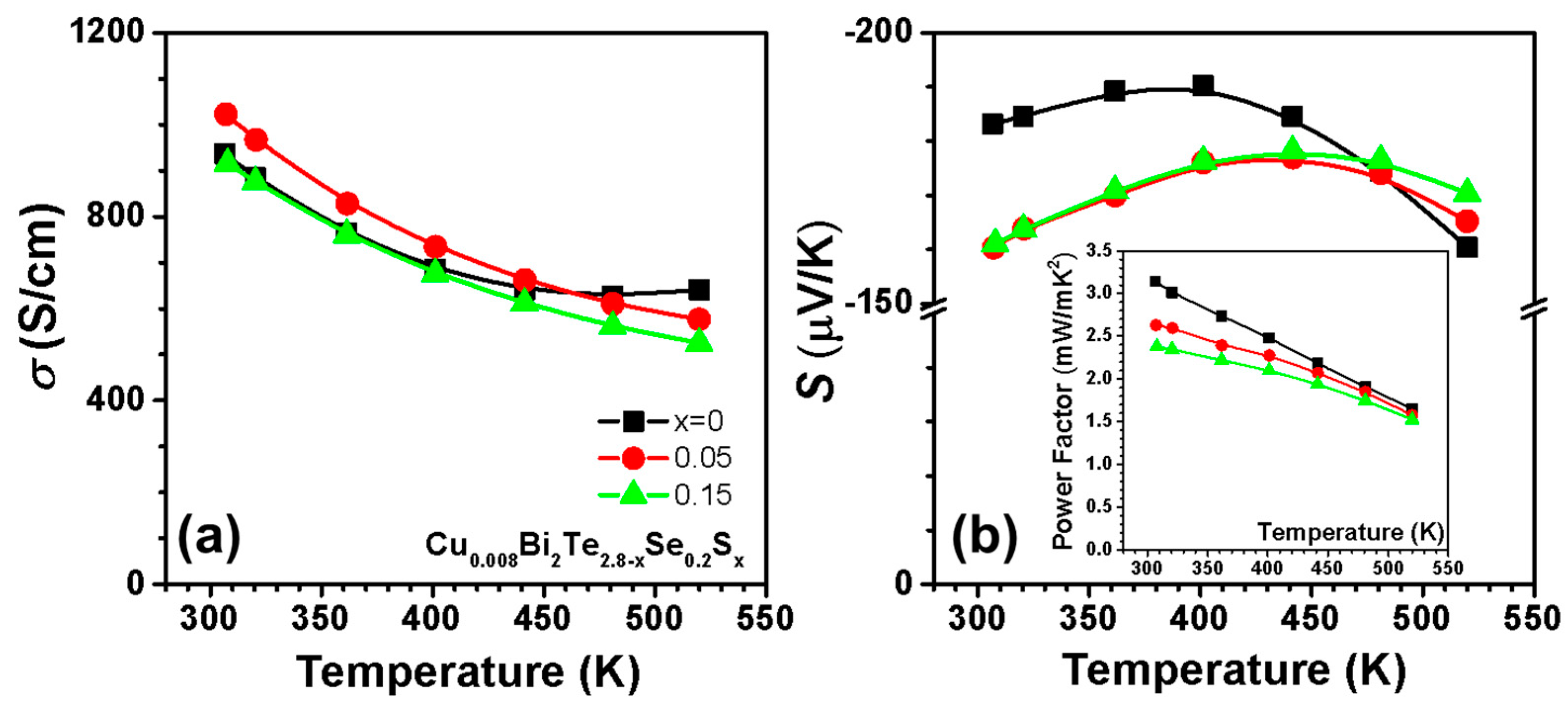
Figure 2a,b shows the σ and S values of the S-doped Cu0.008Bi2Te2.8−xSe0.2Sx (x = 0, 0.05, and 0.15) as functions of the temperature. The σ of the undoped sample was approximately 940 S/cm at 300 K, which slightly increased to 1020 S/cm for x = 0.05, and then decreased to 920 S/cm at x = 0.15. As shown in Figure 2b, the magnitude of the S at 300 K significantly decreased from 183 to ~160 μV/K by the doping. However, the undoped sample exhibited a decrease in the S at higher temperatures around 400 K, while the magnitudes of the S of the S-doped samples increased at temperatures higher than 440 K. At temperatures higher than 480 K, the magnitudes of the S of the S-doped samples were higher than those of the undoped sample. Thus, the power factor (S2σ) at 300 K (inset of Figure 2b) decreased with doping at all measurement temperatures.
According to the Goldsmid–Sharp equation [16], the Eg can be estimated as Eg = 2e|Smax|Tmax, where Tmax is the temperature at which the Seebeck coefficient has the maximum value. For the S-doped sample, the Eg estimated by using the Goldsmid–Sharp equation was increased to 0.159 eV, compared to that of the undoped sample (0.152 eV) (Figure 3a). Figure 3b shows the S as a function of the carrier concentration, n, at 300 K. The effective mass (md*) was calculated using
S   =   8 π 2   k B 2 3 e h 2 ( π 3 n ) 2 / 3 m * T
where kB, e, h, and n denote the Boltzmann constant, elementary charge, Planck constant, and hole carrier concentration, respectively. The gray dashed lines correspond to m* = 1.0, 1.1, and 1.2 m0, plotted using Equation (1). The m* increased from 1.07 to 1.24 with the S doping to x = 0.15. This suggests that the conduction-band electronic structure of the n-type Cu0.008Bi2Te2.8Se0.2 was modified by the S doping, along with possible bandgap modification. In other words, with increased S doping, the curvature of the conduction band was relaxed (the band became heavier), and its energy level was also increased relative to that of the valence band maximum.
The carrier concentrations (n) and Hall mobilities (μH) estimated using the Hall measurement results are shown in Figure 3c,d. The n values at 300 K were 2.8, 4.2, and 4.7 × 1019 cm−3 at x = 0, 0.05, and 0.15, respectively; they increased with the S doping. As the n is inversely proportional to the S according to Equation (1), the S with S doping observed in Figure 2b was lower than that without S doping, especially at temperatures lower than 450 K. However, at temperatures higher than 450 K, the S of the S-doped samples was higher than that of the pristine sample (without S doping). The overall S (when the majority carriers are electrons) measured in Figure 2b was in fact a conductivity-weighted average of the S from the conduction band (SCB) and the valence band (SVB), as presented in Equation (2) below (σCB and σVB are the electrical conductivities from the conduction band and the valence band, respectively):
| S |   =   σ C B | S C B | σ V B | S V B | σ C B   +   σ V B .
For n-type materials, the carrier concentration of the holes present was much smaller than that of the electrons. As a result, the SVB was much higher than the SCB (based on Equation (1)), but as the σVB was negligible when compared to the σCB for the same reason, the contribution of the SVB to the overall S was minimal at low temperatures. However, with increased temperature, the σVB was significantly improved owing to the broadening of the Fermi distribution. This was the reason behind the S rollover (due to bipolar contribution) observed in all the samples in Figure 2b. In addition, Figure 2b shows that the degrees of rollover for the S-doped samples were not as drastic as those measured for the pristine sample (without S doping). An enlarged bandgap with increased S doping (Figure 3a) is commonly known for suppressing the bipolar contribution to the overall S and to bipolar thermal conductivity. Therefore, the higher S of the S-doped samples in reference to that of the pristine sample originated from the enlarged bandgap. Notably, μH at 300 K was significantly decreased to 121 at x = 0.15, compared to that of the undoped sample (208 cm2V−1s−1). Therefore, the power factor was decreased (inset of Figure 2b), even with the m* increase, which would imply that the conduction band was modified favorably for the S. The decrease should be related to both an increase in n and to possible impurity scattering by the S doping. The sudden increase in the electrical conductivity of x = 0.05 (S doping) and its drop at higher S doping (x = 0.15) can both be explained by an interplay between the decreasing μH and increasing n.
To investigate the bipolar conductions of the samples, the characteristics of the hole carriers were deduced from the two-band model (conduction band (CB) and valence band (VB)) based on a single-parabolic-band model (Section S1 in Supplementary Materials) [17]. By using the measured σ, S, n, and μH values, the deformation potentials (Edef) and weighted mobilities (U) for the CB and VB were calculated (UCB and UVB, respectively) (see Section S1 in Supplementary Materials) to investigate the carrier transport of electrons and holes, separately. The Edef describes the carrier–phonon interaction, e.g., a band with a large Edef has low mobility. U, the product of the nondegenerate mobility (μ0, as in Equation (1) as a function of Edef) and (m*)3/2 (U = μ0(m*)3/2), elucidates the influence of the changes in the m* and the Edef on the charge transport (Figure 4 and Table 1),
μ 0 = e π 4 v l 2 d 2 E d e f 2 m * 5 / 2 ( k T ) 3 / 2 .
The UCB decreased from 302 to 230 cm2V−1s−1, while the UVB increased from 117 to 148 cm2V−1s−1 upon S doping. Therefore, the S doping was detrimental to the electron carrier transport through the reduction in electron mobility, UCB. However, as shown in Figure 4c, the smaller weighted mobility ratio (A = UCB/UVB) of the S-doped sample suggests that the magnitude of the bipolar conduction can be reduced [7,16]. The electron and hole carrier concentrations are shown in Figure 4 and Table 1. The electron concentration increased, while the hole concentration decreased with the S doping, which also reduced the bipolar conduction.
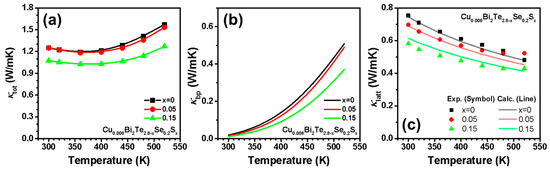
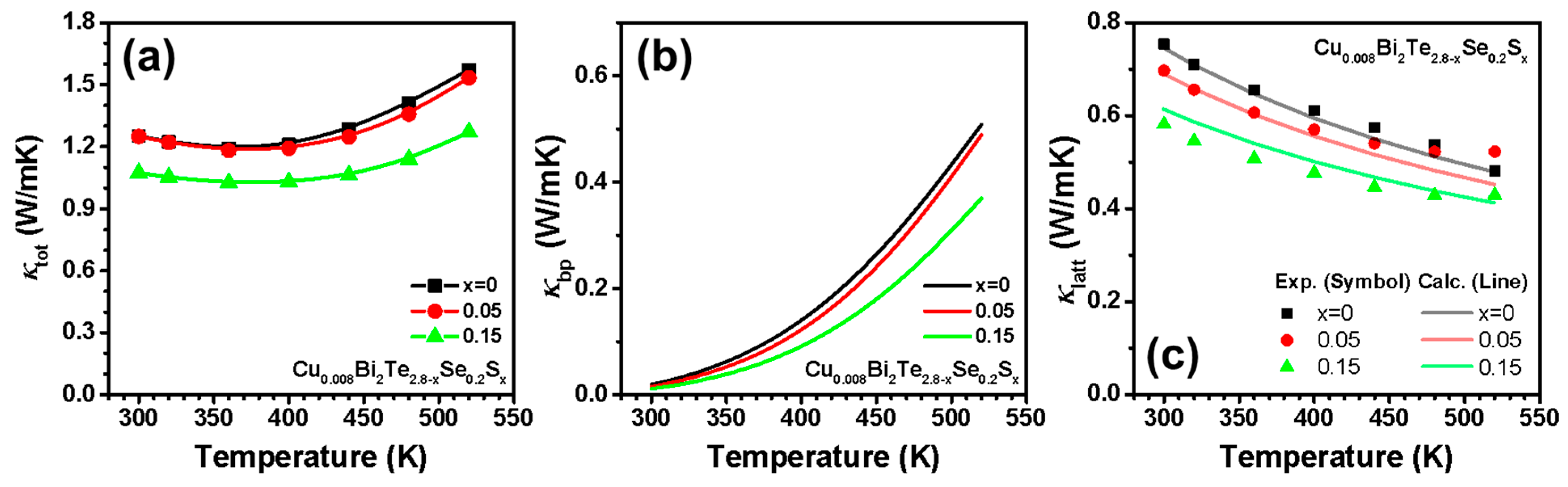
Figure 5a shows the κtot values of the measured samples as functions of the temperature. Despite the increase in the σ of the sample with x = 0.05, its κtot was unchanged. The κtot of the sample with x = 0.15 was smaller than those of the other samples. To understand the change in the thermal transport behavior by S doping, we separated the electronic (electronic thermal conductivity, κele), bipolar (κbp), and lattice contributions (κlatt) from κtot. The electronic thermal conductivity, κele, was estimated using the Wiedemann–Franz law. The calculations of κbp and κlatt are described in Sections S1 and S2 in the Supplementary Materials, respectively. Figure 5b presents the κbp calculated using the two-band model based on the fitted parameters listed in Table S1 and shows the reduction in κbp with S doping. A reduction in κbp was expected considering the decrease in A and the increase in the electron concentration in Figure 4a. Thus, the κbp was reduced by the S doping, which induced the bandgap widening shown in Figure 3a. The experimental κlatt (= κκeleκbp) values are shown as symbols in Figure 5c, which are well matched with the calculated theoretical κlatt (lines). The theoretical κlatt calculation is presented in Section S2 in the Supplementary Materials [18]. The experimental and theoretical κlatt values decreased with the doping, which implies an additional phonon scattering originated from the doped S. Owing to the effects of the mass and lattice constant differences between the two constituents of the alloy, a large additional contribution from phonon scattering was observed, owing to the large mass and ionic radius differences between S and Te/Se (atomic masses MTe = 127.60 u, MSe = 78.96 u, MS = 32.06 u, ionic radii rTe = 221 pm, rSe = 198 pm, and rS = 184 pm). Considering the rather large ΔM and Δa values, the additional phonon scattering was expected.
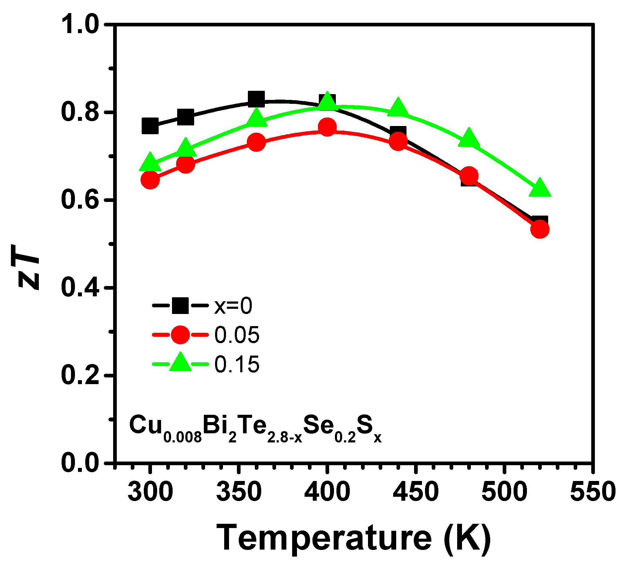
The temperature-dependent zT is shown in Figure 6. The temperature at which the zT had the maximum value was shifted to a higher temperature and high zT values of around 0.8 were retained. The lower zT values of the doped samples at lower temperatures originated from their low power factors (inset of Figure 2b) owing to the large suppression of carrier transport by the S doping. However, the zT of the sample with x = 0.15 above 400 K was higher than that of the undoped sample, mainly owing to the reductions in κbp and κlatt, which originated from the S doping.

4. Conclusions

In this study, the band modification of n-type Cu0.008Bi2(Te,Se)3 alloys by S doping, which could widen the bandgap, was investigated regarding the carrier transport properties and the bipolar thermal conductivity. The bandgap calculated using the Goldsmid–Sharp estimation increased with the S doping. The carrier transport characteristics and thermal conductivity showed the reduction in bipolar conduction. The carrier transport characteristics showed that the weighted mobility ratio was reduced, while the electron carrier concentration was increased. The bipolar thermal conductivity was reduced by the S doping. However, electron mobility was reduced as a detrimental effect of the S doping, which reduced the power factor. The S doping induced additional point-defect phonon scattering and decreased the lattice thermal conductivity. The zT values at high temperatures were increased by the S doping owing to the simultaneous reductions in bipolar and lattice thermal conductivities.

Supplementary Materials

The following are available online at https://www.mdpi.com/1996-1073/13/2/337/s1: Table S1: Point defect contributions to the total relaxation rates ( τ total 1 ) used to model the κlatt values of the samples.

Author Contributions

Conceptualization, W.H.S. and S.Y.K.; Investigation, S.-w.H. and S.-s.C.; Data Curation, Y.O., Y.Y., and Y.K.; Writing-Original Draft Preparation, H.-S.K. and S.-i.K.; Writing-Review & Editing, H.J.P.; Supervision, Project Administration, S.-i.K. All authors have read and agreed to the published version of the manuscript.

Funding

This study was supported by Samsung Research Funding & Incubation Center of Samsung Electronics under Project Number SRFC-MA1701-05.

Conflicts of Interest

The authors declare no conflict of interest.

References

  1. Bell, L.E. Cooling, heating, generating power, and recovering waste heat with thermoelectric systems. Science 2008, 321, 1457–1461. [Google Scholar] [CrossRef]
  2. Scherrer, H.; Scherrer, S. Thermoelectrics Handbook: Macro to Nano; Rowe, D.M., Ed.; CRC Press: Boca Raton, FL, USA, 2006; pp. 1–27. [Google Scholar]
  3. Cho, H.-J.; Shin, W.H.; Choo, S.-S.; Kim, J.-I.; Yoo, J.; Kim, S.-I. Synergistic Influence of Cu Intercalation on Electronic and Thermal Properties of n-Type CuxBi2Te2.7Se0.3 Polycrystalline Alloys. J. Electron. Mater. 2019, 48, 1951–1957. [Google Scholar] [CrossRef]
  4. Kim, K.; Kim, G.; Kim, S.I.; Lee, K.H.; Lee, W. Clarification of electronic and thermal transport properties of Pb-, Ag-, and Cu-doped p-type Bi0.52Sb1.48Te3. J. Alloys Compd. 2019, 772, 5930602. [Google Scholar] [CrossRef]
  5. Greenaway, D.L.; Harbeke, G. Band structure of bismuth telluride, bismuth selenide and their respective alloys. J. Phys. Chem. Solids 1965, 26, 1585–1604. [Google Scholar] [CrossRef]
  6. Bahk, J.-H.; Shakouri, A. Minority carrier blocking to enhance the thermoelectric figure of merit in narrow-band-gap semiconductors. Phys. Rev. B 2016, 93, 165209. [Google Scholar] [CrossRef]
  7. Gibbs, Z.; Kim, H.-S.; Wang, H.; Snyder, C.J. Band gap estimation from temperature dependent Seebeck measurement—Deviations from the 2e|S|maxTmax relation. Appl. Phys. Lett. 2015, 106, 022112. [Google Scholar] [CrossRef]
  8. Kim, H.-S.; Lee, K.H.; Yoo, J.; Shin, W.H.; Roh, J.W.; Hwang, J.-Y.; Kim, S.W.; Kim, S.-i. Suppression of bipolar conduction via bandgap engineering for enhanced thermoelectric performance of p-type Bi0.4Sb1.6Te3 alloys. J. Alloys Compd. 2018, 741, 869–874. [Google Scholar] [CrossRef]
  9. Liu, W.; Lukas, K.C.; McEnaney, K.; Lee, S.; Zhang, Q.; Opeil, C.P.; Chen, G.; Ren, Z. Studies on the Bi2Te3–Bi2Se3–Bi2S3 system for mid-temperature thermoelectric energy conversion. Energy Environ. Sci. 2013, 6, 552–560. [Google Scholar] [CrossRef]
  10. Su, S.-H.; Shu, Y.-T.; Chang, Y.-H.; Chiu, M.-H.; Hsu, C.-L.; Hsu, W.-T.; Chang, W.-H.; He, J.-H.; Li, L.-J. Band Gap-Tunable Molybdenum Sulfide Selenide Monolayer Alloy. Small 2014, 10, 2589–2594. [Google Scholar] [CrossRef] [PubMed]
  11. Kim, J.-l.; Kim, H.-S.; Kim, S.-I. Electrical and thermal transport properties of S- and Te-doped InSe alloys. J. Phys. D 2019, 52, 295501. [Google Scholar] [CrossRef]
  12. Li, H.; Han, X.; Pan, D.; Yan, X.; Wang, H.-W.; Wu, C.; Cheng, G.; Zhang, H.; Yang, S.; Li, B.; et al. Bandgap Engineering of InSe Single Crystals Through S Substitution. Cryst. Growth Des. 2018, 18, 2899–2904. [Google Scholar] [CrossRef]
  13. Jiang, J.; Chen, L.; Bai, S.; Yao, Q.; Wang, Q. Fabrication and thermoelectric performance of textured n-type Bi2(Te,Se)3 by spark plasma sintering. Mater. Sci. Eng. B 2015, 117, 334–338. [Google Scholar] [CrossRef]
  14. Liu, W.S.; Zhang, Q.; Lan, Y.; Chen, S.; Yan, X.; Zhang, Q.; Wang, H.; Wang, O.; Chen, G.; Ren, Z. Thermoelectric Property Studies on Cu-Doped n-type CuxBi2Te2.7Se0.3 Nanocomposites. Adv. Energy Mater. 2011, 1, 577. [Google Scholar] [CrossRef]
  15. Lognone, Q.; Gascoin, F. Reactivity, stability and thermoelectric properties of n-Bi2Te3 doped with different copper amounts. J. Alloys Compd. 2014, 610, 1–5. [Google Scholar] [CrossRef]
  16. Goldsmid, H.J.; Sharp, J.W. Estimation of the thermal band gap of a semiconductor from seebeck measurements. J. Electron. Mater. 1999, 28, 869–872. [Google Scholar] [CrossRef]
  17. May, A.F.; Snyder, G.J. Materials, Preparation, and Characterization in Thermoelectric; CRC Press: Boca Raton, FL, USA, 2012; pp. 1–18. [Google Scholar]
  18. Callaway, J. Model for lattice thermal conductivity at low temperatures. Phys. Rev. 1959, 113, 1046–1051. [Google Scholar] [CrossRef]
Figure 1. (a) XRD patterns and (b) lattice parameters a and c of Cu0.008Bi2Te2.8−xSe0.2Sx (x = 0, 0.05, 0.15, and 0.3).
Figure 1. (a) XRD patterns and (b) lattice parameters a and c of Cu0.008Bi2Te2.8−xSe0.2Sx (x = 0, 0.05, 0.15, and 0.3).
Energies 13 00337 g001
Figure 2. (a) Measured electrical conductivities (σ) and (b) Seebeck coefficients (S) of Cu0.008Bi2Te2.8−xSe0.2Sx (x = 0, 0.05, and 0.15). The inset in (b) shows the temperature-dependent power factors of the samples.
Figure 2. (a) Measured electrical conductivities (σ) and (b) Seebeck coefficients (S) of Cu0.008Bi2Te2.8−xSe0.2Sx (x = 0, 0.05, and 0.15). The inset in (b) shows the temperature-dependent power factors of the samples.
Energies 13 00337 g002
Figure 3. (a) Eg estimated using the Goldsmid–Sharp equation and (b) a Pisarenko plot. The inset shows the effective masses of the samples obtained using the Mott relationship. (c) Carrier concentrations nH and (d) mobilities μH estimated using the Hall measurement results.
Figure 3. (a) Eg estimated using the Goldsmid–Sharp equation and (b) a Pisarenko plot. The inset shows the effective masses of the samples obtained using the Mott relationship. (c) Carrier concentrations nH and (d) mobilities μH estimated using the Hall measurement results.
Energies 13 00337 g003
Figure 4. (a,b) Weighted mobilities for the conduction band (CB) and valence band (VB) of the measured samples, respectively. (c) Weighted mobility ratios of the Cu0.008Bi2Te2.8−xSe0.2Sx samples.
Figure 4. (a,b) Weighted mobilities for the conduction band (CB) and valence band (VB) of the measured samples, respectively. (c) Weighted mobility ratios of the Cu0.008Bi2Te2.8−xSe0.2Sx samples.
Energies 13 00337 g004
Figure 5. (a) Total thermal conductivities, κtot, (b) bipolar thermal conductivities, κbp, and (c) lattice thermal conductivities, κlatt, of Cu0.008Bi2Te2.8−xSe0.2Sx (x = 0, 0.05, and 0.15).
Figure 5. (a) Total thermal conductivities, κtot, (b) bipolar thermal conductivities, κbp, and (c) lattice thermal conductivities, κlatt, of Cu0.008Bi2Te2.8−xSe0.2Sx (x = 0, 0.05, and 0.15).
Energies 13 00337 g005
Figure 6. zT values of Cu0.008Bi2Te2.8-xSe0.2Sx (x = 0, 0.05, and 0.15) as functions of the temperature.
Figure 6. zT values of Cu0.008Bi2Te2.8-xSe0.2Sx (x = 0, 0.05, and 0.15) as functions of the temperature.
Energies 13 00337 g006
Table 1. Band parameters estimated using the two-band model (see Section S1 in Supplementary Materials).
Table 1. Band parameters estimated using the two-band model (see Section S1 in Supplementary Materials).
Cu0.008Bi2Te2.8−xSe0.2Sx
Band Parametersx = 0x = 0.05x = 0.15
Conduction BandCB Edef (eV)17.919.019.1
CB m* (in m0)1.071.141.24
UCB (cm2/Vs)302254230
Electron concentration (1019 cm−3)2.814.204.72
Valence BandVB Edef (eV)29.825.826.5
VB m* (in m0)1.001.001.00
UVB (cm2/Vs)117157148
Hole concentration (1016 cm−3)4.712.662.61
A (= U C B U V B )2.581.621.55
Bandgap (eV)0.1520.1560.159

Share and Cite

MDPI and ACS Style

Shin, W.H.; Kim, H.-S.; Kim, S.Y.; Choo, S.-s.; Hong, S.-w.; Oh, Y.; Yang, Y.; Kim, Y.; Park, H.J.; Kim, S.-i. Reduced Bipolar Conduction in Bandgap-Engineered n-Type Cu0.008Bi2(Te,Se)3 by Sulfur Doping. Energies 2020, 13, 337. https://doi.org/10.3390/en13020337

AMA Style

Shin WH, Kim H-S, Kim SY, Choo S-s, Hong S-w, Oh Y, Yang Y, Kim Y, Park HJ, Kim S-i. Reduced Bipolar Conduction in Bandgap-Engineered n-Type Cu0.008Bi2(Te,Se)3 by Sulfur Doping. Energies. 2020; 13(2):337. https://doi.org/10.3390/en13020337

Chicago/Turabian Style

Shin, Weon Ho, Hyun-Sik Kim, Se Yun Kim, Sung-sil Choo, Seok-won Hong, Yeseong Oh, Yerim Yang, Yoona Kim, Hee Jung Park, and Sang-il Kim. 2020. "Reduced Bipolar Conduction in Bandgap-Engineered n-Type Cu0.008Bi2(Te,Se)3 by Sulfur Doping" Energies 13, no. 2: 337. https://doi.org/10.3390/en13020337

APA Style

Shin, W. H., Kim, H.-S., Kim, S. Y., Choo, S.-s., Hong, S.-w., Oh, Y., Yang, Y., Kim, Y., Park, H. J., & Kim, S.-i. (2020). Reduced Bipolar Conduction in Bandgap-Engineered n-Type Cu0.008Bi2(Te,Se)3 by Sulfur Doping. Energies, 13(2), 337. https://doi.org/10.3390/en13020337

Note that from the first issue of 2016, this journal uses article numbers instead of page numbers. See further details here.

Article Metrics

Back to TopTop