Experimental Research on Regeneration Characteristic of ED Regeneration for Lithium Bromide Desiccant Solution with High Concentration: Operating Condition and Electrode Solution
Abstract
1. Introduction
2. Method
2.1. Electrodialysis Method
2.2. Test Device
2.3. Test Scheme
2.4. Analytical Method for Experiment
3. Results and Discussion
3.1. Effect of Initial Concentration
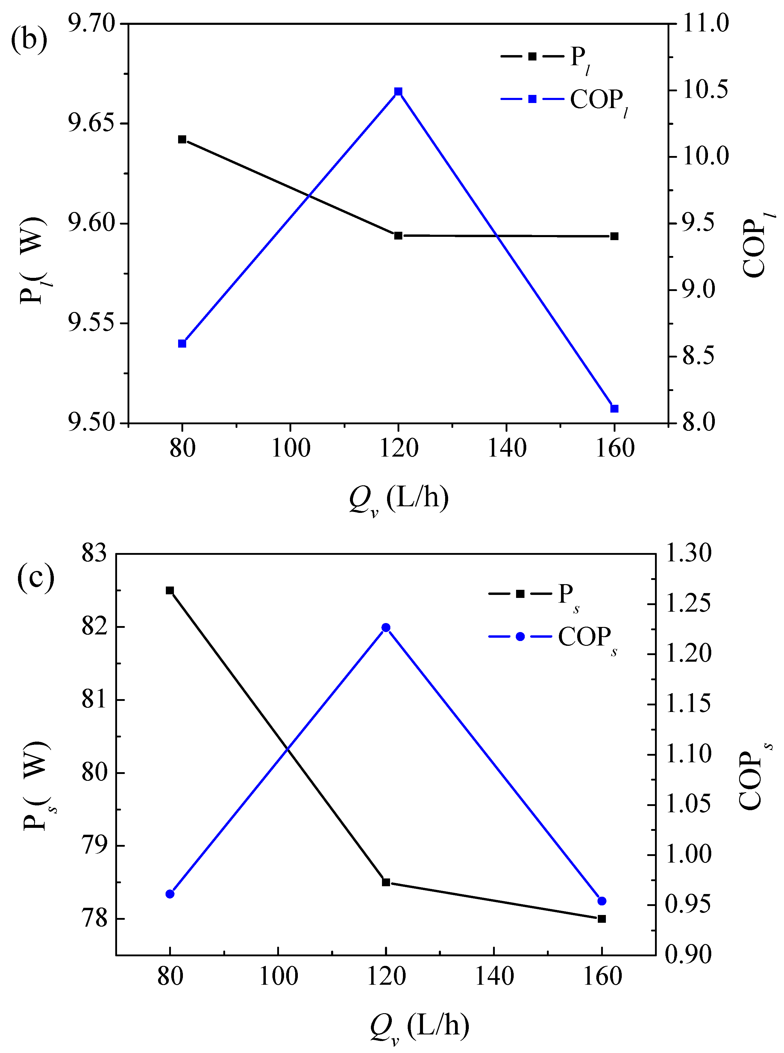
3.2. Effect of Flow Rate
3.3. Effect of Current
3.4. Effect of Electrode Solution
3.5. Temperature Change of the Regeneration Tank Solution
3.6. Discussion
4. Conclusions
- Increasing the starting concentration of the LiBr solution adversely affects the regeneration performance of the electrodialyzer and the characteristic of the air conditioning system dehumidified by the solution. When the dehumidification requirement is met, the initial concentration of the LiBr solution should be reduced.
- Increasing the circulating flow rate can improve the regeneration performance of the electrodialyzer and the characteristic of the air conditioning system dehumidified by the solution, but excessively increasing the flow rate will reduce the regeneration performance of the electrodialyzer and the performance of the air conditioning system dehumidified by the solution.
- Increasing the operating current can increase the concentration of the LiBr solution in the concentration cells in a short time, but it will reduce the regeneration performance of the electrodialyzer and the characteristic of the air conditioning system dehumidified by the solution. The current needs to be minimized when meeting regeneration requirements.
- Through theoretical analysis and experimental research, it is found that the theoretical performance of the air conditioning system dehumidified by the solution is much larger than the experimental value, which is mainly because the theoretical power consumption of the system is much smaller than the experimental value. This shows that seeking to lower the energy consumption of the electrodialysis system is a method by which to improve the performance of electrodialysis in the future.
- With the increase in the flow rate of the electrode solution, the regeneration performance of the electrodialyzer decreases continuously.
- When the electrodialyzer regenerates the LiBr solution, the temperature rise of the LiBr solution is small. Therefore, the LiBr solution does not need to be pre-cooled before entering the dehumidifier, which decreases the system’s energy consumption.
Author Contributions
Funding
Conflicts of Interest
References
- Lin, W.; Ma, Z.; Sohel, M.I.; Cooper, P. Development and evaluation of a ceiling ventilation system enhanced by solar photovoltaic thermal collectors and phase change materials. Energy Convers. Manag. 2014, 88, 218–230. [Google Scholar] [CrossRef]
- Kreiner, H.; Passer, A.; Wallbaum, H. A new systemic approach to improve the sustainability performance of office buildings in the early design stage. Energy Build. 2015, 109, 385–396. [Google Scholar] [CrossRef]
- Jiang, X.; He, H.; Li, X.; Mao, H. Performance analysis and mixing ratio selection of mixed liquid desiccant for a dehumidification system. Indoor Built Environ. 2020, 29, 711–720. [Google Scholar] [CrossRef]
- Guo, Y. Electrodialysis-Assisted Liquid Desiccant Dehumidification: Experimental Investigation and System Development. Ph.D. Thesis, University of Wollongong, Wollongong, Australia, 2017. Available online: https://ro.uow.edu.au/theses1/114 (accessed on 10 September 2020).
- Duong, H.; Ansari, A.; Nghiem, L.; Cao, H.; Vu, T.; Nguyen, T. Membrane processes for the regeneration of liquid desiccant solution for air conditioning. Curr. Pollut. Rep. 2019, 5, 308–318. [Google Scholar] [CrossRef]
- Duong, H.; Hai, F.; Al-Jubainawi, A.; Ma, Z.; He, T. Liquid desiccant lithium chloride regeneration by membrane distillation for air conditioning. Sep. Purif. Technol. 2017, 177, 121–128. [Google Scholar] [CrossRef]
- Niu, X.; Xiao, F.; Ma, Z. Investigation on capacity matching in liquid desiccant and heat pump hybrid air-conditioning systems. Int. J. Refrig. 2012, 35, 160–170. [Google Scholar] [CrossRef]
- Elsarrag, E. Evaporation rate of a novel tilted solar liquid desiccant regeneration system. Sol. Energy 2008, 82, 663–668. [Google Scholar] [CrossRef]
- Galama, A.H.; Saakes, M.; Bruning, H.; Rijnaarts, H.H.M.; Post, J.W. Seawater predesalination with electrodialysis. Desalination 2014, 342, 61–69. [Google Scholar] [CrossRef]
- Valero, D.; García-García, V.; Expósito, E.; Aldaz, A.; Montiel, V. Application of electrodialysis for the treatment of almond industry wastewater. J. Membr. Sci. 2015, 476, 580–589. [Google Scholar] [CrossRef]
- Li, X.; Zhang, X. Photovoltaic–electrodialysis regeneration method for liquid desiccant cooling system. Sol. Energy 2009, 83, 2195–2204. [Google Scholar] [CrossRef]
- Cheng, Q.; Zhang, X.; Li, X. Double-stage photovoltaic/thermal ED regeneration for liquid desiccant cooling system. Energy Build. 2012, 51, 64–72. [Google Scholar] [CrossRef]
- Cheng, Q.; Zhang, X.; Jiao, S. Experimental comparative research on electrodialysis regeneration for liquid desiccant with different concentrations in air-conditioning system dehumidified by solution. Energy Build. 2017, 155, 475–483. [Google Scholar] [CrossRef]
- Cheng, Q.; Zhang, X.; Jiao, S. Influence of concentration difference between dilute cells and regenerate cells on the performance of electrodialysis regenerator. Energy 2017, 140, 646–655. [Google Scholar] [CrossRef]
- Cheng, Q.; Xu, W. Performance analysis of a novel multi-function liquid desiccant regeneration system for air-conditioning system dehumidified by solution. Energy 2017, 140, 240–252. [Google Scholar] [CrossRef]
- Al-Jubainawi, A.; Ma, Z.; Guo, Y.; Nghiem, L.D.; Cooper, P.; Li, W. Factors governing mass transfer during membrane electrodialysis regeneration of LiCl solution for liquid desiccant dehumidification systems. Sustain. Cities Soc. 2017, 28, 30–41. [Google Scholar] [CrossRef][Green Version]
- Li, X.; Zhang, X. Membrane air-conditioning system driven by renewable energy. Energy Convers. Manag. 2012, 53, 189–195. [Google Scholar] [CrossRef]
- Liu, X.H.; Yi, X.Q.; Jiang, Y. Comparison of Mass Transfer Performance of Two Common Liquid Hygroscopic Agents. J. Chem. Ind. Eng. 2009, 60, 567–573. [Google Scholar]
- Guo, Y.; Ma, Z.; Al-Jubainawi, A.; Cooper, P.; Nghiem, L.D. Using electrodialysis for regeneration of aqueous lithium chloride solution in liquid desiccant air conditioning systems. Energy Build. 2016, 116, 285–295. [Google Scholar] [CrossRef]








| Name | Model | Test Dimension | Accuracy |
|---|---|---|---|
| Rectifier | HCP-DC | 0–20 A | ±0.01 A |
| Density meter | AU-120L | 0.0001–99.9999 g/cm3 | 0.0001 g/cm3 |
| Thermocouple | TC-TT-T-30-5M | −200–350 °C | ±0.5 °C |
| Flowmeter | LFS15 | 16–160 L/h | ±5 L/h |
| Data acquisition instrument | Agilent 34970A | - | - |
| Serial Number | Flow Rate in Panels (L/h) | Current (A) | Initial Concentration of Desiccant Solution (%) |
|---|---|---|---|
| Group 1 | 80 | 5 | 45, 50, 55 |
| 80, 120, 160 | 5 | 50 | |
| 80 | 3, 5, 8 | 50 | |
| Group 2 | 80 | 5 | 27, 35, 42 |
| 80, 120, 160 | 5 | 35 | |
| 80 | 3, 5, 8 | 35 | |
| Group 3 | 120 | 8 | 45, 50, 55 |
| 80, 120, 160 | 8 | 45 | |
| 80 | 8 | 25 |
© 2020 by the authors. Licensee MDPI, Basel, Switzerland. This article is an open access article distributed under the terms and conditions of the Creative Commons Attribution (CC BY) license (http://creativecommons.org/licenses/by/4.0/).
Share and Cite
Cheng, Q.; Wang, H. Experimental Research on Regeneration Characteristic of ED Regeneration for Lithium Bromide Desiccant Solution with High Concentration: Operating Condition and Electrode Solution. Energies 2020, 13, 4733. https://doi.org/10.3390/en13184733
Cheng Q, Wang H. Experimental Research on Regeneration Characteristic of ED Regeneration for Lithium Bromide Desiccant Solution with High Concentration: Operating Condition and Electrode Solution. Energies. 2020; 13(18):4733. https://doi.org/10.3390/en13184733
Chicago/Turabian StyleCheng, Qing, and Han Wang. 2020. "Experimental Research on Regeneration Characteristic of ED Regeneration for Lithium Bromide Desiccant Solution with High Concentration: Operating Condition and Electrode Solution" Energies 13, no. 18: 4733. https://doi.org/10.3390/en13184733
APA StyleCheng, Q., & Wang, H. (2020). Experimental Research on Regeneration Characteristic of ED Regeneration for Lithium Bromide Desiccant Solution with High Concentration: Operating Condition and Electrode Solution. Energies, 13(18), 4733. https://doi.org/10.3390/en13184733
