Saccharification Yield through Enzymatic Hydrolysis of the Steam-Exploded Pinewood
Abstract
1. Introduction
2. Materials and Methods
2.1. Feedstock Characterization
2.2. Steam Explosion Pretreatment
2.3. Hydrolysis of Pretreated Samples
2.4. Sugar Analysis
3. Results and Discussion
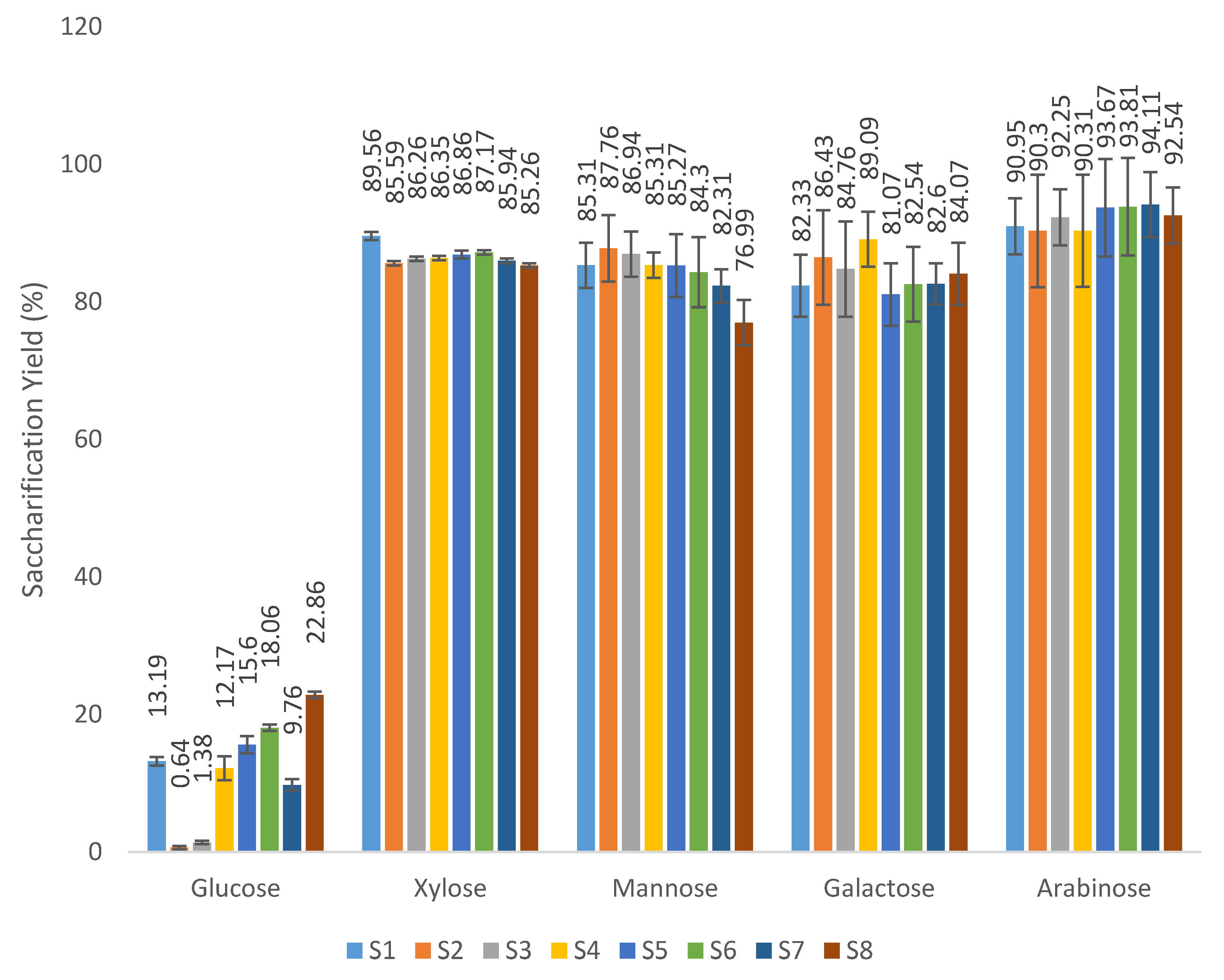
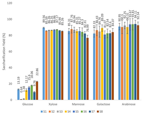
3.1. Sugar Analysis
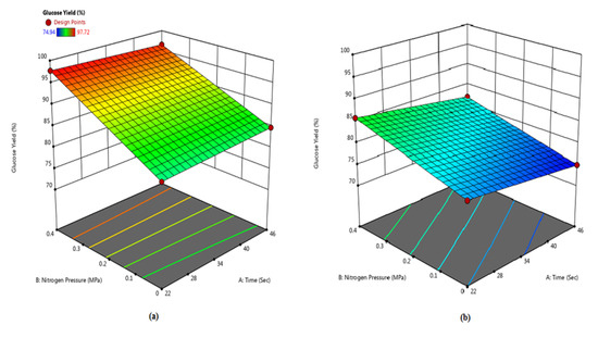
3.2. Experimental Design and Statistical Analysis
4. Conclusions
Author Contributions
Funding
Acknowledgments
Conflicts of Interest
References
- Sadhukhan, J.; Martinez-Hernandez, E.; Murphy, R.J.; Ng, D.K.S.; Hassim, M.H.; Siew Ng, K.; Yoke Kin, W.; Jaye, I.F.M.; Leung Pah Hang, M.Y.; Andiappan, V. Role of bioenergy, biorefinery and bioeconomy in sustainable development: Strategic pathways for Malaysia. Renew. Sustain. Energy Rev. 2018, 81, 1966–1987. [Google Scholar] [CrossRef]
- Hasunuma, T.; Okazaki, F.; Okai, N.; Hara, K.Y.; Ishii, J. A review of enzymes and microbes for lignocellulosic biorefinery and the possibility of their application to consolidated bioprocessing technology. Bioresour. Technol. 2013, 135, 513–522. [Google Scholar] [CrossRef] [PubMed]
- Zhang, K.; Pei, Z.; Wang, D. Organic solvent pretreatment of lignocellulosic biomass for biofuels and biochemicals: A review. Bioresour. Technol. 2016, 199, 21–33. [Google Scholar] [CrossRef] [PubMed]
- Pande, M.; Bhaskarwar, A.N. Biomass Conversion to Energy. In Biomass Conversion: The Interface of Biotechnology, Chemistry and Materials Science; Baskar, C., Baskar, S., Dhillon, R.S., Eds.; Springer: Berlin/Heidelberg, Germany, 2012; pp. 1–90. [Google Scholar] [CrossRef]
- Kelbert, M.; Romaní, A.; Coelho, E.; Pereira, F.B.; Teixeira, J.A.; Domingues, L. Simultaneous Saccharification and Fermentation of Hydrothermal Pretreated Lignocellulosic Biomass: Evaluation of Process Performance Under Multiple Stress Conditions. Bioenergy Res. 2016, 9, 750–762. [Google Scholar] [CrossRef][Green Version]
- Limayem, A.; Ricke, S.C. Lignocellulosic biomass for bioethanol production: Current perspectives, potential issues and future prospects. Progress Energy Combust. Sci. 2012, 38, 449–467. [Google Scholar] [CrossRef]
- Mielenz, J.R. Ethanol production from biomass: Technology and commercialization status. Curr. Opin. Microbiol. 2001, 4, 324–329. [Google Scholar] [CrossRef]
- Girio, F.M.; Fonseca, C.; Carvalheiro, F.; Duarte, L.C.; Marques, S.; Bogel-Lukasik, R. Hemicelluloses for fuel ethanol: A review. Bioresour. Technol. 2010, 101, 4775–4800. [Google Scholar] [CrossRef]
- Bajpai, P. Structure of Lignocellulosic Biomass. In Pretreatment of Lignocellulosic Biomass for Biofuel Production; SpringerBriefs in Molecular Science; Springer: Singapore, 2016; pp. 7–12. [Google Scholar] [CrossRef]
- Mussatto, S.I.; Dragone, G.; Guimarães, P.M.R.; Silva, J.P.A.; Carneiro, L.M.; Roberto, I.C.; Vicente, A.; Domingues, L.; Teixeira, J.A. Technological trends, global market, and challenges of bio-ethanol production. Biotechnol. Adv. 2010, 28, 817–830. [Google Scholar] [CrossRef]
- Kumari, D.; Singh, R. Pretreatment of lignocellulosic wastes for biofuel production: A critical review. Renew. Sustain. Energy Rev. 2018, 90, 877–891. [Google Scholar] [CrossRef]
- Kumar, P.; Barrett, D.M.; Delwiche, M.J.; Stroeve, P. Methods for Pretreatment of Lignocellulosic Biomass for Efficient Hydrolysis and Biofuel Production. Ind. Eng. Chem. Res. 2009, 48, 3713–3729. [Google Scholar] [CrossRef]
- Niju, S.; Swathika, M. Delignification of sugarcane bagasse using pretreatment strategies for bioethanol production. Biocatal. Agric. Biotechnol. 2019, 20, 101263. [Google Scholar] [CrossRef]
- Baig, K.S.; Wu, J.; Turcotte, G. Future prospects of delignification pretreatments for the lignocellulosic materials to produce second generation bioethanol. Int. J. Energy Res. 2019, 43, 1411–1427. [Google Scholar] [CrossRef]
- Rastogi, M.; Shrivastava, S. Recent advances in second generation bioethanol production: An insight to pretreatment, saccharification and fermentation processes. Renew. Sustain. Energy Rev. 2017, 80, 330–340. [Google Scholar] [CrossRef]
- Vaid, S.; Nargotra, P.; Bajaj, B.K. Consolidated bioprocessing for biofuel-ethanol production from pine needle biomass. Environ. Prog. Sustain. Energy 2018, 37, 546–552. [Google Scholar] [CrossRef]
- Alvira, P.; Negro, M.; Ballesteros, I.; González, A.; Ballesteros, M. Steam Explosion for Wheat Straw Pretreatment for Sugars Production. Bioethanol 2016. [Google Scholar] [CrossRef]
- Zhao, G.; Kuang, G.; Wang, Y.; Yao, Y.; Zhang, J.; Pan, Z.H. Effect of steam explosion on physicochemical properties and fermentation characteristics of sorghum (Sorghum bicolor (L.) Moench). LWT Food Sci. Technol. 2020, 129, 109579. [Google Scholar] [CrossRef]
- Jönsson, L.J.; Martín, C. Pretreatment of lignocellulose: Formation of inhibitory by-products and strategies for minimizing their effects. Bioresour. Technol. 2016, 199, 103–112. [Google Scholar] [CrossRef]
- Mabee, W.E.; McFarlane, P.N.; Saddler, J.N. Biomass availability for lignocellulosic ethanol production. Biomass Bioenergy 2011, 35, 4519–4529. [Google Scholar] [CrossRef]
- Farkas, C.; Rezessy-Szabó, Z.M.; Gupta, V.K.; Bujna, E.; Csernus, O.; Nguyen, V.D.; Hitka, G.; Friedrich, L.; Hesham, A.E.L.; O’Donovan, A.; et al. Application of chitosan-based particles for deinking of printed paper and its bioethanol fermentation. Fuel 2020, 280, 118570. [Google Scholar] [CrossRef]
- Simangunsong, E.; Ziegler-Devin, I.; Chrusciel, L. Steam Explosion of Beech Wood: Effect of the Particle Size on the Xylans Recovery. Waste Biomass Valor. 2020, 11, 625–633. [Google Scholar] [CrossRef]
- Bondesson, P.M.; Galbe, M. Process design of SSCF for ethanol production from steam-pretreated, acetic-acid-impregnated wheat straw. Biotechnol. Biofuels 2016, 9, 222. [Google Scholar] [CrossRef]
- Sluiter, A.; Hames, B.; Hyman, D.; Payne, C.; Ruiz, R.; Scarlata, C.; Sluiter, J.; Templeton, D.; Wolfe, J. Determination of Total Solids in Biomass and Total Dissolved Solids in Liquid Process Samples. Available online: https://www.nrel.gov/docs/gen/fy08/42621.pdf (accessed on 26 September 2019).
- Sluiter, A.; Hames, B.; Ruiz, R.O.; Scarlata, C.; Sluiter, J.; Templeton, D. Determination of Ash in Biomass. Available online: https://www.nrel.gov/docs/gen/fy08/42622.pdf (accessed on 26 September 2019).
- Sluiter, A.; Hames, B.; Ruiz, R.O.; Scarlata, C.; Sluiter, J.; Templeton, D.; Crocker, D. Determination of Structural Carbohydrates and Lignin in Biomass. Available online: https://www.nrel.gov/docs/gen/fy13/42618.pdf (accessed on 26 September 2019).
- Sluiter, A.; Ruiz, R.O.; Scarlata, C.; Sluiter, J.; Templeton, D. Determination of Extractives in Biomass. Available online: https://www.nrel.gov/docs/gen/fy08/42619.pdf (accessed on 26 September 2019).
- Agblevor, F.A.; Hames, B.R.; Schell, D.; Chum, H.L. Analysis of biomass sugars using a novel HPLC method. Appl. Biochem. Biotechnol. 2007, 136, 309–326. [Google Scholar] [CrossRef] [PubMed]
- Resch, M.; Baker, J.; Decker, S. Low Solids Enzymatic Saccharification of Lignocellulosic Biomass. Laboratory Analytical Procedure (LAP). 2015. Available online: https://www.nrel.gov/docs/fy15osti/63351.pdf (accessed on 24 August 2020).
- Yu, X.; Liu, Y.; Cui, Y.; Cheng, Q.; Zhang, Z.; Lu, J.H.; Meng, Q.; Teng, L.; Ren, X. Measurement of filter paper activities of cellulase with microplate-based assay. Saudi J. Biol. Sci. 2016, 23, 93–98. [Google Scholar] [CrossRef] [PubMed]
- Melati, R.B.; Shimizu, F.L.; Oliveira, G.; Pagnocca, F.C.; de Souza, W.; Sant’Anna, C.; Brienzo, M. Key Factors Affecting the Recalcitrance and Conversion Process of Biomass. Bioenerg. Res. 2019, 12, 1–20. [Google Scholar] [CrossRef]
- Seidel, C.M.; Brethauer, S.; Gyenge, L.; Rudolf Von Rohr, P.; Studer, M.H. Two-stage steam explosion pretreatment of softwood with 2-naphthol as carbocation scavenger. Biotechnol. Biofuels 2019, 12, 37. [Google Scholar] [CrossRef] [PubMed]
- Chen, H. Physical-Chemical Properties of Solid Substrates. In High-solid and Multi-phase Bioprocess Engineering: Green Chemistry and Sustainable Technology; Springer: Singapore, 2018; pp. 13–51. [Google Scholar] [CrossRef]
- Sui Lam, P.; Tooyserkani, Z.; Jafari Naimi, L.; Sokhansanj, S. Pretreatment and Pelletization of Woody Biomass. In Pretreatment Techniques for Biofuels and Biorefineries; Fang, Z., Ed.; Springer: Berlin/Heidelberg, Germany, 2013; pp. 93–116. [Google Scholar] [CrossRef]
- Balan, R.; Antczak, A.; Brethaue, S.; Zielenkiewicz, T.; Studer, M.H. Steam Explosion Pretreatment of Beechwood. Part 1: Comparison of the Enzymatic Hydrolysis of Washed Solids and Whole Pretreatment Slurry at Different Solid Loadings. Energies 2020, 13, 3653. [Google Scholar] [CrossRef]
- Raud, M.; Krennhuber, K.; Jäger, A.; Kikas, T. Nitrogen explosive decompression pre-treatment: An alternative to steam explosion. Energy 2019, 177, 175–182. [Google Scholar] [CrossRef]
- Stenberg, K.; Tengborg, C.; Galbe, M.; Zacchi, G. Optimisation of steam pretreatment of SO2-impregnated mixed softwoods for ethanol production. J. Chem. Technol. Biotechnol. 1998, 71, 299–308. [Google Scholar] [CrossRef]
- Alfani, F.; Gallifuoco, A.; Saporosi, A.; Spera, A.; Cantarella, M. Comparison of SHF and SSF processes for the bioconversion of steam-explode wheat straw. J. Ind. Microbiol. Biotechnol. 2000, 25, 184–192. [Google Scholar] [CrossRef]
- Pielhop, T.; Amgarten, J.; Von Rohr, P.R.; Studer, M.H. Steam explosion pretreatment of softwood: The effect of the explosive decompression on enzymatic digestibility. Biotechnol. Biofuels 2016, 9, 152. [Google Scholar] [CrossRef]
- Keshav, P.K.; Naseeruddin, S.; Rao, L.V. Improved enzymatic saccharification of steam exploded cotton stalk using alkaline extraction and fermentation of cellulosic sugars into ethanol. Bioresour. Technol. 2016, 214, 363–370. [Google Scholar] [CrossRef] [PubMed]
- Tabata, T.; Yoshiba, Y.; Takashina, T.; Hieda, K.; Shimizu, N. Bioethanol production from steam-exploded rice husk by recombinant Escherichia coli KO11. World J. Microbiol. Biotechnol. 2017, 33, 47. [Google Scholar] [CrossRef] [PubMed]
- Guerrero, A.B.; Ballesteros, I.; Ballesteros, M. Optimal conditions of acid-catalysed steam explosion pretreatment of banana lignocellulosic biomass for fermentable sugar production. J. Chem. Technol. Biotechnol. 2017, 92, 2351–2359. [Google Scholar] [CrossRef]
- Russ, A.; Fišerová, M.; Letko, M.; Opálen, E. Effect of steam explosion temperature on wheat straw enzymatic hydrolysis. Wood Res. 2016, 61, 65–74. [Google Scholar]
- Yang, X.; Zhang, S.; Zuo, Z.; Men, X.; Tian, S. Ethanol production from the enzymatic hydrolysis of non-detoxified steam-exploded corn stalk. Bioresour. Technol. 2011, 102, 7840–7844. [Google Scholar] [CrossRef]
- Dekker, R.F.H.; Wallis, A.F.A. Enzymic saccharification of sugarcane bagasse pretreated by autohydrolysis–steam explosion. Biotechnol. Bioeng. 1983, 25, 3027–3048. [Google Scholar] [CrossRef]
- Cara, C.; Ruiz, E.; Ballesteros, M.; Manzanares, P.; Negro, M.J.; Castro, E. Production of fuel ethanol from steam-explosion pretreated olive tree pruning. Fuel 2008, 7, 692–700. [Google Scholar] [CrossRef]
- Pan, X.; Arato, C.; Gilkes, N.; Gregg, D.; Mabee, W.; Pye, K.; Xiao, Z.; Zhang, X.; Saddler, J. Biorefining of softwoods using ethanol organosolv pulping: Preliminary evaluation of process streams for manufacture of fuel-grade ethanol and co-products. Biotechnol. Bioeng. 2005, 90, 473–481. [Google Scholar] [CrossRef]
- Raud, M.; Rooni, V.; Kikas, T. The efficiency of nitrogen and flue gas as operating gases in explosive decompression pretreatment. Energies 2018, 11, 2074. [Google Scholar] [CrossRef]
- Kumagai, A.; Kawamura, S.; Lee, S.H.; Endo, T.; Rodriguez, M.; Mielenz, J.R. Simultaneous saccharification and fermentation and a consolidated bioprocessing for Hinoki cypress and Eucalyptus after fibrillation by steam and subsequent wet-disk milling. Bioresour. Technol. 2014, 162, 89–95. [Google Scholar] [CrossRef]
- Safari, A.; Karimi, K.; Shafiei, M. Dilute alkali pretreatment of softwood pine: A biorefinery approach. Bioresour. Technol. 2017, 234, 67–76. [Google Scholar] [CrossRef] [PubMed]





| Component | Content (%) |
|---|---|
| Glucan | 26.43 |
| Xylan | 18.86 |
| Mannan | 6.45 |
| Galactan | 3.92 |
| Arabinan | 1.54 |
| Lignin | 34.25 |
| Extractives | 6.77 |
| Ash | 1.78 |
| Experimental Group | Temperature (°C) | Biomass Loading (g) | Nitrogen Pressure (MPa) | Release Time (s) |
|---|---|---|---|---|
| S1 | 190 | 4 | 0 | 22 |
| S2 | 190 | 4 | 0.44 | 22 |
| S3 | 190 | 4 | 0.44 | 46 |
| S4 | 190 | 4 | 0 | 46 |
| S5 | 190 | 8 | 0.44 | 46 |
| S6 | 190 | 8 | 0 | 22 |
| S7 | 190 | 8 | 0.44 | 22 |
| S8 | 190 | 8 | 0 | 46 |
| Lignin (w/w, %) | Ash (w/w, %) | Glucose (w/w, %) | Xylose (w/w, %) | Mannose (w/w, %) | Galactose (w/w, %) | Arabinose (w/w, %) | |
|---|---|---|---|---|---|---|---|
| S1 | 33.2 ± 0.18 | 3.38 ± 0.21 | 21.19 ± 0.10 | 1.41 ± 0.12 | 0.62 ± 0.06 | 0.57 ± 0.05 | 0.02 ± 0.00 |
| S2 | 33.85 ± 0.26 | 3.45 ± 0.26 | 24.85 ± 0.18 | 1.74 ± 0.16 | 0.54 ± 0.04 | 0.31 ± 0.06 | 0.03 ± 0.01 |
| S3 | 34.45 ± 0.22 | 3.64 ± 0.28 | 24.55 ± 0.21 | 1.83 ± 0.12 | 0.58 ± 0.09 | 0.43 ± 0.07 | 0.02 ± 0.01 |
| S4 | 35.3 ± 0.19 | 4.09 ± 0.32 | 21.56 ± 0.06 | 1.50 ± 0.16 | 0.61 ± 0.07 | 0.27 ± 0.08 | 0.03 ± 0.01 |
| S5 | 36.2 ± 0.22 | 4.24 ± 0.24 | 20.81 ± 0.20 | 1.50 ± 0.06 | 0.65 ± 0.06 | 0.51 ± 0.04 | 0.03 ± 0.01 |
| S6 | 35.65 ± 0.20 | 4.18 ± 0.20 | 19.99 ± 0.10 | 1.40 ± 0.10 | 0.76 ± 0.04 | 0.49 ± 0.08 | 0.01 ± 0.01 |
| S7 | 33.6 ± 0.21 | 4.04 ± 0.18 | 21.84 ± 0.16 | 1.70 ± 0.18 | 0.73 ± 0.05 | 0.52 ± 0.08 | 0.03 ± 0.00 |
| S8 | 33.2 ± 0.26 | 3.87 ± 0.23 | 19.06 ± 0.12 | 1.32 ± 0.06 | 1.22 ± 0.16 | 0.45 ± 0.04 | 0.03 ± 0.01 |
| Independent Variables | Unit | Symbol | Low Level (−1) | High Level (+1) |
|---|---|---|---|---|
| Retention time | s | X1 | 22 | 46 |
| N2 pressure | MPa | X2 | 0 | 0.44 |
| Biomass loading | g | AF | 4 | 8 |
© 2020 by the authors. Licensee MDPI, Basel, Switzerland. This article is an open access article distributed under the terms and conditions of the Creative Commons Attribution (CC BY) license (http://creativecommons.org/licenses/by/4.0/).
Share and Cite
Borand, M.N.; Isler Kaya, A.; Karaosmanoglu, F. Saccharification Yield through Enzymatic Hydrolysis of the Steam-Exploded Pinewood. Energies 2020, 13, 4552. https://doi.org/10.3390/en13174552
Borand MN, Isler Kaya A, Karaosmanoglu F. Saccharification Yield through Enzymatic Hydrolysis of the Steam-Exploded Pinewood. Energies. 2020; 13(17):4552. https://doi.org/10.3390/en13174552
Chicago/Turabian StyleBorand, Merve Nazli, Asli Isler Kaya, and Filiz Karaosmanoglu. 2020. "Saccharification Yield through Enzymatic Hydrolysis of the Steam-Exploded Pinewood" Energies 13, no. 17: 4552. https://doi.org/10.3390/en13174552
APA StyleBorand, M. N., Isler Kaya, A., & Karaosmanoglu, F. (2020). Saccharification Yield through Enzymatic Hydrolysis of the Steam-Exploded Pinewood. Energies, 13(17), 4552. https://doi.org/10.3390/en13174552

