Analysis of the Relationship of the Improvement of Façades and Thermal Bridges of Spanish Building Stock with the Mitigation of Its Energy and Environmental Impact
Abstract
1. Introduction
2. Methodology
2.1. Case Study
2.2. Energy Conservation Measures Analyzed
2.3. Cities and Climate Data
2.4. Simulation Process
2.5. Limitations of the Study
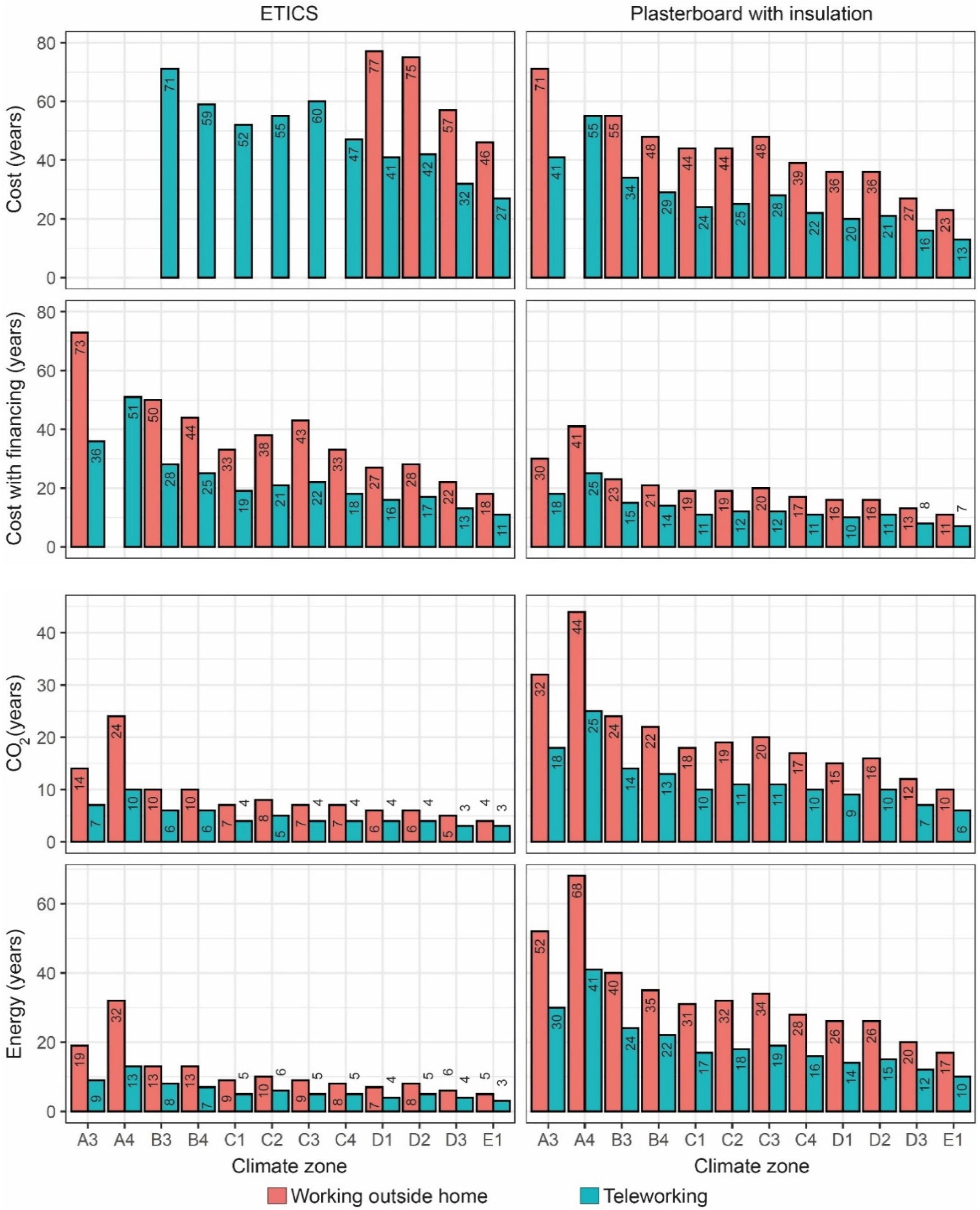
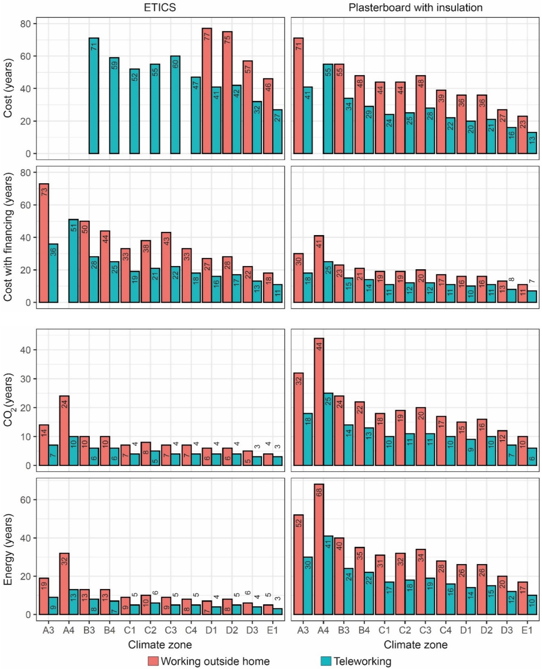
3. Results and Discussion
4. Conclusions
Funding
Conflicts of Interest
References
- Attia, S.; Eleftheriou, P.; Xeni, F.; Morlot, R.; Ménézo, C.; Kostopoulos, V.; Betsi, M.; Kalaitzoglou, I.; Pagliano, L.; Cellura, M.; et al. Overview and future challenges of nearly zero energy buildings (nZEB) design in Southern Europe. Energy Build. 2017, 155, 439–458. [Google Scholar] [CrossRef]
- European Environment Agency. Final Energy Consumption by Sector and Fuel (2016); European Environment Agency: Copenhagen, Denmark, 2018. [Google Scholar]
- European Commission. Action Plan for Energy Efficiency: Realising the Potential; European Commission: Brussels, Belgium, 2006; pp. 1–37. [Google Scholar]
- European Commission. A Roadmap for Moving to a Competitive Low Carbon Economy in 2050; European Commission: Brussels, Belgium, 2011. [Google Scholar]
- Costa, G.; Sicilia, Á.; Oregi, X.; Pedrero, J.; Mabe, L. A catalogue of energy conservation measures (ECM) and a tool for their application in energy simulation models. J. Build. Eng. 2020, 29. [Google Scholar] [CrossRef]
- De Lieto Vollaro, R.; Guattari, C.; Evangelisti, L.; Battista, G.; Carnielo, E.; Gori, P. Building energy performance analysis: A case study. Energy Build. 2015, 87, 87–94. [Google Scholar] [CrossRef]
- Escorcia, O.; García, R.; Trebilcock, M.; Celis, F.; Bruscato, U. Envelope improvements for energy efficiency of homes in the south-central Chile. Inf. La Construcción 2012, 64, 563–574. [Google Scholar] [CrossRef]
- Friedman, C.; Becker, N.; Erell, E. Energy retrofit of residential building envelopes in Israel: A cost-benefit analysis. Energy 2014, 77, 183–193. [Google Scholar] [CrossRef]
- Pacheco, R.; Ordóñez, J.; Martínez, G. Energy efficient design of building: A review. Renew. Sustain. Energy Rev. 2012, 16, 3559–3573. [Google Scholar] [CrossRef]
- Aksoy, U.T.; Inalli, M. Impacts of some building passive design parameters on heating demand for a cold region. Build. Environ. 2006, 41, 1742–1754. [Google Scholar] [CrossRef]
- Güçyeter, B.; Günaydin, H.M. Optimization of an envelope retrofit strategy for an existing office building. Energy Build. 2012, 55, 647–659. [Google Scholar] [CrossRef]
- Invidiata, A.; Lavagna, M.; Ghisi, E. Selecting design strategies using multi-criteria decision making to improve the sustainability of buildings. Build. Environ. 2018, 139, 58–68. [Google Scholar] [CrossRef]
- Qian, D.; Li, Y.; Niu, F.; O’Neill, Z. Nationwide savings analysis of energy conservation measures in buildings. Energy Convers. Manag. 2019, 188, 1–18. [Google Scholar] [CrossRef]
- Theodosiou, T.G.; Papadopoulos, A.M. The impact of thermal bridges on the energy demand of buildings with double brick wall constructions. Energy Build. 2008, 40, 2083–2089. [Google Scholar] [CrossRef]
- Theodosiou, T.; Tsikaloudaki, K.; Bikas, D. Analysis of the thermal bridging effect on ventilated facades. Procedia Environ. Sci. 2017, 38, 397–404. [Google Scholar] [CrossRef]
- Ramalho de Freitas, J.; Grala da Cunha, E. Thermal bridges modeling in South Brazil climate: Three different approaches. Energy Build. 2018, 169, 271–282. [Google Scholar] [CrossRef]
- Ge, H.; McClung, V.R.; Zhang, S. Impact of balcony thermal bridges on the overall thermal performance of multi-unit residential buildings: A case study. Energy Build. 2013, 60, 163–173. [Google Scholar] [CrossRef]
- Evola, G.; Margani, G.; Marletta, L. Energy and cost evaluation of thermal bridge correction in Mediterranean climate. Energy Build. 2011, 43, 2385–2393. [Google Scholar] [CrossRef]
- Bienvenido-Huertas, D.; Quiñones, J.A.F.; Moyano, J.; Rodríguez-Jiménez, C.E. Patents analysis of thermal bridges in slab fronts and their effect on energy demand. Energies 2018, 11, 2222. [Google Scholar] [CrossRef]
- Thibodeau, C.; Bataille, A.; Sié, M. Building rehabilitation life cycle assessment methodology–state of the art. Renew. Sustain. Energy Rev. 2019, 103, 408–422. [Google Scholar] [CrossRef]
- Coelho, G.B.A.; Silva, H.E.; Henriques, F.M.A. Impact of climate change in cultural heritage: From energy consumption to artefacts’ conservation and building rehabilitation. Energy Build. 2020, 110250. [Google Scholar] [CrossRef]
- Mikulic, D.; Slijepcevic, S.; Buturac, G. Energy renovation of multi apartment buildings: Contributions to economy and climate changes. Energy Build. 2020, 224. [Google Scholar] [CrossRef]
- Verichev, K.; Zamorano, M.; Carpio, M. Effects of climate change on variations in climatic zones and heating energy consumption of residential buildings in the southern Chile. Energy Build. 2020, 215, 109874. [Google Scholar] [CrossRef]
- Felgueiras, M.; Caetano, N. ZELab: Planning a living lab to educate modern engineering professionals. In Proceedings of the Proceedings of the Sixth International Conference on Technological Ecosystems for Enhancing Multiculturality, Salamanca, Spain, 24–26 October 2018; pp. 535–540. [Google Scholar]
- European Union. Directive 2010/31/EU of the European Parliament and of the Council of 19 May 2010 on the Energy Performance of Buildings; European Union: Brussels, Belgium, 2010; Volume 153, pp. 13–35. [Google Scholar]
- Kawashima, T.; Nomura, S.; Tanoue, Y.; Yoneoka, D.; Eguchi, A.; Shi, S.; Miyata, H. The relationship between fever rate and telework implementation as a social distancing measure against the COVID-19 pandemic in Japan. Public Health 2020. [Google Scholar] [CrossRef]
- Thomson, H.; Bouzarovski, S.; Snell, C. Rethinking the measurement of energy poverty in Europe: A critical analysis of indicators and data. Indoor Built Environ. 2017, 26, 879–901. [Google Scholar] [CrossRef]
- Kurtz, F.; Monzón, M.; López-Mesa, B. Energy and acoustics related obsolescence of social housing of Spain’s post-war in less favoured urban areas. The case of Zaragoza. Inf. La Construcción 2015, 67, m021. [Google Scholar] [CrossRef]
- Bienvenido-Huertas, D.; Sánchez-García, D.; Rubio-Bellido, C. Comparison of energy conservation measures considering adaptive thermal comfort and climate change in existing Mediterranean dwellings. Energy 2020, 190. [Google Scholar] [CrossRef]
- CYPE Ingenieros SA. Construction Price Generator 2020; CYPE Ingenieros, SA: Madrid, Spain, 2020; Available online: http://www.generadordeprecios.info/#gsc.tab=0 (accessed on 8 February 2020).
- The Government of Spain. CO2 Emission Factors and Transition Coefficients to Primary Energy from Different Final Energy Sources Consumed in the Building Sector in Spain; The Government of Spain: Madrid, Spain, 2016.
- Nakićenović, N.; Swart, R. Special Report on Emissions Scenarios. A Special Report of Working Group III of the Intergovernmental Panel on Climate Change; Cambridge University Press: Cambridge, UK, 2000; ISBN 0-521-8008-1. [Google Scholar]
- The Government of Spain. Royal Decree 314/2006. Approving the Spanish Technical Building Code; The Government of Spain: Madrid, Spain, 2013.
- HTFlux HTFlux Hygric and Thermal Simulation. Available online: https://www.htflux.com/en/ (accessed on 31 July 2018).
- International Organization for Standardization. ISO 10211:2017—Thermal Bridges in Building Construction—Heat Flows and Surface Temperatures—Detailed Calculations; International Organization for Standardization: Geneva, Switzerland, 2017. [Google Scholar]
- López-Ochoa, L.M.; Las-Heras-Casas, J.; López-González, L.M.; Olasolo-Alonso, P. Towards nearly zero-energy buildings in Mediterranean countries: Energy Performance of Buildings Directive evolution and the energy rehabilitation challenge in the Spanish residential sector. Energy 2019, 176, 335–352. [Google Scholar] [CrossRef]
- D’Agostino, D.; Zangheri, P.; Castellazzi, L. Towards nearly zero energy buildings in Europe: A focus on retrofit in non-residential buildings. Energies 2017, 10, 117. [Google Scholar] [CrossRef]
- Besir, A.B.; Cuce, E. Green roofs and facades: A comprehensive review. Renew. Sustain. Energy Rev. 2018, 82, 915–939. [Google Scholar] [CrossRef]
- Kuznik, F.; David, D.; Johannes, K.; Roux, J.J. A review on phase change materials integrated in building walls. Renew. Sustain. Energy Rev. 2011, 15, 379–391. [Google Scholar] [CrossRef]
- Bienvenido-Huertas, D.; Sánchez-García, D.; Pérez-Fargallo, A.; Rubio-Bellido, C. Optimization of energy saving with adaptive setpoint temperatures by calculating the prevailing mean outdoor air temperature. Build. Environ. 2020, 170. [Google Scholar] [CrossRef]
- Luthander, R.; Nilsson, A.M.; Widén, J.; Åberg, M. Graphical analysis of photovoltaic generation and load matching in buildings: A novel way of studying self-consumption and self-sufficiency. Appl. Energy 2019, 250, 748–759. [Google Scholar] [CrossRef]
- García-Gusano, D.; Iribarren, D. Prospective energy security scenarios in Spain: The future role of renewable power generation technologies and climate change implications. Renew. Energy 2018, 126, 202–209. [Google Scholar] [CrossRef]
- Mela, K.; Tiainen, T.; Heinisuo, M. Comparative study of multiple criteria decision making methods for building design. Adv. Eng. Inform. 2012, 26, 716–726. [Google Scholar] [CrossRef]
- Carli, R.; Dotoli, M.; Pellegrino, R.; Ranieri, L. Using multi-objective optimization for the integrated energy efficiency improvement of a smart city public buildings’ portfolio. In Proceedings of the 2015 IEEE International Conference on Automation Science and Engineering (CASE), Gothenburg, Sweden, 24–28 August 2015; pp. 21–26. [Google Scholar]










| Layers | Thickness (m) | Thermal Resistance ((m2K)/W) | Thermal Transmittance (W/(m2K)) |
|---|---|---|---|
| Cement mortar | 0.01 | 0.01 | 0.73 |
| Perforated brick | 0.11 | 0.19 | |
| Cement mortar | 0.01 | 0.01 | |
| Insulation | 0.02 | 0.67 | |
| Air gap | 0.04 | 0.18 | |
| Hollow brick | 0.05 | 0.11 | |
| Gypsum plaster | 0.01 | 0.03 |
| ECM | Description | Thermal Transmittance (W/(m2K)) | Investment (€) |
|---|---|---|---|
| External thermal insulation composite systems (ETICS) | Insulation with mineral wool of 5 cm (λ = 0.038 W/(mK)) | 0.371 | 496,256.35 |
| Internal plasterboard with insulation | Insulation with mineral wool of 5 cm (λ = 0.037 W/(mK)) | 0.364 | 142,544.19 |
| ECM | Stage of the Life Cycle | |||||
|---|---|---|---|---|---|---|
| Manufacture | Construction | |||||
| A1-A2-A3 | A4 | A5 | ||||
| Energy Added (MJ/m2) | Equivalent CO2 Emissions (kg/m2) | Energy Added (MJ/m2) | Equivalent CO2 Emissions (kg/m2) | Energy Added (MJ/m2) | Equivalent CO2 Emissions (kg/m2) | |
| ETICS | 234.733 | 18.108 | 10.158 | 0.752 | 0.39 | 0.052 |
| Plasterboard with insulation | 460.768 | 27.594 | 8.289 | 0.613 | 0.132 | 0.017 |
| Class | Value | Class | Value |
|---|---|---|---|
| A | 1 | ||
| B | 2 | ||
| C | 3 | ||
| D | 4 | ||
| E |
| Mode | Loads/Setpoint Temperatures | 0:00–6:59 | 07:00–7:59 | 08:00–18:59 | 19:00–22:59 | 23:00–23:59 |
|---|---|---|---|---|---|---|
| Working outside the home | Occupancy load (W/m2) | 3.51 | 0 | 0 | 3.51 | 3.51 |
| Equipment load (W/m2) | 4.40 | 0 | 0 | 4.40 | 4.40 | |
| Lighting load (W/m2) | 4.40 | 0 | 0 | 4.40 | 4.40 | |
| Heating setpoint temperature (°C) | 17 | - | - | 20 | 17 | |
| Cooling setpoint temperature (°C) | 27 | - | - | 25 | 27 | |
| Teleworking | Occupancy load (W/m2) | 3.51 | 3.51 | 3.51 | 3.51 | 3.51 |
| Equipment load (W/m2) | 4.40 | 2.20 | 4.40 | 4.40 | 4.40 | |
| Lighting load (W/m2) | 4.40 | 2.20 | 4.40 | 4.40 | 4.40 | |
| Heating setpoint temperature (°C) | 17 | 20 | 20 | 20 | 17 | |
| Cooling setpoint temperature (°C) | 27 | 25 | 25 | 25 | 27 |
| Zone | Savings in Annual Energy Consumption (MWh) | ||||||||
|---|---|---|---|---|---|---|---|---|---|
| Current | 2030 | 2040 | 2050 | 2060 | 2070 | 2080 | 2090 | 2100 | |
| A3 | −37.91 | −31.44 | −31.08 | −32.43 | −31.94 | −33.01 | −34.99 | −38.11 | −37.90 |
| A4 | −26.61 | −22.81 | −21.08 | −21.68 | −24.12 | −24.27 | −25.77 | −29.45 | −29.83 |
| B3 | −46.22 | −41.64 | −40.52 | −37.47 | −41.01 | −42.03 | −41.33 | −44.06 | −46.63 |
| B4 | −45.26 | −48.73 | −48.05 | −49.78 | −50.70 | −52.03 | −52.04 | −55.60 | −55.94 |
| C1 | −67.04 | −60.81 | −58.69 | −54.61 | −49.34 | −45.49 | −46.88 | −42.65 | −42.51 |
| C2 | −59.89 | −55.81 | −54.02 | −52.66 | −51.20 | −48.25 | −48.61 | −47.79 | −48.12 |
| C3 | −78.00 | −45.96 | −44.01 | −44.99 | −43.74 | −48.16 | −44.58 | −49.34 | −49.74 |
| C4 | −73.53 | −62.37 | −59.98 | −60.61 | −57.75 | −56.56 | −54.91 | −57.38 | −56.31 |
| D1 | −80.70 | −74.11 | −70.43 | −66.07 | −64.05 | −58.15 | −55.31 | −51.80 | −49.20 |
| D2 | −67.53 | −72.94 | −69.23 | −69.28 | −64.77 | −66.57 | −63.23 | −62.30 | −63.93 |
| D3 | −95.16 | −92.75 | −89.92 | −88.29 | −87.44 | −86.01 | −83.72 | −77.87 | −79.92 |
| E1 | −115.96 | −111.26 | −105.34 | −104.58 | −100.94 | −97.44 | −91.99 | −89.05 | −93.47 |
| Zone | Savings in Annual Energy Consumption (MWh) | ||||||||
|---|---|---|---|---|---|---|---|---|---|
| Current | 2030 | 2040 | 2050 | 2060 | 2070 | 2080 | 2090 | 2100 | |
| A3 | −23.71 | −19.37 | −19.54 | −20.29 | −20.03 | −20.60 | −22.12 | −24.09 | −23.94 |
| A4 | −16.53 | −14.83 | −13.87 | −14.58 | −16.24 | −16.40 | −17.54 | −19.74 | −19.83 |
| B3 | −28.56 | −25.10 | −24.74 | −23.08 | −25.62 | −26.38 | −26.02 | −27.77 | −28.98 |
| B4 | −28.00 | −29.34 | −28.70 | −29.77 | −30.63 | −31.56 | −31.60 | −33.74 | −33.96 |
| C1 | −38.96 | −35.48 | −33.84 | −31.85 | −28.88 | −26.96 | −28.33 | −25.71 | −25.79 |
| C2 | −35.63 | −33.07 | −32.28 | −31.65 | −31.14 | −29.61 | −30.19 | −29.59 | −29.85 |
| C3 | −44.14 | −27.28 | −26.57 | −27.09 | −26.21 | −29.38 | −27.54 | −30.17 | −30.27 |
| C4 | −42.95 | −36.77 | −35.96 | −36.18 | −34.59 | −34.18 | −33.69 | −35.23 | −34.17 |
| D1 | −45.66 | −42.35 | −40.17 | −37.44 | −36.54 | −33.51 | −32.36 | −30.60 | −29.06 |
| D2 | −38.03 | −41.98 | −40.00 | −40.26 | −37.90 | −39.47 | −37.84 | −37.82 | −38.47 |
| D3 | −54.43 | −53.55 | −52.06 | −51.41 | −50.97 | −50.60 | −49.85 | −46.64 | −47.79 |
| E1 | −66.24 | −62.94 | −60.05 | −59.32 | −57.58 | −55.28 | −52.95 | −51.79 | −54.35 |
| Zone | Savings in Annual Energy Consumption (MWh) | ||||||||
|---|---|---|---|---|---|---|---|---|---|
| Current | 2030 | 2040 | 2050 | 2060 | 2070 | 2080 | 2090 | 2100 | |
| A3 | −21.09 | −16.14 | −15.01 | −15.90 | −15.22 | −14.75 | −15.40 | −17.10 | −17.33 |
| A4 | −14.76 | −9.81 | −8.71 | −8.81 | −10.62 | −11.30 | −12.72 | −15.13 | −15.75 |
| B3 | −25.42 | −24.44 | −23.17 | −21.14 | −23.55 | −24.43 | −23.63 | −25.96 | −27.15 |
| B4 | −24.49 | −27.34 | −26.02 | −27.14 | −26.76 | −26.86 | −27.03 | −28.57 | −29.02 |
| C1 | −38.94 | −36.18 | −34.87 | −32.24 | −29.71 | −27.00 | −27.36 | −24.48 | −24.68 |
| C2 | −34.84 | −31.88 | −30.50 | −29.86 | −28.48 | −26.86 | −27.27 | −25.95 | −26.01 |
| C3 | −45.47 | −25.69 | −24.41 | −24.41 | −22.96 | −25.61 | −23.27 | −26.04 | −25.71 |
| C4 | −42.15 | −35.51 | −33.21 | −32.76 | −31.28 | −30.54 | −29.77 | −31.50 | −30.45 |
| D1 | −48.06 | −44.12 | −42.26 | −39.65 | −37.21 | −34.13 | −32.39 | −30.40 | −29.02 |
| D2 | −40.58 | −43.10 | −40.72 | −40.15 | −37.21 | −37.95 | −35.06 | −35.25 | −36.01 |
| D3 | −55.71 | −54.19 | −51.80 | −50.98 | −50.02 | −49.15 | −47.07 | −43.97 | −45.52 |
| E1 | −67.50 | −66.55 | −62.94 | −62.59 | −60.12 | −57.33 | −53.83 | −52.31 | −54.42 |
| Zone | Savings in Annual Energy Consumption (MWh) | ||||||||
|---|---|---|---|---|---|---|---|---|---|
| Current | 2030 | 2040 | 2050 | 2060 | 2070 | 2080 | 2090 | 2100 | |
| A3 | −14.32 | −11.37 | −10.95 | −11.47 | −11.46 | −11.48 | −12.29 | −13.21 | −13.29 |
| A4 | −9.73 | −8.36 | −7.99 | −8.13 | −9.08 | −9.41 | −9.72 | −11.11 | −11.43 |
| B3 | −17.18 | −15.46 | −14.99 | −14.30 | −15.39 | −15.89 | −15.10 | −15.43 | −15.89 |
| B4 | −17.16 | −17.54 | −17.06 | −17.91 | −17.81 | −18.11 | −17.80 | −18.17 | −18.65 |
| C1 | −22.02 | −20.16 | −19.48 | −17.96 | −17.01 | −15.84 | −16.57 | −15.56 | −15.98 |
| C2 | −21.11 | −19.12 | −18.72 | −18.55 | −18.09 | −17.60 | −17.98 | −17.37 | −17.63 |
| C3 | −26.30 | −16.61 | −15.97 | −16.50 | −15.84 | −17.38 | −16.49 | −17.73 | −17.64 |
| C4 | −25.33 | −21.74 | −20.77 | −20.65 | −19.87 | −19.50 | −19.44 | −20.27 | −19.43 |
| D1 | −26.08 | −24.17 | −22.97 | −21.69 | −20.56 | −19.02 | −18.64 | −17.74 | −17.13 |
| D2 | −22.60 | −24.82 | −23.51 | −23.54 | −22.59 | −23.44 | −21.81 | −21.72 | −22.14 |
| D3 | −32.29 | −31.53 | −30.55 | −30.20 | −30.13 | −30.11 | −29.19 | −27.48 | −28.70 |
| E1 | −38.13 | −36.75 | −35.19 | −35.04 | −33.93 | −32.77 | −31.53 | −31.13 | −32.42 |
| Zone | Percentage of Reduction of CO2 Emissions (%) | |||
|---|---|---|---|---|
| Teleworking | Working Outside the Home | |||
| ETICS | Plasterboard | ETICS | Plasterboard | |
| A3 | 7.1 | 2.8 | 5.8 | 3.2 |
| A4 | −17.4 | −20.6 | −28.4 | −29.0 |
| B3 | 18.4 | 14.0 | 17.1 | 13.8 |
| B4 | 6.9 | 1.3 | 4.5 | 0.4 |
| C1 | 37.2 | 29.5 | 38.4 | 30.8 |
| C2 | 20.4 | 14.0 | 20.2 | 14.8 |
| C3 | 29.7 | 25.3 | 31.3 | 28.3 |
| C4 | 21.3 | 15.3 | 20.9 | 16.2 |
| D1 | 36.7 | 27.2 | 38.8 | 30.1 |
| D2 | 16.7 | 8.3 | 14.9 | 7.2 |
| D3 | 21.0 | 12.8 | 17.9 | 10.9 |
| E1 | 27.9 | 18.9 | 25.8 | 17.4 |
© 2020 by the author. Licensee MDPI, Basel, Switzerland. This article is an open access article distributed under the terms and conditions of the Creative Commons Attribution (CC BY) license (http://creativecommons.org/licenses/by/4.0/).
Share and Cite
Bienvenido-Huertas, D. Analysis of the Relationship of the Improvement of Façades and Thermal Bridges of Spanish Building Stock with the Mitigation of Its Energy and Environmental Impact. Energies 2020, 13, 4499. https://doi.org/10.3390/en13174499
Bienvenido-Huertas D. Analysis of the Relationship of the Improvement of Façades and Thermal Bridges of Spanish Building Stock with the Mitigation of Its Energy and Environmental Impact. Energies. 2020; 13(17):4499. https://doi.org/10.3390/en13174499
Chicago/Turabian StyleBienvenido-Huertas, David. 2020. "Analysis of the Relationship of the Improvement of Façades and Thermal Bridges of Spanish Building Stock with the Mitigation of Its Energy and Environmental Impact" Energies 13, no. 17: 4499. https://doi.org/10.3390/en13174499
APA StyleBienvenido-Huertas, D. (2020). Analysis of the Relationship of the Improvement of Façades and Thermal Bridges of Spanish Building Stock with the Mitigation of Its Energy and Environmental Impact. Energies, 13(17), 4499. https://doi.org/10.3390/en13174499
