Abstract
The effect of mechanical night ventilation on thermal comfort and electricity use for cooling of a typical historic office building in north-central Sweden was assessed. IDA-ICE simulation program was used to model the potential for improving thermal comfort and electricity savings by applying night ventilation cooling. Parametric study comprised different outdoor climates, flow rates, cooling machine’s coefficient of performance and ventilation units’ specific fan power values. Additionally, the effect of different door schemes (open or closed) on thermal comfort in offices was investigated. It was shown that night ventilation cannot meet the building’s total cooling demand and auxiliary active cooling is required, although the building is located in a cold climate. Night ventilation had the potential in decreasing the percentage of exceedance hours in offices by up to 33% and decreasing the total electricity use for cooling by up to 40%. More electricity is saved with higher night ventilation rates. There is, however, a maximum beneficial ventilation rate above which the increase in electricity use in fans outweighs the decrease in electricity use in cooling machine. It depends on thermal mass capacity of the building, cooling machine´s coefficient of performance, design ventilation rate, and available night ventilation cooling potential (ambient air temperature).
1. Introduction
The European Union (EU) has set an objective to be climate neutral by 2050. This implies that 80–95% reduction in greenhouse gas (GHG) emissions, compared to the 1990 levels, needs to be achieved through pursuing the most energy efficient and economically feasible measures. It is estimated that the EU building sector accounts for about 36% of CO2 emissions and 40% of used energy [1] and over 25% of buildings are historic [2]. Therefore, one of the main measures to achieve these goals is to focus on improving energy efficiency in the building sector, including historic buildings.
One part of energy use in buildings, especially for office and commercial buildings, is cooling demand. Night ventilation (NV) is one of the promising techniques which has shown to significantly reduce buildings’ cooling demand and improve thermal comfort [3], specifically when applied to massive/heavy buildings [4]. This is an indirect way of cooling in which the building is ventilated with colder ambient air during nighttime to cool down its structural elements. The cool fabric can then absorb the heat flows the following day and provide comfort by reducing both the indoor air and wall temperature rises.
The efficiency of NV is strongly dependent on some main parameters: (1) daily amplitude of the ambient temperature (higher effectiveness with higher amplitude; specifically with lower minimum ambient temperature), (2) the difference between indoor and ambient temperatures mainly during night period, (3) the NV rate, (4) the NV operation period and duration, (5) the thermal capacity of the building, and (6) efficient coupling of air flow and thermal mass (an example of inefficient coupling is short circuit air flow through the windows) [5].
Some studies have evaluated the effect of climatic situations (including the ambient temperature) on the potential of NV strategy. Artman et al. [6] showed that Northern European climates (including the British Isles) offer a significant potential for cooling by NV, while in Central, Eastern and even some regions of Southern Europe, additional cooling systems are required to fulfill thermal comfort during a series of warmer nights at some locations. It was depicted that in southern Spain, Italy and Greece, NV might be promising for hybrid systems. Another study by Artmann et al. [7] assessed the influence of the future climate warming on NV potential and showed that by 2071–2100, the decrease in mean cooling potential will be in the range of 12.5–37.5 W/m2, depending on season, location and the emission scenarios. Jimenez-Bescos [8] simulated the effect of the future climate scenarios on the required NV rates with the help of thermal mass for reducing overheating in the buildings located in London Islington. It was shown that while NV rates over eight air changes per hour (ACH) could provide significant overheating reductions in the short term, in the long term, the 2080s, NV rates less than 10 ACH have very low influence for this purpose, less than 3% and 8% for high and medium emissions scenarios, respectively. Kolokotroni et al. [9] simulated how urban heat island phenomenon can increase the building summer cooling demand and deplete the NV potential. They showed that, during a typical hot week and in the same location, the rural reference office has 84% of the cooling demand of the urban one. It also depicted that a rural optimized office, unlike an urban one, could maintain temperatures below 24 °C without artificial cooling and would need 42% of the cooling required for an urban optimized office.
Several parametric studies using Building Energy Simulation (BES), pointed out the important influence of different building design and operational parameters including thermal mass of the building [10], NV rate [11,12] and NV period and duration [12] on the effectiveness of NV strategy in different climatic conditions. The results of some studies have shown more than 60% cooling load reduction by increasing building time constant between 400–1000 h [13], up to 3 °C reduction in peak indoor air temperature for high thermal mass [5,14], 2–3 °C reduction in indoor temperatures by doubling the building mass (800 kg/m3 to 1600 kg/m3) [15], and 3–6 °C indoor temperature decrease depending on the amount of thermal mass, the rate of NV, and the temperature swing of the site between day and night [16].
The higher the NV rate, the higher the effectiveness of the strategy; there may exist some thresholds, however. The results of some parametric studies using BES have depicted the achievable reduction of the peak indoor temperature up to 1 °C as well as attained comfort criteria with NV rates lower than 10 ACH for Spanish climates (further increases produced marginal improvements) [17] and for maritime Irish climate [15]. Some studies have shown reduction in the mean radiant temperature of building’s indoor surface up to 3.9 °C at 8:00 am with NV rate of 10 ACH for the Northern Chinese climate [4], and a 39–96% decrease in the overheating hours (with natural NV) and 48–94% energy reduction (with air conditioning systems) with the NV rates of 10–30 ACH for the Greek climate (Athens) [5].
Different suggestions have been proposed regarding the influence of NV runtime (including the start point and the duration) on the effectiveness of NV strategy. They include, among others, NV duration with 5 a.m. in the middle of the period (such as 4 a.m. to 6 a.m.) [18] and longer NV duration and closer NV period to the active cooling period [4,12,19,20].
Many parametric studies, using BES, investigated the influence of NV strategy on both improvement of thermal comfort and reduction of energy use for active cooling in office buildings. Some studies have shown the potential of NV in the form of determining the optimal NV flow rate over which further increase in ventilation rate, produces marginal improvements in thermal comfort in the building; dependent on the thermal mass capacity of the building [4,5,17]. These studies, afterward, calculated the amount of saved energy for active cooling based on this maximum beneficial ventilation rate. However, for mechanically driven NV, the electricity use in ventilation unit’s fans needs also to be taken into account. In other words, the maximum beneficial NV rate is the ventilation rate which results in the minimum total energy use which consists of energy use for active cooling plus electricity use in ventilation unit’s fans. For NV rates above this maximum limit, the amount of increase in electricity use in fans outweighs the amount of decrease in energy use for active cooling and, therefore, the total energy use starts increasing.
Lain and Hensen [21] performed a parametric study on the optimization of mechanical NV system in an office building, including two NV rates and the mechanical cooling system’s coefficient of performance (COP) 2.5. They illustrated that due to the relatively high COP value, the electrical energy use in the fans can outweigh even the large cooling energy savings by NV. However, they did not evaluate the potential of NV for other COP values. In fact, cooling systems with lower performance, lower COP values, might result in higher potential of NV for cooling energy savings. The evaluation of NV potential for cooling energy savings for various cooling system’s COP values has not been widely covered in the literature and a research gap is recognized in this area.
Guo et al. [22] evaluated the influence of the key design parameters on NV performance indicators using a holistic approach integrating sensitivity and parametric simulation analyses. They concluded that the window-wall ratio, internal convective heat transfer coefficient, internal thermal mass level, and NV rate are the most important parameters. Percentage outside the range (POR), from the thermal comfort improvement category, ventilative cooling advantage (ADV), from the energy efficiency category, and cooling requirements reduction (CRR), from the ability to reduce cooling energy use category, were recommended to evaluate the NV performance.
In the present study, the effect of mechanical NV strategy on both thermal comfort and electricity use for cooling of a typical historic office building in north-central Sweden was assessed. The NV performance indicators from thermal comfort improvement and energy efficiency categories were used in the assessment. In the former, POR was applied and, in the latter, the total electricity use for cooling, comprising the electricity use in cooling machine plus the electricity use in ventilation system, was compared in different cases. The IDA indoor climate and energy (IDA-ICE) simulation program was used to model the potential for improving thermal comfort and electricity savings by applying NV cooling. The parametric study comprised different outdoor climate conditions, flow rates, cooling machine´s COP and ventilation unit’s specific fan power (SFP) values. In addition, the effect of different door schemes (i.e., open doors or closed doors) on thermal comfort in the offices was investigated.
2. Case Study
This study is based on the design and structure of the City Hall of Gävle in Sweden. The City Hall is a typical historic building, refurbished to an office, with the usable floor area of around 2100 m2. A detailed description of the building was presented in the previous published paper by Bakhtiari et al. [23]. The building consists mainly of 66 spaces: small office rooms, corridors, open-plan offices/seminar rooms, stairwells/entrance halls, with heavyweight construction and large windows. The height of each floor level is around 4 m, except for the open-plan offices/seminar rooms (around 5 m). The parametric study has been performed based on the third floor of the four-story building, which is a representative floor level. The building of the City Hall of Gävle is shown in Figure 1.
Figure 1.
The building of the City Hall of Gävle (photo: Abolfazl Hayati).
3. Materials and Methods
Methods used in this study include on-site measurements, including logging on the building management system (BMS), and applying a BES tool. An overview of the methods is shown in Figure 2, and it can be divided into five main steps. In the first step, the input and calibration data were collected from on-site measurements and BMS logging, and the initial BES model of a non-occupied zone was created. In the second step, the BES model of the zone was calibrated. The final calibrated BES model included the construction materials normally used at the time the City Hall was constructed [24]. In the third step, the BES model of a representative floor level was created with the same construction materials as the second step. In the fourth and fifth steps, using the floor-level BES model, the thermal comfort and energy use analyses were carried out.
Figure 2.
Overview of the research process.
3.1. Calibration
The numerical analyses were carried out using the dynamic simulation software IDA-ICE version 4.8. IDA-ICE has been tested and validated according to various international and standard tests [25,26,27,28,29].
The aim was to simulate a floor plan of the building for the parametric study. In order to get the materials and the thermal performance of the structures reasonably accurate, a simulation model of a non-occupied office room was calibrated. The IDA-ICE simulation program supports only one-dimensional heat transfer, while the windows have niches which are two-dimensional thermal bridges. The niches were modelled as equivalent walls with one-dimensional heat transfers and the equivalent thicknesses were calculated using COMSOL Multiphysics (CM) simulation program version 5.3.
The modeled building in IDA-ICE is oriented with 40° clockwise from north which was measured on site. The shading effects of neighboring buildings were modelled by non-transparent bars (shading building) based on estimated heights and distances to the building of the City Hall using on-site observation.
3.2. Calibration of One Zone
In order for BES models to be used with any degree of confidence, it is necessary that the model closely characterizes the actual behavior of the building. The purpose of model calibration is to decrease the discrepancies between BES and measured building performance.
With the aim of calibrating the BES model, a set of detailed measurements were done in a non-occupied office room in the building, with mechanical ventilation turned off. The room was situated on the last floor facing northwest with the minimum solar radiation during the day. The room size was 4 × 3.2 m and the floor–ceiling height was 2.9 m. The window size was 1.3 (width) × 2.6 m (height) and without internal shading.
The calibration of the office’s BES model was done based on the heating demand of the office during the measurement period. An electrical radiator in which the operative temperature was controlled by the thermostat was applied in the model.
A manually tuned iterative process of simulation runs aiming at reducing discrepancies between simulated and measured data was used for calibrating the model of the selected office room. The iterative process was performed by calculating two principal uncertainty indices at each runtime including Normalized Mean Bias Error (NMBE) and Coefficient of Variation of the Root Mean Square Error (CV(RMSE)) [30].
The calibration indices were calculated as follows:
where is the measured value, is the simulated value, is the number of measured data points, and is the mean of the measured values. P is the number of adjustable model parameters which, for calibration purpose, is suggested to be zero in Equation (1) and to be one in Equation (2) [31,32]. Table 1 shows the calibration criteria proposed by ASHRAE Guideline 14 [33].
Table 1.
The calibration criteria proposed by ASHRAE Guideline 14 [33].
After the first set of simulation runs, the heat transmission through the internal walls as well as the construction materials were identified as the influencing parameters on the difference between the simulated and measured data. In the final calibrated model, the temperature profiles of the adjacent zones (based on BMS logged data) as well as the typical constructions used in buildings at the time when City Hall was built [24] were taken into account. Thermal bridges along different joints were also implemented.
3.3. Measurements Used for Calibration
An electrical radiator, on/off controlled by thermostat, was used to heat up the room during the period 12th–17th May 2018. During this period, the hydronic radiator was shut off, the ventilation supply and return devices were completely sealed, and the room’s closed door was taped to ensure that only the electrical radiator heated up the room.
The electrical power measurements were done at one-minute intervals using an energy logger. Room air and surface temperatures were measured at five-minute intervals using thermistor sensors for temperature which were connected to a data logger. A vertical rod with attached thermistor sensors for temperatures at four different heights was placed in the middle of the room to measure room air temperature. Room air temperature was calculated as the average of measured values at the four different heights. Temperatures of all available internal surfaces in the room were measured, including the surface of internal walls, external wall, floor, ceiling, door and window. A weather station installed on the roof of a nearby building was used to measure ambient air temperature, relative humidity, and wind direction. The climate file used for the simulation part of the calibration process was created based on the measured data on the weather station plus the solar radiation data from the Swedish meteoroidal institute [34]. The measurement tools and equipment are illustrated in Figure 3. The technical data of measurement equipment are presented in Table 2.
Figure 3.
(a) The vertical rod for the office room’s air temperature measurement, (b) The electrical radiator connected to the energy logger, (c) Temperature thermistor sensors attached to the surfaces of internal wall and door, and (d) Temperature thermistor sensors attached to the inner surface of the external wall and window.
Table 2.
Measurement equipment and accuracy.
3.4. Model Calibration
Table 3 illustrates the construction materials and infiltration rate used in the IDA-ICE model of the selected room for the calibration purpose. Table 4 shows the calculated linear heat loss coefficients for thermal bridges for different types of joints.
Table 3.
Construction materials [24] and infiltration rate used in the IDA-ICE model of the selected room for the calibration purpose.
Table 4.
The linear heat loss coefficient for thermal bridges (W/K·m) for different types of joints in the building.
The calibration indices were calculated on an hourly basis for office room’s air temperature and different surface temperatures. Since the electrical radiator was an on/off radiator and due to low seasonal heating demand, it turned on during very short periods (maximum ten-minute periods). The thermostat of the modelled radiator could not model the on/off performance, rather than on P-control. Therefore, the use of hourly calibration indices for the power of the electrical radiator did not give the possibility for correct comparison between measured and simulated data for this parameter. Thus, the calibration indices for this parameter were calculated based on a daily basis. The calculated indices are shown in Table 5.
Table 5.
The calculated calibration indices for the office room’s air temperature and the office room’s different surface temperatures (on an hourly basis) and for the power of the electrical radiator (on a daily basis).
As Table 5 illustrates, the hourly calibration indices for the office room’s air temperature and different surface temperatures are in the acceptable range based on ASHRAE Guideline 14 according to Table 1. This guideline does not present any daily criteria. However, considering the daily criteria as an average between hourly and monthly criteria, the acceptable daily criteria for NMBE and CV (RMSE) could be proposed as ±7.5% and 22.5%, respectively. Considering these daily criteria, the daily calibration indices for the power of the electrical radiator are in the acceptable range base on ASHRAE Guideline 14.
Figure 4 shows the office room’s air temperature and the power of the electrical radiator during the measurement period based on both measurement and simulation results. Note the influence of late afternoon sun on the increase in room temperature. Simulations tend to over-estimate the air temperature during insolation (which could be due to window niches which are not possible to fully model in IDA-ICE).
Figure 4.
Office room’s air temperature (°C) and electrical power of the radiator (kW) during the measurements period (12th–17th May) based on both measurement and simulation results.
3.5. Simulation of NV
In thermal comfort analysis, in the first step, the influence of totally eight different cases on the operative temperatures of office rooms was assessed and the optimum case was determined. The cases included with and without NV strategy as well as different schemes of offices’ doors (i.e., closed or open doors). The cases are presented in Table 6.
Table 6.
Different schemes of open or closed doors with/without NV with NVR = 1.66 ACH (cases are without active cooling).
Next, the effect of four different improving measures was evaluated on the optimum case determined in the previous step. In the building’s energy use analysis section, the variation of total electricity use for cooling (i.e., electricity use in cooling machine plus electricity use in fans) was evaluated for different cooling machine’s COP values and various SFP models for ventilation unit’s fans.
The corridors and the entrance hall on the representative floor level were modelled as integrated zones and the existing internal walls located inside them were defined as internal masses in these zones. The model of the representative floor level on IDA-ICE is shown in Figure 5.
Figure 5.
The model of the representative floor level (unlabeled zones are offices).
Internal gains from equipment and lighting were defined according to common assumptions for office buildings [37]. The default value of 0.1 m/s was specified for the air velocity in offices during summer. The occupants’ clothing insulation was defined as 0.8 ± 0.2 clo for summer in order to represent normal office clothing plus, when needed, an extra sweater [38]. The activity level was specified to be 1.1 met to represent the average of common office activities including seated quiet resting, seated reading, typing as well as standing relaxed rest [38]. It was assumed that only one person worked in each single office with their desk placed in the middle of the office. The period 08:00–17:00 (normal working hours) was defined as the schedule for all internal gains. The defined internal gains in different zones on the floor are shown in Table 7.
Table 7.
The internal gains from different sources in different zones of the modelled floor.
Predefined supply and return air ventilation unit with a constant air volume (CAV) type was applied. The unit included a predefined control macro for NV strategy which also included the schedule of the daytime ventilation. The ventilation rate was measured as 1.66 ACH in one of the offices in the building which corresponded to the design ventilation rate. Considering the same design ventilation rate in all offices, the ventilation unit’s total design ventilation rate was defined as 1.66 ACH of the total volume of the connected office rooms. The schedule for daytime ventilation and NV were defined as 06:00–18:00 and 20:00–06:00, respectively. For improving measures on NV by doubled and tripled NV rates (see thermal comfort analysis section), the NV schedule was shortened to 20:00–04:00.
For thermal comfort analysis, without active cooling (AC) during day, the total design ventilation rate was set for both daytime- and NV rates. For energy use analysis, when local ideal coolers were applied in offices as active cooling, the minimum required ventilation rate (corresponding to 0.35 l/s·m2 + 7 l/s·person) [39] was set for the daytime ventilation keeping the night ventilation rate at the total design value. This means that the ventilation unit acted as a CAV system with two different constant ventilation rates with different working schedules (daytime ventilation and NV) plus the off mode. The proportional controller with the P-band corresponding to 1 °C (i.e., set point temperature ±0.5 °C) was defined for each local ideal cooler.
For NV strategy, the ventilation unit’s return air and ambient temperature limit were set to 18 and 10 °C, respectively, and the benefit limit (i.e., the difference between ambient and return air temperatures) was defined as +2 °C. It means that the NV starts if all the following conditions are fulfilled and stops if any of them is missed:
- (1)
- The time is during the period defined for NV schedule;
- (2)
- The ventilation unit’s return air temperature is over 18 °C;
- (3)
- The ambient temperature is over 10 °C;
- (4)
- The ambient temperature is at least 2 °C lower than the return air temperature.
3.6. Thermal Comfort Analysis
In order to evaluate thermal comfort in this study through comparing with standards’ recommendations, operative temperature (Top) was used as an indicator. The maximum acceptable Top during summer for activity level around 1.2 met and clothing insulation around 0.5 clo in single (cellular) offices is 26 °C [40]. Top of office rooms with different orientations were compared with each other for the eight different cases presented in Table 6. Simulations were carried out for two summer climates for the city of Gävle in Sweden: (1) Typical summer (representative of the average climate condition for a 30-year period of 1981–2010), and (2) the unusually hot summer of 2018. The cases which resulted in the lowest possible Top in the offices were determined. The mean and average diurnal variation of ambient temperature for both typical and hot summer are presented in Table 8.
Table 8.
The mean and average diurnal variation of ambient temperature.
In order to further decrease the Top in offices for the determined cases, four improving measures were proposed:
- (1)
- Decreasing the minimum ambient temperature limit (ATL) of NV strategy from 10 to 5 °C;
- (2)
- Doubling the daytime ventilation rate (DVR);
- (3)
- Doubling the NV rate (NVR) while decreasing the NV period (NVP) from 20:00–06:00 to 20:00–04:00;
- (4)
- Tripling the NV rate (NVR) while decreasing the NV period (NVP) from 20:00–06:00 to 20:00–04:00.
3.7. Energy Use Analysis
In the first step, the active cooling was added to four different cases with NV in the “Thermal comfort analysis” section (i.e., cases 3, 4, 6, and 8 in Table 6) and simulations were run for both typical and hot summers in order to show the difference in building’s total electricity use for cooling between these cases.
In the second step, the parametric study was carried out on the effect of different NV rates on the building’s total electricity use for cooling during the hot summer conditions of 2018. The total electricity use for cooling in the building consisted of (1) electricity use in cooling machine plus (2) the electricity use in ventilation unit’s fans. Considering the former, three cooling machines with COP values of 1, 2 and 3 as well as two cooling set points for Top including 26 and 24 °C were taken into account in the parametric study. COP = 1 represents a cooling machine in which the amount of electricity use equals the amount of heat extracted equivalent to the cooling demand. Considering the latter part, five different NV rates including 0 ACH (i.e., without NV) and four multiples of 1.66 ACH as well as three various SFP models were considered. The VR during daytime was the minimum required value. In the first model, a constant SFP was defined for all NV rates. In the second and third models, the NV rates of 1.66 ACH and 3 × 1.66 ACH were considered as the design ventilation rates, respectively, and the SFP value was defined at these design ventilation rates. The SFP = 1.5 kW/(m3/s) was applied as a common value for each design flow rate, which is recommended for new air-handling systems for the supply and return fans in ventilation units with heat recovery [39]. SFP values for ventilation rates below the design flow rate were calculated based on data of part-load performance for VAV fan systems according to ASHRAE standard 90.1 [41]. Table 9 shows the SFP values in different NV rates in the three mentioned models.
Table 9.
The SFP values of ventilation unit’s fans (supply and return fans) for different NV rates in three various models (kW/(m3/s)).
4. Results and Discussion
4.1. Thermal Comfort Analysis
In order to show how different schemes of offices’ doors (i.e., closed or open doors) affect the average Top of offices and corridors, the simulation results during the hot summer for the cases with NV (NVR = 1.66 ACH) were applied. According to Figure 6, for cases with all doors always closed with NV (case 3), except for short periods, the average Top of northern offices is always lower than those of southern offices and corridors. The average Top of southern offices is lower than that of corridors during a large proportion of working hours during June and August and during a very short proportion of working hours during July.

Figure 6.
The average operative temperatures of the northern and southern offices and the corridors for the case with NV with all doors always closed (case 3) during the hot summer of 2018. Southern offices represent offices with southeast orientation with higher internal solar gains compared to other offices. Northern offices represent all other offices excluding the open-plan office.
In case 4, the southern offices’ doors are open only during working hours. Compared to case 3, this helps southern offices’ average Top drop during periods of working hours when corridors are cooler than southern offices (mainly during July). During the night, only southern offices are cooled down by NV. In case 6, the southern offices’ doors are open during the whole period (24 h). Thus, corridors are also cooled down by NV during night, influenced by the southern offices’ air. Therefore, compared to case 4, corridors’ average Top drops during working hours. When northern offices’ doors are also opened (for 24 h), case 8, both corridors’ and southern offices’ average Top decrease and northern offices’ average Top increases. In all cases, only direct connection between zones via open doors affect different zones’ average Top. The influence of heat transfer between different zones through internal walls and closed doors is negligible.
Figure 7 illustrates the percentage of working hours with the average Top over 26 °C, the percentage of exceedance hours (He) [42], in offices for cases without NV for both typical and hot summers. Figure 7 clearly shows that for the hot summer, northern and southern offices’ average Top are over 26 °C during longer periods of working hours compared to the typical summer. The differences are specifically significant during June and August. This shows the significance of hot as opposed to typical summer weather.
Figure 7.
Percentage of exceedance hours in offices for cases without NV during June, July and August during (a–c) the typical summer and (d–f) the hot summer of 2018. Case 1: All doors always closed, Case 2: Northern offices’ doors always closed/Southern offices’ doors open during working hours, Case 5: Northern offices’ doors always closed/Southern offices’ doors always open, Case 7: All doors always open. Southern offices represent offices with southeast orientation with higher internal solar gains compared to other offices. Northern offices represent all other offices excluding the open-plan office.
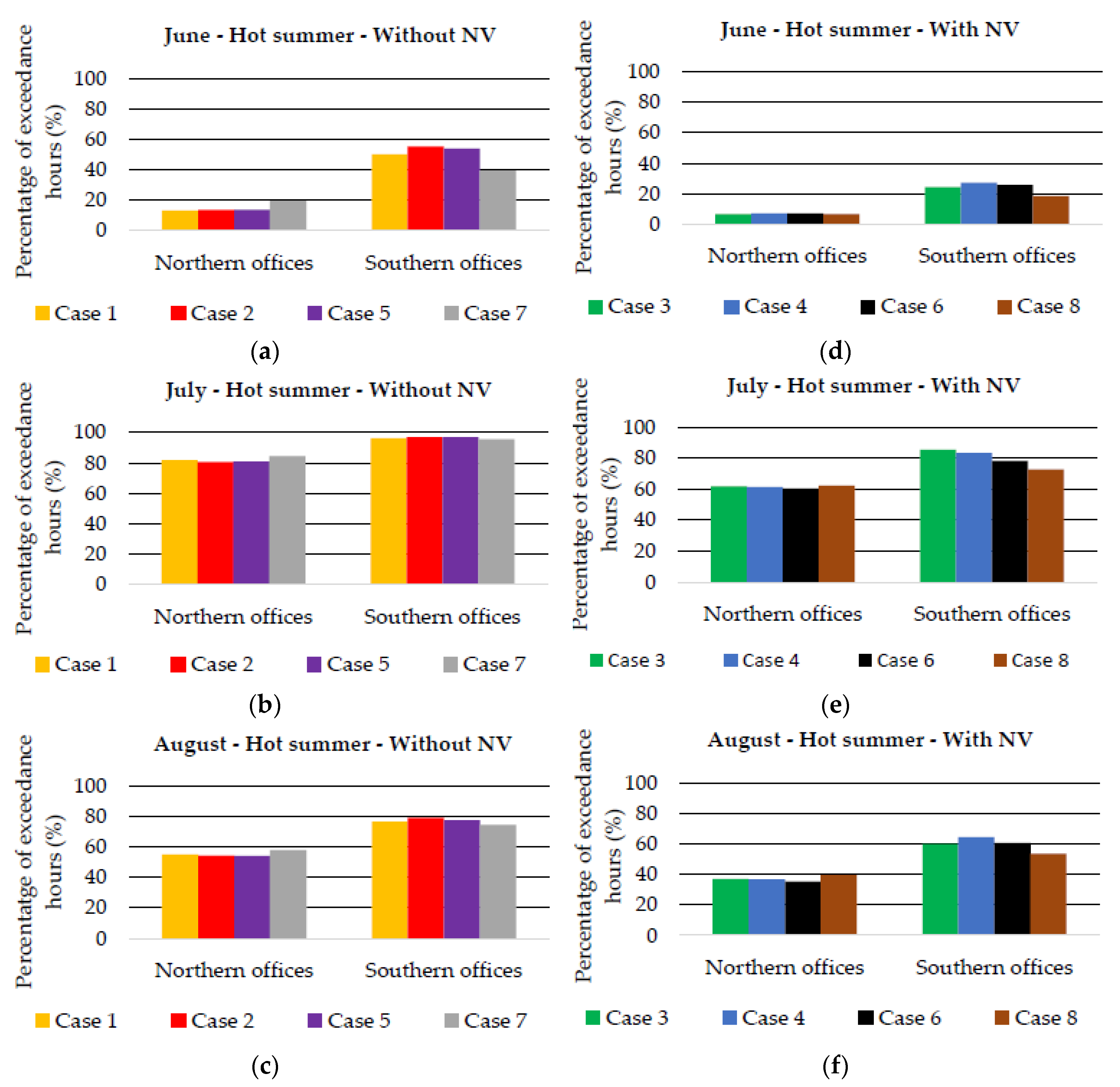
Figure 8 shows the exceedance hours in offices for the hot summer both with and without NV. According to Figure 8, NV helps reducing the offices’ indoor temperatures during working hours during the whole period June-August and for all cases. He in offices is decreased by the range 7.1–28.6% as a result of NV application.
Figure 8.
Percentage of exceedance hours in offices during the hot summer of 2018 (a–c) without NV and (d–f) with NV. Cases 1 and 3: All doors always closed, Cases 2 and 4: Northern offices’ doors always closed/Southern offices’ doors open during working hours, Cases 5 and 6: Northern offices’ doors always closed/Southern offices’ doors always open, Cases 7 and 8: All doors always open. Southern offices represent offices with southeast orientation with higher internal solar gains compared to other offices. Northern offices represent all other offices excluding the open-plan office.
As Figure 8 shows, in southern offices and for both cases with and without NV during the whole period June-August, the cases with all doors always open (cases 7 and 8) lead to lower average Top compared to other cases. For the cases without NV, He in southern offices is decreased by the range 1.4–10.5% in the shift from case 1 to 7. For the cases with NV, He in southern offices is decreased by 5.2–12.3% in the shift from case 3 to 8. On the other hand, cases 7 and 8 result in the higher He in northern offices compared to other cases. For the cases without NV, He in northern offices is increased by the range 1.3–5.7% in the shift from case 1 to case 7. For the cases with NV, He in northern offices is increased by the range 0.5–2.2% in the shift from case 3 to 8.
Generally, it is shown that the amount of decrease in He in southern offices outweighs the amount of increase in He in northern offices. This happens thanks to the considerably lower average Top in northern offices during some periods, while southern offices’ average Top is over 26 °C during the same periods. There is only one exception for the cases without NV during July when He is increased by 4.1% in northern offices, while it is decreased only by 1.4% in southern offices. All in all, it is shown that cases with all offices’ doors always open (i.e., case 7 without NV and case 8 with NV) result in the best possible condition for all offices among the available cases regarding offices’ operative temperatures (optimum cases).
4.2. Thermal Comfort Improvement
In this section, the effect of higher flow rates for both daytime ventilation and NV on improving thermal comfort in offices was studied. Figure 9 illustrates the amount of decrease in the exceedance hours in northern and southern offices as a result of applying the thermal comfort improving measures.
Figure 9.
Percentage of exceedance hours in offices for thermal comfort improving measures for (a–c) case 7 and (d–f) case 8 during the hot summer of 2018. Cases 7 and 8: All doors always open. Southern offices represent offices with southeast orientation with higher internal solar gains compared to other offices. Northern offices represent all other offices excluding the open-plan office. DVR: Daytime Ventilation rate, NVR: NV Rate, ATL: Ambient Temperature Limit.
According to Figure 9a–c, by doubling DVR, He is decreased by the range 19.1–27.1% in southern offices and by the range 11.4–20.5% in northern offices. It is understood that the ambient temperature is lower than the offices’ indoor temperatures during a considerably long period. According to Figure 9d–f, by doubling the NVR while shortening the NV period to 20:00–04:00, He is decreased by the ranges 2.4–6.5% in northern offices and by the range 7.1–7.8% in southern offices. Tripling the NVR leads to decrease in He by the ranges 5.7–12.2% in northern offices and 10.5–16.1% in southern offices.
A finding is that the amount of decrease in He during June as a result of decreasing the ATL of NV strategy from 10 to 5 °C is more than and equal to the one caused by doubling the NVR in southern and northern offices, respectively. It is because the ambient temperature during NV periods is lower than 10 °C for longer periods during June compared to July and August. There is, however, the risk of condensation on the surfaces with low ATL.
4.3. Energy Use Analysis
Table 10 illustrates the total electricity use for cooling (kWh/m2) during summer season in cases with different schemes of offices’ doors with NV plus active cooling for both typical and hot summer conditions.
Table 10.
The total electricity use for cooling (kWh/m2) during summer season in cases with different schemes of offices’ doors with NV plus active cooling for COP = 3 and the maximum beneficial NVR = 0.5 × 1.66 (ACH).
According to Table 10, total electricity use for cooling is the lowest in case 8 compared to other cases during both typical and hot summers. This, along with the results of thermal comfort analysis, confirms that the case with all doors always open is the optimum case resulting in the best possible condition for all offices. Figure 10 and Figure 11 show the individual electricity uses in fans as well as for active cooling and total electricity use for cooling for the hot summer of 2018.
Figure 10.
(a) individual electricity uses; electricity use in fans and electricity use in cooling machine (b) total electricity use for cooling (i.e., electricity use in fans + electricity use in cooling machine); during the hot summer of 2018 for operative temperature cooling set point of 26 °C.
Figure 11.
(a) individual electricity uses; electricity use in fans and electricity use in cooling machine (b) total electricity use for cooling (i.e., electricity use in fans + electricity use in cooling machine); during the hot summer of 2018 for operative temperature cooling set point of 24 °C.
According to Table 11, the following findings for all SFP models are presented:
Table 11.
The ranges of decrease or increase in total electricity use for cooling (kWh/m2) during summer season through different perspectives of investigation in the three defined SFP models.
- (1)
- The influence of increasing NV rate on decreasing the total electricity use for cooling is more significant for lower COP values;
- (2)
- The influence of decreasing operative temperature cooling set point on increasing the total electricity use for cooling is more significant for lower COP values;
- (3)
- For all different NV rates, the influence of increasing COP on decreasing the total electricity use for cooling is more significant for the lower operative temperature cooling set point (i.e., 24 °C).
Based on the data in Figure 10 and Figure 11, Table 12 shows the NV rates at which the minimum total electricity use for cooling occurs (optimal NV rates) for different COP values and SFP models for both operative temperature cooling set points of 26 and 24 °C. Table 13 shows the amount of total electricity use for cooling which is saved due to applying NV strategy with the maximum beneficial NV rate in each case (i.e., the NV rates presented in Table 12) compared to the case without NV.
Table 12.
The NV rates (ACH) at which the minimum total electricity use for cooling during the hot summer of 2018 occurs for different COP values for operative temperature cooling set points of 26 and 24 °C.
Table 13.
The amount of saving in total electricity use for cooling during the hot summer of 2018 both in (kWh/m2) and (%) as a result of applying NV strategy with the maximum beneficial NV rate (compared to the case without NV).
According to to Table 12, for higher COP values, the minimum total electricity use for cooling occurs at lower NV rates. In the first SFP model, the high NVR = 3 × 1.66 ACH and 2 × 1.66 ACH are still beneficial for the cases with COP = 1 and COP = 2, while for COP = 3, NV rates over 0.5 × 1.66 ACH (for cooling set point = 26 °C) or over 1.66 ACH (for cooling set point = 24 °C) result in increase in the total electricity use for cooling. In the second SFP model, NVR= 1.66 ACH still results in a decrease in the total electricity use for cooling for the case with COP = 1, whereas NV rates over 0.5 × 1.66 ACH lead to increase in the total electricity use in the cases with COP = 2 and COP = 3. Finally, in the third SFP model, while NVR = 2 × 1.66 ACH still decreases the total electricity use in the cases with COP = 1 and COP = 2, NV rates over 1.66 ACH cause increase in the total electricity use in the case with COP = 3.
5. Summarized Discussion
- (1)
- The typical summer climate (based on average climate data during the period 1980–2010) does not represent an extraordinary warm summer which may be more common in the future. Applying this typical summer climate for energy simulation in buildings could lead to underestimation of the offices’ indoor temperatures and, consequently, of the building’s cooling need.
- (2)
- Amongst all the proposed schemes of open/closed offices’ doors, the case with all offices’ doors always open was recognized as the overall optimum case. The case with all offices’ doors always closed was considered as the base case, given that offices should be locked for security reasons when unoccupied. The simulation results were presented for the cases with NV and during the hot summer of 2018. In comparison with the base case, the optimum case led to decrease in percentage of working hours with the offices’ average operative temperature over 26 °C, the percentage of exceedance hours, He [42], in southern offices by the range of 1.3–5.7%, while it resulted in increase in He in northern offices only by the range 0.5–2.2%. Thus, the optimum case improves thermal comfort in offices in overall.
- (3)
- The mechanically driven NV strategy has the potential to improve thermal comfort in offices and to save the total electricity use for cooling in the building. Compared to the base case, the NV strategy is capable of reducing He by up to 33% and 28% during the typical and the hot summer, respectively. This amount of reduction is achievable thanks to NVR = 1.66 ACH (design DVR for the present building) for the optimum case with all offices’ doors always open. For the same scheme of offices’ doors, with the maximum beneficial NVR = 0.8 ACH (0.5 × 1.66 ACH) and cooling machine’s COP = 3, the NV strategy is capable of saving 1.5 kWh/(m2·year) (40%) and 0.4 kWh/(m2·year) (7%) of the electricity use for cooling during the typical and the hot summer, respectively. These results are in line with the findings by Artmann et al. [7] and Jimenez-Bescos [8] predicting decrease in NV potential in future climates.
- (4)
- Four proposed improving measures on daytime and NV (both without active cooling) showed potential in improving thermal comfort in offices. Doubling daytime ventilation rate had the potential in decreasing the percentage of exceedance hours in southern and northern offices by up to 27.1% and 20.5%, respectively. Increasing the NVR was capable of decreasing the percentage of exceedance hours by up to 6.5% and 7.8% for the doubled NVR and by 12.2% and 16.1% for the tripled NVR in northern and southern offices, respectively. Decreasing the ambient temperature limit of the NV strategy from 10 to 5 °C had the potential to decrease the percentage of exceedance hours in southern and northern offices by up to 10% and 4%, respectively. During June, compared to July and August, when the ambient temperature was below 10 °C for longer periods during the NV period, decreasing the ambient temperature limit of the NV strategy led to more improvement in thermal comfort in southern offices and the same improvement in northern offices in comparison with doubling the NV rate.
- (5)
- With higher NV rates, thermal comfort in offices is improved further and more savings are achieved in electricity use in cooling machine in the building. There is, however, a maximum beneficial NV rate over which the total electricity use for cooling starts increasing since the amount of increase in the electricity use in fans outweighs the amount of saved electricity use in cooling machine. This maximum beneficial ventilation rate depends on the thermal mass capacity of the building’s construction, the coefficient of performance (COP) value of the cooling machine, the design (maximum) ventilation rate, and available NV cooling potential (ambient air temperature). SFP is defined at the design (maximum) ventilation rate. Therefore, the optimum case is important in the design of the ventilation for new building projects, so that a low SPF is obtained for high NVR (this will require large size ventilation ducts). It is more difficult to achieve in buildings with an already installed duct system.
6. Conclusions
The potential of NV for cooling of a typical historic office building in north-central Sweden was evaluated by parametric study using building energy simulation (BES). Although the building is located in a cold climate, it was shown that NV alone is not capable of meeting the total cooling demand of the building and an auxiliary active cooling is required. NV with mechanical system, however, showed a potential in reducing the total electricity use for cooling, comprising the electricity use in cooling machine plus the electricity use in ventilation unit’s fans, thanks to the building’s heavy construction. The effect of NV on reducing the building’s total electricity use for cooling increases with higher NV rates. However, there is a maximum beneficial ventilation rate above which further increase in the NV rate results in increase in the building’s total electricity use for cooling. This maximum NV rate depends on the thermal mass capacity of the building, the COP value of the cooling machine, design (maximum) ventilation rate, and available NV cooling potential (ambient air temperature). For buildings with equal weight (same time constant), for the ones equipped with cooling machines with higher COP values, lower NV rates are recommended. This work also suggests that open doors in all zones of the building overall result in the best thermal comfort and reduced electricity use for cooling purposes. For this door scheme, the NV is capable of reducing the percentage of exceedance hours in offices by up to 33% and decreasing the total electricity use for cooling by up to 40%.
Author Contributions
Software, H.B.; Validation, H.B.; Data curation, H.B.; Visualization, H.B.; Writing—original draft preparation, H.B.; Writing—review and editing, H.B., M.C., J.A. and A.H.; Conceptualization, H.B., M.C., J.A. and A.H.; Methodology, H.B., M.C., J.A. and A.H.; Formal analysis, H.B., M.C., J.A. and A.H.; Investigation, H.B., M.C., J.A. and A.H.; Supervision, M.C., J.A. and A.H.; Project administration, M.C.; Funding acquisition, M.C. All authors have read and agreed to the published version of the manuscript.
Funding
This work was supported by KKS Knowledge Foundation: [grant number 20150133].
Acknowledgments
The work has been carried out under the auspices of the industrial post-graduate school Reesbe, which is financed by the Knowledge Foundation (KK-stiftelsen). The authors would also like to thank Gavlefastigheter AB for its financial support and helps from technicians.
Conflicts of Interest
No potential conflict of interest was reported by the authors.
References
- European Commission. Available online: https://ec.europa.eu/energy/topics/energy-efficiency/energy-efficient-buildings/energy-performance-buildings-directive_en (accessed on 29 May 2020).
- Moran, F.; Blight, T.; Natarajan, S.; Shea, A. The use of Passive House Planning Package to reduce energy use and CO2 emissions in historic dwellings. Energy Build. 2014, 75, 216–227. [Google Scholar] [CrossRef]
- Solgi, E.; Hamedani, Z.; Fernando, R.; Skates, H.; Orji, N.E. A literature review of night ventilation strategies in buildings. Energy Build. 2018, 173, 337–352. [Google Scholar] [CrossRef]
- Wang, Z.; Yi, L.; Gao, F. Night ventilation control strategies in office buildings. Sol. Energy 2009, 83, 1902–1913. [Google Scholar] [CrossRef]
- Geros, V.; Santamouris, M.; Tsangrasoulis, A.; Guarracino, G. Experimental evaluation of night ventilation phenomena. Energy Build. 1999, 29, 141–154. [Google Scholar] [CrossRef]
- Artmann, N.; Manz, H.; Heiselberg, P. Climatic potential for passive cooling of buildings by night-time ventilation in Europe. Appl. Energy 2007, 84, 187–201. [Google Scholar] [CrossRef]
- Artmann, N.; Gyalistras, D.; Manz, H.; Heiselberg, P. Impact of climate warming on passive night cooling potential. Build. Res. Inf. 2008, 36, 111–128. [Google Scholar] [CrossRef]
- Jimenez-Bescos, C. An evaluation on the effect of night ventilation on thermal mass to reduce overheating in future climate scenarios. Energy Procedia 2017, 122, 1045–1050. [Google Scholar] [CrossRef]
- Kolokotroni, M.; Giannitsaris, I.; Watkins, R. The effect of the London urban heat island on building summer cooling demand and night ventilation strategies. Sol. Energy 2006, 80, 383–392. [Google Scholar] [CrossRef]
- Artmann, N.; Manz, H.; Heiselberg, P. Parameter study on performance of building cooling by night-time ventilation. Renew. Energy 2008, 33, 2589–2598. [Google Scholar] [CrossRef]
- Pfafferott, J.; Herkel, S.; Jäschke, M. Design of passive cooling by night ventilation: Evaluation of a parametric model and building simulation with measurements. Energy Build. 2003, 35, 1129–1143. [Google Scholar] [CrossRef]
- Wu, L.X.; Zhao, J.N.; Wang, Z.J. Night ventilation and active cooling coupled operation for large supermarkets in cold climates. Energy Build. 2006, 38, 1409–1416. [Google Scholar] [CrossRef]
- Yang, L.; Li, Y. Cooling load reduction by using thermal mass and night ventilation. Energy Build. 2008, 40, 2052–2058. [Google Scholar] [CrossRef]
- Amos-Abanyie, S.; Akuffo, F.O.; Kutin-Sanwu, V. Effects of thermal mass, window size, and night-time ventilation on peak indoor air temperature in the warm-humid climate of ghana. Sci. World J. 2013, 2013, 9. [Google Scholar] [CrossRef] [PubMed]
- Finn, D.P.; Connolly, D.; Kenny, P. Sensitivity analysis of a maritime located night ventilated library building. Sol. Energy 2007, 81, 697–710. [Google Scholar] [CrossRef]
- Shaviv, E.; Yezioro, A.; Capeluto, I.G. Thermal mass and night ventilation as passive cooling design strategy. Renew. Energy 2001, 24, 445–452. [Google Scholar] [CrossRef]
- Irulegi, O.; Ruiz-Pardo, Á.; Serra, A.; Salmerón, J.M. Potential of night ventilative cooling strategies in office buildings in Spain—Comfort analysis. Int. J. Vent. 2014, 13, 193–210. [Google Scholar] [CrossRef]
- Li, Z. Theory and Application of Night Ventilation. Master′s Thesis, Tongji University, Shanghai, China, 1994. [Google Scholar]
- Kolokotroni, M.; Webb, B.C.; Hayes, S.D. Summer cooling with night ventilation for office buildings in moderate climates. Energy Build. 1998, 27, 231–237. [Google Scholar] [CrossRef]
- Kolokotroni, M.; Aronis, A. Cooling-energy reduction in air-conditioned offices by using night ventilation. Appl. Energy 1999, 63, 241–253. [Google Scholar] [CrossRef]
- Lain, M.; Hensen, J.; Republic, C.; Eindhoven, T.U. The optimization of the mechanical night cooling system in the office building. In Proceedings of the 6th International Conference on Compressors and Coolants, Casta Papiernicka, Slovakia, 27–29 September 2006. [Google Scholar]
- Guo, R.; Hu, Y.; Liu, M.; Heiselberg, P. Influence of design parameters on the night ventilation performance in office buildings based on sensitivity analysis. Sustain. Cities Soc. 2019, 50, 101661. [Google Scholar] [CrossRef]
- Bakhtiari, H.; Akander, J.; Cehlin, M. Evaluation of thermal comfort in a historic building refurbished to an office building with modernized HVAC systems. Adv. Build. Energy Res. 2019, 14, 218–237. [Google Scholar] [CrossRef]
- Björk, C.; Kallstenius, P.; Reppen, L. Så Byggdes Husen 1880–1980: Arkitektur, Konstruktion Och Material I Våra Flerbostadshus under 120 År, 5th ed.; Formas: Stockholm, Sweden, 1983. [Google Scholar]
- EQUA Simulation AB. Available online: http://www.equaonline.com/Iceuser/validation/ASHRAE140-2004.pdf (accessed on 29 May 2020).
- EQUA Simulation AB. Available online: http://www.equaonline.com/Iceuser/validation/CEN_VALIDATION_EN_15255_AND_15265.pdf (accessed on 29 May 2020).
- EQUA Simulation AB. Available online: http://www.equaonline.com/Iceuser/validation/ICE_vs_prEN%2013791.pdf (accessed on 29 May 2020).
- EQUA Simulation AB. Available online: http://www.equaonline.com/Iceuser/validation/IEATask34.pdf (accessed on 29 May 2020).
- EQUA Simulation AB. Available online: http://www.equaonline.com/Iceuser/validation/ICE-Validation-CIBSE_TM33.pdf (accessed on 29 May 2020).
- Ruiz, G.R.; Bandera, C.F. Validation of calibrated energy models: Common errors. Energies 2017, 10, 19. [Google Scholar] [CrossRef]
- Reddy, T.A.; Maor, I. Procedures for Reconciling Computer-Calculated Results with Measured Energy Data; ASHRAE RP-1051: Atlanta, GA, USA, 2006. [Google Scholar]
- National Renewable Energy Laboratory (NREL). Available online: https://www.nrel.gov/docs/fy13osti/60127.pdf. (accessed on 10 October 2019).
- ASHRAE Guidelines. Available online: http://www.eeperformance.org/uploads/8/6/5/0/8650231/ashrae_guideline_14-2002_measurement_of_energy_and_demand_saving.pdf. (accessed on 15 November 2019).
- Swedish Meteorological and Hydrological Institute (SMHI). Available online: https://www.smhi.se/q/Stockholm/2673730 (accessed on 20 November 2019).
- Gemini Data Loggers. Tinytag Energy logger. Available online: https://www.geminidataloggers.com/data-loggers/tinytag-energy-data-logger/tge-0001 (accessed on 25 March 2020).
- Mitec Instrument, Temperature Sensor. Available online: http://www.mitec.se/sv/produkter_matgivare_temperatur.html (accessed on 25 March 2020).
- Sveby—Brukarindata Kontor: Version 1.1. Available online: http://www.sveby.org/wp-content/uploads/2013/06/Brukarindata-kontor-version-1.1.pdf (accessed on 16 October 2019).
- ANSI/ASHRAE. Standard 55-2013—Thermal Environmental Conditions for Human Occupancy; ASHRAE: Atlanta, GA, USA, 2013. [Google Scholar]
- Swedish National Board of Housing, Building and Planning. Available online: https://www.boverket.se/contentassets/a9a584aa0e564c8998d079d752f6b76d/konsoliderad_bbr_2011-6.pdf (accessed on 16 October 2019).
- EN 15251 Standard. Indoor Environmental Input Parameters for Design and Assessment of Energy Performance of Buildings Addressing Indoor Air Quality, Thermal Environment, Lighting and Acoustics; European Committee for Standardization: Brussels, Belgium, 2006. [Google Scholar]
- ASHRAE. Energy Standard for Buildings Except Low-Rise Residential Buildings. Am. Soc. Heat. Refrig. Air Cond. Eng. 2007, 90, 186. [Google Scholar]
- Nicol, F.; Spires, B. The Limits of Thermal Comfort: Avoiding Overheating in European Buildings; TM52; The Chartered Institution of Building Services Engineers (CIBSE): London, UK, 2013. [Google Scholar]
© 2020 by the authors. Licensee MDPI, Basel, Switzerland. This article is an open access article distributed under the terms and conditions of the Creative Commons Attribution (CC BY) license (http://creativecommons.org/licenses/by/4.0/).