Partial Discharge Pattern Recognition Based on 3D Graphs of Phase Resolved Pulse Sequence
Abstract
1. Introduction
2. Materials and Methods
2.1. Database Construction: 3D Graphs of PRPS
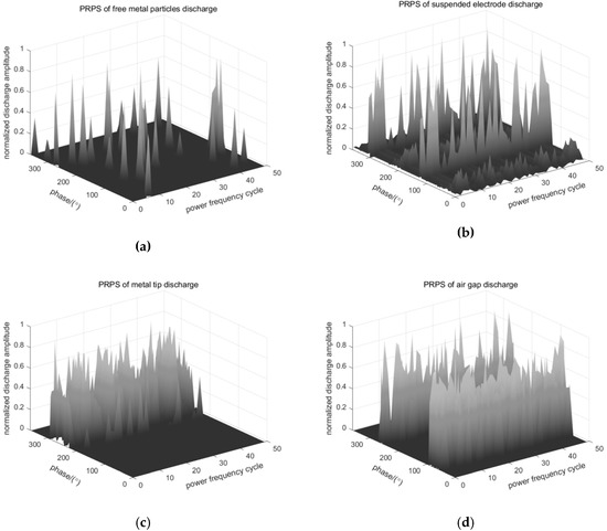
- Free metal particles:This model was made by placing 10 copper balls with a radius of 0.5 mm at the ground electrode. When a high voltage is applied, the tinfoil balls will jitter randomly, which will produce PD and stimulate a high frequency electromagnetic wave.
- Suspended electrodes:This model was made by placing a copper cube with a side length of 20 mm in a cylindrical epoxy resin. The epoxy resin is 30 mm high, with the top surface connecting to a high voltage electrode and the bottom surface connecting to a ground electrode.
- Metal tip:This model was made by copper wire with a radius of 5mm and a length of 20 mm. One end of the copper wire was grounded to a needle tip with a curvature radius of about 0.1 mm, and the tip end was 5 mm away from the ground electrode.
- Air gap:This model was made by sealing an air gap with a radius of about 3 mm in the middle of cylindrical epoxy resin with a height of 30 mm. The epoxy resin was sandwiched between high voltage and ground electrodes.
- Since the ultra-high frequency (UHF) method is the most efficient detection technique for GIS, which has good anti-interference [26], an external UHF sensor based on fractal microstrip antenna was placed on the surface of the insulators. The UHF sensor was self-developed according to the simulation result of electromagnetic wave in GIS, which has the following indices: central frequency at 702 MHz; absolute bandwidth at 646–784 MHz, with a standing-wave ratio (SWR) less than 2;
- bandwidth ranges with a gain more than 7 dB at 630–810 MHz and 1290–1420 MHz.
- Select a defect model to be placed inside the middle chamber of the GIS, and fill the chamber with 0.5 MPa SF6.
- After examining the connection of the platform, begin to exert the voltage. The voltage applied was increased by a step of 0.1 kV. Observe the standard PD instrument, and temporarily stop the boosting when PD occurs. Take record of the inception voltage and apparent PD quantity.
- Keep the inception voltage, and begin to sample PD pulses by the detection system. After 3 min, stop the detection system to finish the first sampling process, and save the samples in the basic database.
- Continually increase the voltage, and observe the screen of the standard PD instrument. If obvious changes occur to the discharge information, restart the detection system to acquire samples to be saved in the extra database. For the metal tip and air gap, enable boosting to breakdown voltage. For free metal particles and the suspended electrode, stop the boosting when voltage reaches three times the inception voltage because the breakdown voltage of these two types is too high [27].
- Step down the voltage gradually until the power supply is turned off. Remove the platform wiring, and replace with another defected model. Repeat the above experiment steps until four defected models are used.
2.2. Feature Extraction: HOG Attribute Space
2.3. Classifier Design: ASNB
2.4. Summary of Entire Process
3. Experiment Process and Results
3.1. Database Constructed: 3D Graphs of PRPS
3.1.1. Conventional Discharge Information
- Free metal particles: The inception voltage is 13kV, and the apparent discharge quantity is between 142 and 473 pC. The data logging with time is shown in Figure 3a.
- Suspended electrode: The inception voltage is 22.6 kV, and the apparent discharge quantity is between 7743 and 7920 pC. The data logging with time is shown in Figure 3b.
- Metal tip: The inception voltage is 6.5 kV, and the apparent discharge quantity is between 15 and 95 pC. The data logging with time is shown in Figure 3c.
- Air gap: The inception voltage is 5.5 kV, and the apparent discharge quantity is between 171 and 1164 pC. The data logging with time is shown in Figure 3d.
3.1.2. Basic Database
3.1.3. Extra Database
3.2. Feature Extracted: HOG Attribute Space
3.3. Classifier Designed: ASNB
4. Performances in Contrast with Traditional Methods
- Statistical method
- Grayscale gradient co-occurrence matrix (GGCM) method [31]
4.1. Requirement for Pretreatment and Training
4.2. Recognition Accuracy
4.3. Robustness when Voltage Applied Changes
5. Conclusions
Author Contributions
Funding
Conflicts of Interest
References
- Stone, G.C. Partial Discharge Diagnostics and Electrical Equipment Insulation Condition Assessment. IEEE Trans. Dielectr. Electr. Insul. 2005, 12, 891–904. [Google Scholar] [CrossRef]
- Morshuis, P.H.F.; Smit, J.J. Partial Discharges at Dc Voltage: Their Mechanism, Detection and Analysis. IEEE Trans. Dielectr. Electr. Insul. 2005, 12, 328–340. [Google Scholar] [CrossRef]
- Koo, J.Y.; Jung, S.Y.; Ryu, C.H.; Lee, S.W.; Lee, B.W. Identification of Insulation Defects in Gas-Insulated Switchgear by Chaotic Analysis of Partial Discharge. IET Sci. Meas. Technol. 2010, 4, 115–124. [Google Scholar] [CrossRef]
- Jiang, Y.; Min, H.; Luo, J.H.; Li, Y.; Li, H.; Jiang, X.J.; Xia, R.; Li, W.J. Partial Discharge Pattern Characteristic of MV Cable Joints with Artificial Defect. In Proceedings of the 4th China International Conference on Electrcity Distribution (CEIED 2010), Nanjing, China, 13–16 September 2010; pp. 1–3. [Google Scholar]
- Tho, N.T.N.; Chakrabarty, C.K.; Siah, Y.K.; Ghani, A.B.A. Feature Extraction Method and Neural Network Pattern Recognition on Time-Resolved Partial Discharge Signals. In Proceedings of the 2011 IEEE Conference on Open Systems (ICOS 2011), Langkawi, Malaysia, 25–28 September 2011; pp. 237–240. [Google Scholar]
- Adili, S.; Franck, C.M.; Sert, S.B.; Herrmann, L.G. Pulsed X-Ray Induced Partial Discharge: Phase and Time-Resolved Measurements. In Proceedings of the 2011 IEEE Conference on Electrical Insulation and Dielectric Phenomena (CEIDP 2011), Cancun, Mexico, 16–19 September 2011; pp. 32–35. [Google Scholar]
- Janani, H.; Kordi, B. Towards Automated Statistical Partial Discharge Source Classification Using Pattern Recognition Techniques. High Volt. 2018, 3, 162–169. [Google Scholar] [CrossRef]
- Gutfleisch, F.; Niemeyer, L. Measurement and Simulation of PD in Epoxy Voids. IEEE Trans. Dielectr. Electr. Insul. 1995, 2, 729–743. [Google Scholar] [CrossRef]
- Kunicki, M.; Cichon, A. Application of a Phase Resolved Partial Discharge Pattern Analysis for Acoustic Emission Method in High Voltage Insulation Systems Diagnostics. Arch. Acoust. J. Pol. Acad. Sci. 2018, 43, 235–243. [Google Scholar]
- Tang, Z.G.; Tang, M.Z.; Li, J.Z.; Wang, J.Y.; Wu, C.; Wang, K. Review on Partial Discharge Pattern Recognition of Electrical Equipment. High Volt. 2017, 43, 173–187. [Google Scholar]
- Lapp, A.; Kranz, H.G. The Use of the CIGRE Data Format for PD Diagnosis Applications. IEEE Trans. Dielectr. Electr. Insul. 2000, 7, 102–112. [Google Scholar] [CrossRef]
- Yazici, B. Statistical Pattern Analysis of Partial Discharge Measurements for Quality Assessment of Insulation Systems in High-Voltage Electrical Machinery. IEEE Trans. Ind. Appl. 2004, 40, 1579–1594. [Google Scholar] [CrossRef]
- Beltle, M.; Muller, A.; Tenbohlen, S. Statistical Analysis of Online Ultrahigh-Frequency Partial-Discharge Measurement of Power Transformers. IEEE Electr. Insul. Mag. 2012, 28, 17–22. [Google Scholar] [CrossRef]
- Yao, R.; Zhang, Y.B.; Si, G.Q.; Yuan, Y.W.; Xie, Q. Statistical Operators Calculation of Partial Discharge on Floating Electrode Defect in GIS. In Proceedings of the 2016 International Conference on Condition Monitoring and Diagnosis (CMD 2016), Xi’an, China, 25–28 September 2016; pp. 833–838. [Google Scholar]
- Ma, X.; Zhou, C.; Kemp, I.J. Interpretation of Wavelet Analysis and Its Application in Partialdischarge Detection. IEEE Trans. Dielectr. Electr. Insul. 2002, 9, 446–457. [Google Scholar] [CrossRef]
- Li, Z.M.; Feng, Y.P.; Chen, J.Q.; Zheng, X.G. Wavelet Analysis Used in UHF Partial Discharge Detection in GIS [Gas Insulated Substations]. In Proceedings of the 1998 International Conference on Power System Technology (POWERCON’98), Beijing, China, 18–21 August 1998; pp. 163–166. [Google Scholar]
- Hao, L.; Lewin, P.L.; Hunter, J.A.; Swaffield, D.J.; Contin, A.; Walton, C.; Michel, M. Discrimination of Multiple PD Sources Using Wavelet Decomposition and Principal Component Analysis. IEEE Trans. Dielectr. Electr. Insul. 2011, 18, 1702–1711. [Google Scholar] [CrossRef]
- Tang, J.; Wang, D.; Fan, L.; Zhuo, R.; Zhang, X.X. Feature Parameters Extraction of Gis Partial Discharge Signal with Multifractal Detrended Fluctuation Analysis. IEEE Trans. Dielectr. Electr. Insul. 2015, 22, 3037–3045. [Google Scholar] [CrossRef]
- Yun, Y.X. Clustering Research on Fractal Parameter of GIS PD UHF Signals. Appl. Mech. Mater. 2013, 380, 3818–3821. [Google Scholar] [CrossRef]
- Qin, X.; Qian, Y.; Xu, Y.P.; Sheng, G.H.; Jiang, X.C. Application of Feature Extraction Method Based on 2D-LPEWT in Cable Partial Discharge Analysis. Trans. China Electrotech. Soc. 2019, 34, 170–178. [Google Scholar]
- Schifani, R.; Candela, R. A New Algorithm for Mixed Weibull Analysis of Partial Discharge Amplitude Distributions. IEEE Trans. Dielectr. Electr. Insul. 1999, 6, 242–249. [Google Scholar] [CrossRef]
- Lai, K.X.; Phung, B.T.; Blackburn, T.R. Application of Data Mining on Partial Discharge Part I: Predictive Modelling Classification. IEEE Trans. Dielectr. Electr. Insul. 2010, 17, 846–854. [Google Scholar] [CrossRef]
- Abdullahi, M.; Ricardo, A.; Jorge, A.R.; Firdaus, M.S.; Hazlee, I.; Nurul, B.; Abu, M. Artificial Neural Network Application for Partial Discharge Recognition: Survey and Future Directions. Energies 2016, 9, 574. [Google Scholar]
- Qi, B.; Li, C.R.; Xing, Z.L.; Wei, Z. Partial Discharge Initiated by Free Moving Metallic Particles on GIS Insulator Surface: Severity Diagnosis and Assessment. IEEE Trans. Dielectr. Electr. Insul. 2014, 21, 766–774. [Google Scholar] [CrossRef]
- Jin, L.J.; Hu, Q.; Qiu, G.H.; Zhang, M.R. Detection of Corona Discharge in GIS. High Volt. 2005, 31, 25–27. [Google Scholar]
- Tang, J.; Zhu, W.; Sun, C.; Shi, H.; Wei, G. Analysis of UHF Method Used in Partial Discharge Detection in GIS. J. Chongqing Univ. Ence Ed. 2003, 4, 1–5. [Google Scholar]
- Duan, D.P.; Wang, Y.Q.; Jiang, Y.; Sheng, G.H.; Li, W. PD development law and diagnostic methods of typical insulation defects in SF6 gas-insulated switchgear. Electr. Meas. Instrum. 2017, 54, 114–122. [Google Scholar]
- Dalal, N.; Triggs, B. Histograms of Oriented Gradients for Human Detection. In Proceedings of the 2005 IEEE Computer Society Conference on Computer Vision and Pattern Recognition (CVPR’05), San Diego, CA, USA, 20–26 June 2005; pp. 886–893. [Google Scholar]
- Langley, P.; Sage, S. Induction of Selective Bayesian Classifiers. In Proceedings of the Tenth Conference on Uncertainty in Articial Intelligence, Seattle, WA, USA, 29–31 July 1994; pp. 399–406. [Google Scholar]
- Ren, M. Characteristics of Impulse Partial Discharges at Insulation Defects in SF6 and the Influence Factors. Ph.D. Thesis, Xi’an Jiao Tong University, Xi’an, China, 2017. [Google Scholar]
- Lei, Z.; Zhu, Y.L.; Jia, Y.F.; Zhang, N.; Guo, X.H.; Yuan, L. Feature Extraction for Partial Discharge Grayscale Image Based on Gray Level Co-Occurrence Matrix and Local Binary Pattern. Electr. Meas. Instrum. 2017, 54, 77–82. [Google Scholar]









| Attributes Selected | Lowest Recognition Rate | Highest Recognition Rate |
|---|---|---|
| 1st | 52.95% | 65.68% |
| 1st–2nd | 86.82% | 95.45% |
| 1st–3rd | 95.91% | 99.32% |
| 1st–4th | 99.32% | 100% |
| 1st–5th | 99.32% | 100% |
| 1st–100th | 99.32% | 100% |
| Order Number of Attribute | Free Metal Particles | Suspended Electrode | Metal Tip | Air Gap |
|---|---|---|---|---|
| 1 | 0.1247 | 1.1278 | −1.1111 | 1.3060 |
| 2 | 1.6303 | −0.2114 | −0.4626 | −1.2163 |
| 3 | 0.0573 | 1.6299 | −1.1527 | −0.2406 |
| 4 | 0.2829 | −0.6706 | −1.1854 | 1.8608 |
| Defect Type | Free Metal Particles | Suspended Electrode | Metal Tip | Air Gap | Overall Accuracy |
|---|---|---|---|---|---|
| Free metal particles | 89.89% | 0 | 0 | 10.11% | 97.50% |
| Suspended electrode | 0 | 100% | 0 | 0 | |
| Metal tip | 0 | 0 | 100% | 0 | |
| Air gap | 0 | 0 | 0 | 100% |
| Defect Type | Free Metal Particles | Suspended Electrode | Metal Tip | Air Gap | Overall Accuracy |
|---|---|---|---|---|---|
| Free metal particles | 95.35% | 0 | 0 | 4.65% | 92.50% |
| Suspended electrode | 0 | 100% | 0 | 0% | |
| Metal tip | 0 | 0 | 89.53% | 10.47% | |
| Air gap | 0 | 14.29% | 0 | 85.71% |
| Defect Type | Free Metal Particles | Suspended Electrode | Metal Tip | Air Gap | Overall Accuracy |
|---|---|---|---|---|---|
| Free metal particles | 100% | 0 | 0 | 0 | 99.44% |
| Suspended electrode | 0 | 100% | 0 | 0 | |
| Metal tip | 0 | 0 | 97.75% | 2.25% | |
| Air gap | 0 | 0 | 0 | 100% |
| Defect Type | Suspended Electrode | Metal Tip | ||
|---|---|---|---|---|
| 22.6 kV | 25.8 kV | 6.5 kV | 15.1 kV | |
| Statistical method | 100% | 88.57% | 100% | 69.29% |
| GGCM method | 100% | 90.71% | 89.53% | 71.43% |
| HOG method | 100% | 97.86% | 97.75% | 95.71% |
© 2020 by the authors. Licensee MDPI, Basel, Switzerland. This article is an open access article distributed under the terms and conditions of the Creative Commons Attribution (CC BY) license (http://creativecommons.org/licenses/by/4.0/).
Share and Cite
Song, S.; Qian, Y.; Wang, H.; Zang, Y.; Sheng, G.; Jiang, X. Partial Discharge Pattern Recognition Based on 3D Graphs of Phase Resolved Pulse Sequence. Energies 2020, 13, 4103. https://doi.org/10.3390/en13164103
Song S, Qian Y, Wang H, Zang Y, Sheng G, Jiang X. Partial Discharge Pattern Recognition Based on 3D Graphs of Phase Resolved Pulse Sequence. Energies. 2020; 13(16):4103. https://doi.org/10.3390/en13164103
Chicago/Turabian StyleSong, Simeng, Yong Qian, Hui Wang, Yiming Zang, Gehao Sheng, and Xiuchen Jiang. 2020. "Partial Discharge Pattern Recognition Based on 3D Graphs of Phase Resolved Pulse Sequence" Energies 13, no. 16: 4103. https://doi.org/10.3390/en13164103
APA StyleSong, S., Qian, Y., Wang, H., Zang, Y., Sheng, G., & Jiang, X. (2020). Partial Discharge Pattern Recognition Based on 3D Graphs of Phase Resolved Pulse Sequence. Energies, 13(16), 4103. https://doi.org/10.3390/en13164103
