Estimation of Radioactivity Release Activity Using Non-Linear Kalman Filter-Based Estimation Techniques
Abstract
1. Introduction
- formulation of three nonlinear estimation approaches, EKF, UKF, and CKF for radionuclide release estimation;
- estimation of source parameters like release rate, wind speed, and release height;
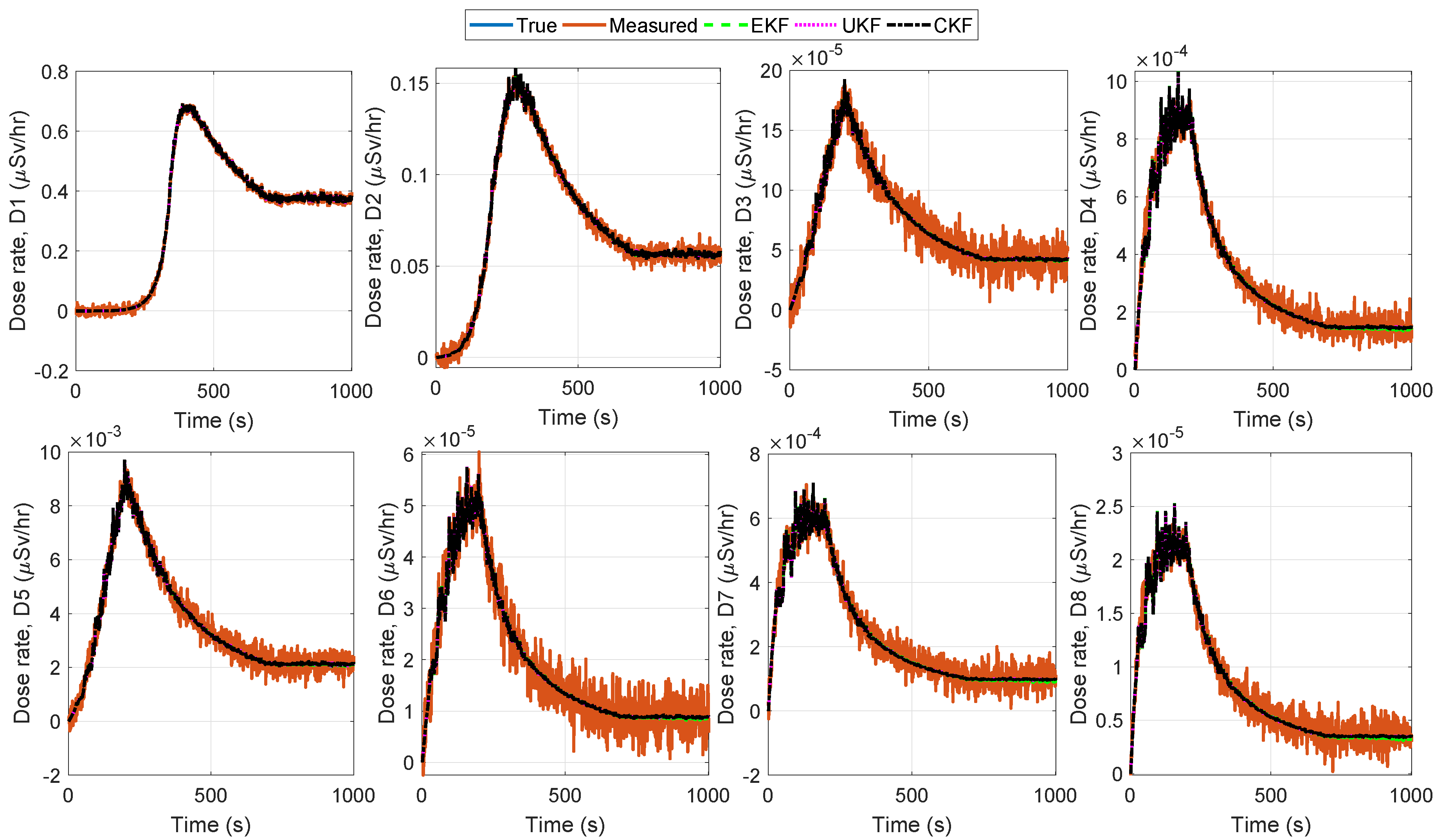
- prediction improvement of dose rate measurements at different detectors;
- simulation analysis of different beyond design basis scenarios; and,
- statistical performance analysis and comparison of the proposed estimation algorithms.
2. Modelling of Radioactivity Release
2.1. Atmospheric Dispersion Model
2.2. Dose Rate Model
3. Nonlinear Estimation Techniques
3.1. Extended Kalman Filter
- InitializationThe EKF is initialized using an initial estimate of state vector and error covariance matrix asFor
- Time Update
- (a)
- For the given nonlinear system (6), the Jacobian matrices are calculated as
- (b)
- Prediction Transformation: The a priori state and covariance are computed as
- (c)
- Observation Transformation: The mean and covariance of predicted output and cross-covariance between state and output are given as
- Measurement Update
- (a)
- The Kalman gain is calculated while using the covariance matrices as
- (b)
- The state vector and error covariance matrix are updated as
3.2. Unscented Kalman Filter
- InitializationThe UKF is initialized using the initial estimate of state vector and error covariance matrix, asFor
- Time Update
- (a)
- The UT transformation employs primary, secondary, and tertiary scaling parameters, in which the primary scaling parameter determines the spread of the sigma-points around the mean, the secondary scaling parameter includes information regarding the prior distribution, and the tertiary parameter minimizes the higher order errors of mean and covariance approximations. Using these three scaling parameters, an additional scaling parameter and weight vectors, and are defined asand
- (b)
- The Sigma points are computed using the initial state estimate () and covariance () aswhere is a vector of ones.
- (c)
- Prediction Transformation: Sigma points are fed to the non-linear state prediction asThe a priori state and covariance are computed based on weighted averages of the transformed sigma-points as
- (d)
- Observation Transformation: Sigma-points are transformed while using observation function asThe mean and covariance of predicted output and cross-covariance between state and output are given as
- Measurement Update
- (a)
- The Kalman gain is calculated using the covariance matrices as
- (b)
- The state vector and error covariance matrix are updated as
- (c)
- Sigma points are updated while using the a prior state estimate () and covariance () as
3.3. Cubature Kalman Filter
- InitializationThe CKF is initialized using an estimate of state vector and error covariance matrix, asFor
- Time Update
- (a)
- Cubature points are computed using the initial state estimate () and covariance () as
- (b)
- Prediction Transformation: Cubature points are fed to the non-linear state prediction, asThe a priori state and covariance are computed based on weighted averages of the transformed cubature-points as
- (c)
- Observation Transformation: Cubature-points are transformed using observation function asThe mean and covariance of predicted output and cross-covariance between state and output are given as
- Measurement Update
- (a)
- The Kalman gain is calculated while using the covariance matrices, as
- (b)
- The state vector and error covariance matrix are updated as
- (c)
- Cubature points are updated using the a prior state estimate () and covariance () as
4. Application to Radionuclide Release Estimation
4.1. Case Studies of Different Scenarios
4.1.1. Variation in Radionuclides Release Rate
4.1.2. Variation in Mean Wind Speed
4.1.3. Variation in Effective Height of Release
4.1.4. Variation in Atmospheric Condition
4.1.5. Multiple Release Points
4.2. Statistical Performance Assessment
4.3. Tuning of Covariance Matrices
4.4. Discussion
5. Conclusions
Author Contributions
Funding
Conflicts of Interest
References
- Singh, S.K.; Sharan, M.; Issartel, J.P. Inverse modelling methods for identifying unknown releases in emergency scenarios: An overview. Int. J. Environ. Pollut. 2015, 57, 68–91. [Google Scholar] [CrossRef]
- Li, X.; Xiong, W.; Hu, X.; Sun, S.; Li, H.; Yang, X.; Zhang, Q.; Nibart, M.; Albergel, A.; Fang, S. An accurate and ultrafast method for estimating three-dimensional radiological dose rate fields from arbitrary atmospheric radionuclide distributions. Atmos. Environ. 2019, 199, 143–154. [Google Scholar] [CrossRef]
- Hukkoo, R.K.; Bapat, V.N.; Shirvaikar, V.V. Manual of Dose Evaluation from Atmospheric Releases; BARC–1412; Bhabha Atomic Research Centre: Mumbai, India, 1988.
- Hutchinson, M.; Oh, H.; Chen, W.H. A review of source term estimation methods for atmospheric dispersion events using static or mobile sensors. Inf. Fusion 2017, 36, 130–148. [Google Scholar] [CrossRef]
- Krysta, M.; Bocquet, M.; Sportisse, B.; Isnard, O. Data assimilation for short-range dispersion of radionuclides: An application to wind tunnel data. Atmos. Environ. 2006, 40, 7267–7279. [Google Scholar] [CrossRef]
- Quelo, D.; Sportisse, B.; Isnard, O. Data assimilation for short range atmospheric dispersion of radionuclides: A case study of second-order sensitivity. J. Environ. Radioact. 2005, 84, 393–408. [Google Scholar] [CrossRef] [PubMed]
- Krishnakumar, D.N.; Somayaji, K.M.; Venkatesan, R.; Meenakshisundaram, V. Development and applications of energy-specific fluence monitor for field monitoring. Appl. Radiat. Isot. 2011, 69, 1039–1085. [Google Scholar] [CrossRef]
- Macdonald, R. Theory and Objectives of Air Dispersion Modelling. 2003. Available online: http://citeseerx.ist.psu.edu/viewdoc/download?doi=10.1.1.409.9932&rep=rep1&type=pdf (accessed on 28 July 2020).
- Modeling Pollutant Dispersion in the Environment; Environmental Sciences and Engineering, BARC Highlights; BARC: Mumbai, India, 2006–2007; pp. 26–54. Available online: http://www.barc.gov.in/publications/eb/golden/environment/environment.pdf (accessed on 28 July 2020).
- Atmospheric Dispersion and Modelling; Atomic Energy Rehulatory Board: Mumbai, India, 2008; pp. 26–54.
- Christoudias, T.; Proestos, Y.; Lelieveld, J. Atmospheric Dispersion of Radioactivity from Nuclear Power Plant Accidents: Global Assessment and Case Study for the Eastern Mediterranean and Middle East. Energies 2014, 7, 8338–8354. [Google Scholar] [CrossRef]
- Raza, S.S.; Avila, R.; Cervantes, J. A 3-D Lagrangian (Monte Carlo) Method for Direct Plume Gamma Dose Rate Calculations. J. Nucl. Sci. Technol. 2001, 38, 254–260. [Google Scholar] [CrossRef]
- Rojas-Palma, C.; Madsen, H.; Gering, F.; Puch, R.; Turcanu, C.; Astrup, P.; Müller, H.; Richter, K.; Zheleznyak, M.; Treebushny, D.; et al. Data assimilation in the decision support system RODOS. Radiat. Protect. Dosim. 2003, 104, 31–40. [Google Scholar] [CrossRef]
- Astrup, P.; Turcanu, C.; Puch, R.; Rojas-Palma, C.; Mikkelsen, T. Data Assimilation in the Early Phase: Kalman Filtering RIMPUFF; Riso National Laboratory: Roskilde, Denmark, 2004; pp. 78–89. [Google Scholar]
- Zheng, D.Q.; Leung, J.K.C.; Lee, B.Y.; Lam, H.Y. Data assimilation in the atmospheric dispersion model for nuclear accident assessments. Atmos. Environ. 2007, 41, 2438–2446. [Google Scholar] [CrossRef]
- Zheng, D.Q.; Leung, J.K.C.; Lee, B.Y. Online update of model state and parameters of a Monte Carlo atmospheric dispersion model by using ensemble Kalman filter. Atmos. Environ. 2009, 43, 2005–2011. [Google Scholar] [CrossRef]
- Zhang, X.L.; Su, G.F.; Yuan, H.Y.; Chen, J.G.; Huang, Q.Y. Modified ensemble Kalman filter for nuclear accident atmospheric dispersion: Prediction improved and source estimated. J. Hazard. Mater. 2014, 280, 143–155. [Google Scholar] [CrossRef] [PubMed]
- Zhang, X.L.; Su, G.F.; Chen, J.G.; Raskob, W.; Yuan, H.Y.; Huang, Q.Y. Iterative ensemble Kalman Filter for atmospheric dispersion in nuclear accidents: An application to kincaid tracer experiment. J. Hazard. Mater. 2015, 297, 329–339. [Google Scholar] [CrossRef] [PubMed]
- Hiemstra, P.H.; Karssenberg, D.; van Dijk, A. Assimilation of observations of radiation level into an atmospheric transport model: A case study with the particle filter and the ETEX tracer dataset. Atmos. Environ. 2011, 45, 6149–6157. [Google Scholar] [CrossRef]
- Hiemstra, P.H.; Karssenberg, D.; van Dijk, A.; de Jong, S.M. Using the particle filter for nuclear decision support. Environ. Model. Softw. 2012, 37, 78–89. [Google Scholar] [CrossRef]
- Jeong, H.J.; Kim, E.H.; Suh, K.S.; Hwang, W.T.; Han, M.H.; Lee, H.K. Determination of the source rate released into the environment from a nuclear power plant. Radiat. Protect. Dosim. 2005, 113, 308–313. [Google Scholar] [CrossRef]
- Jeong, H.J.; Han, M.H.; Hwang, W.T.; Kim, E.H. Application of data assimilation to improve the forecasting capability of an atmospheric dispersion model for a radioactive plume. Ann. Nucl. Energy 2008, 35, 838–844. [Google Scholar] [CrossRef]
- Tsiouri, V.; Kovalets, I.; Andronopoulos, S.; Bartzis, J.G. Emission Rate Estimation Through Data Assimilation of Gamma Dose Measurements in a Lagrangian Atmospheric Dispersion Model. Radiat. Protect. Dosim. 2012, 148, 34–44. [Google Scholar] [CrossRef]
- Drews, M.; Lauritzen, B.; Madsen, H.; Smith, J.Q. Kalman filtration of radiation monitoring data from atmospheric dispersion of radioactive materials. Radiat. Protect. Dosim. 2004, 111, 257–269. [Google Scholar] [CrossRef]
- Drews, M.; Lauritzen, B.; Madsen, H. Analysis of a Kalman filter based method for on-line estimation of atmospheric dispersion parameters using radiation monitoring data. Radiat. Protect. Dosim. 2005, 113, 75–89. [Google Scholar] [CrossRef]
- Santhosh, T.V.; Prasad, M.H.; Gopika, V.; Singh, R.K.; Vaze, K.K. Development of atmospheric dispersion module and its integration with diagnostic system for radioactivity release evaluations. In Proceedings of the International Workshop on New Horizons in Nuclear Reactor Thermal Hydraulics and Safety, Mumbai, India, 13–15 January 2014. [Google Scholar]
- Sun, S.; Li, X.; Li, H.; Shi, J.; Fang, S. Site-specific (Multi-scenario) validation of ensemble Kalman filter-based source inversion through multi-direction wind tunnel experiments. J. Environ. Radioact. 2019, 197, 90–100. [Google Scholar] [CrossRef] [PubMed]
- Vajpayee, V.; Becerra, V.; Bausch, N.; Tian, X.; Santhosh, T.V.; Vinod, G. Estimation of Radionuclide Release Activity Using an Unscented Kalman Filter. In Proceedings of the 2019 6th International Conference on Instrumentation, Control, and Automation (ICA), Bandung, Indonesia, 31 July–2 August 2019; pp. 231–236. [Google Scholar]
- Winiarek, V.; Bocquet, M.; Saunier, O.; Mathieu, A. Estimation of errors in the inverse modeling of accidental release of atmospheric pollutant: Application to the reconstruction of the cesium-137 and iodine-131 source terms from the Fukushima Daiichi power plant. J. Geophys. Res. Atmos. 2012, 117. [Google Scholar] [CrossRef]
- Saunier, O.; Mathieu, A.; Didier, D.; Tombette, M.; Quelo, D.; Winiarek, V.; Bocquet, M. An inverse modeling method to assess the source term of the Fukushima Nuclear Power Plant accident using gamma dose rate observations. Atmos. Chem. Phys. 2013, 13, 11403–11421. [Google Scholar] [CrossRef]
- Winiarek, V.; Bocquet, M.; Duhanyan, N.; Roustan, Y.; Saunier, O.; Mathieu, A. Estimation of the caesium-137 source term from the Fukushima Daiichi nuclear power plant using a consistent joint assimilation of air concentration and deposition observations. Atmos. Environ. 2014, 82, 268–279. [Google Scholar] [CrossRef]
- Li, X.; Sun, S.; Hu, X.; Huang, H.; Li, H.; Morino, Y.; Wang, S.; Yang, X.; Shi, J.; Fang, S. Source inversion of both long- and short-lived radionuclide releases from the Fukushima Daiichi nuclear accident using on-site gamma dose rates. J. Hazard. Mater. 2019, 379, 120770. [Google Scholar] [CrossRef] [PubMed]
- Zhang, X.; Raskob, W.; Landman, C.; Trybushnyi, D.; Li, Y. Sequential multi-nuclide emission rate estimation method based on gamma dose rate measurement for nuclear emergency management. J. Hazard. Mater. 2017, 325, 288–300. [Google Scholar] [CrossRef] [PubMed]
- Li, X.; Li, H.; liu, Y.; Fang, S. Joint release rate estimation and measurement-by-measurement model correction for atmospheric radionuclide emission in nuclear accidents: An application to wind tunnel experiments. J. Hazard. Mater. 2018, 345, 48–62. [Google Scholar] [CrossRef]
- Sorenson, H.W. Kalman Filtering: Theory and Application; IEEE: Piscataway, NJ, USA, 1985. [Google Scholar]
- Julier, S.J.; Uhlmann, J.K. Unscented filtering and nonlinear estimation. Proc. IEEE 2004, 92, 401–422. [Google Scholar] [CrossRef]
- Arasaratnam, I.; Haykin, S. Cubature Kalman Filters. IEEE Trans. Autom. Control 2009, 54, 1254–1269. [Google Scholar] [CrossRef]
- Dunik, J.; Straka, O.; Kost, O.; Havlik, J. Noise covariance matrices in state-space models: A survey and comparison of estimation methods—Part I. Int. J. Adapt. Control Signal Process. 2017, 31, 1505–1543. [Google Scholar] [CrossRef]
- Annunzio, A.J.; Young, G.S.; Haupt, S.E. Utilizing state estimation to determine the source location for a contaminant. Atmos. Environ. 2012, 46, 580–589. [Google Scholar] [CrossRef]
- Russell, R.A.; Thiel, D.; Deveza, R.; Mackay-Sim, A. A robotic system to locate hazardous chemical leaks. In Proceedings of the 1995 IEEE International Conference on Robotics and Automation, Nagoya, Japan, 21–27 May 1995; Volume 1, pp. 556–561. [Google Scholar]
- Krishnanand, K.N.; Ghose, D. Detection of multiple source locations using a glowworm metaphor with applications to collective robotics. In Proceedings of the 2005 IEEE Swarm Intelligence Symposium, Pasadena, CA, USA, 8–10 June 2005; pp. 84–91. [Google Scholar]













| Scenario | Parameter | EKF | UKF | CKF |
|---|---|---|---|---|
| Release Rate Variation | Dose Rate, | |||
| Dose Rate, | ||||
| Dose Rate, | ||||
| Dose Rate, | ||||
| Dose Rate, | ||||
| Dose Rate, | ||||
| Dose Rate, | ||||
| Dose Rate, | ||||
| Wind Speed Variation | Dose Rate, | |||
| Dose Rate, | ||||
| Dose Rate, | ||||
| Dose Rate, | ||||
| Dose Rate, | ||||
| Dose Rate, | ||||
| Dose Rate, | ||||
| Dose Rate, | ||||
| Release Height Variation | Dose Rate, | |||
| Dose Rate, | ||||
| Dose Rate, | ||||
| Dose Rate, | ||||
| Dose Rate, | ||||
| Dose Rate, | ||||
| Dose Rate, | ||||
| Dose Rate, | ||||
| Atmospheric Condition Variation | Dose Rate, | |||
| Dose Rate, | ||||
| Dose Rate, | ||||
| Dose Rate, | ||||
| Dose Rate, | ||||
| Dose Rate, | ||||
| Dose Rate, | ||||
| Dose Rate, | ||||
| Multiple Release Sources | Dose Rate, | |||
| Dose Rate, | ||||
| Dose Rate, | ||||
| Dose Rate, | ||||
| Dose Rate, | ||||
| Dose Rate, | ||||
| Dose Rate, | ||||
| Dose Rate, |
| Scenario | Parameter | EKF | UKF | CKF |
|---|---|---|---|---|
| Release Rate Variation | Release Rate, q | |||
| Wind speed, u | ||||
| Release Height, h | ||||
| Wind Speed Variation | Release Rate, q | |||
| Wind speed, u | ||||
| Release Height, h | ||||
| Release Height Variation | Release Rate, q | |||
| Wind speed, u | ||||
| Release Height, h | ||||
| Atmospheric Condition Variation | Release Rate, q | |||
| Wind speed, u | ||||
| Release Height, h | ||||
| Multiple Release Sources | Release Rate, q | |||
| Wind speed, u | ||||
| Release Height, h |
| Scenario | Parameter | EKF | UKF | CKF |
|---|---|---|---|---|
| Release Rate Variation | Release Rate, q | |||
| Wind speed, u | ||||
| Release Height, h | ||||
| Wind Speed Variation | Release Rate, q | 0 | 0 | 0 |
| Wind speed, u | ||||
| Release Height, h | ||||
| Release Height Variation | Release Rate, q | 0 | 0 | 0 |
| Wind speed, u | ||||
| Release Height, h | ||||
| Atmospheric Condition Variation | Release Rate, q | 0 | 0 | 0 |
| Wind speed, u | ||||
| Release Height, h | ||||
| Multiple Release Sources | Release Rate, q | |||
| Wind speed, u | ||||
| Release Height, h |
| Scenario | Parameter | EKF | UKF | CKF |
|---|---|---|---|---|
| Release Rate Variation | Dose Rate, | |||
| Dose Rate, | ||||
| Dose Rate, | ||||
| Dose Rate, | ||||
| Dose Rate, | ||||
| Dose Rate, | ||||
| Dose Rate, | ||||
| Dose Rate, | ||||
| Wind Speed Variation | Dose Rate, | |||
| Dose Rate, | ||||
| Dose Rate, | ||||
| Dose Rate, | ||||
| Dose Rate, | ||||
| Dose Rate, | ||||
| Dose Rate, | ||||
| Dose Rate, | ||||
| Release Height Variation | Dose Rate, | |||
| Dose Rate, | ||||
| Dose Rate, | ||||
| Dose Rate, | ||||
| Dose Rate, | ||||
| Dose Rate, | ||||
| Dose Rate, | ||||
| Dose Rate, | ||||
| Atmospheric Condition Variation | Dose Rate, | |||
| Dose Rate, | ||||
| Dose Rate, | ||||
| Dose Rate, | ||||
| Dose Rate, | ||||
| Dose Rate, | ||||
| Dose Rate, | ||||
| Dose Rate, | ||||
| Multiple Release Sources | Dose Rate, | |||
| Dose Rate, | ||||
| Dose Rate, | ||||
| Dose Rate, | ||||
| Dose Rate, | ||||
| Dose Rate, | ||||
| Dose Rate, | ||||
| Dose Rate, |
| Scenario | Parameter | EKF | UKF | CKF |
|---|---|---|---|---|
| Release Rate Variation | Dose Rate, | 0.99929 | 0.99929 | 0.99929 |
| Dose Rate, | 0.99890 | 0.99890 | 0.99890 | |
| Dose Rate, | 0.99709 | 0.99713 | 0.99712 | |
| Dose Rate, | 0.98924 | 0.98951 | 0.98949 | |
| Dose Rate, | 0.99769 | 0.99771 | 0.99669 | |
| Dose Rate, | 0.99208 | 0.99218 | 0.99216 | |
| Dose Rate, | 0.98655 | 0.98730 | 0.98727 | |
| Dose Rate, | 0.98615 | 0.98702 | 0.98700 | |
| Wind Speed Variation | Dose Rate, | 0.99946 | 0.99946 | 0.99946 |
| Dose Rate, | 0.99863 | 0.99863 | 0.99863 | |
| Dose Rate, | 0.99622 | 0.99622 | 0.99622 | |
| Dose Rate, | 0.99375 | 0.99384 | 0.99387 | |
| Dose Rate, | 0.99697 | 0.99697 | 0.99697 | |
| Dose Rate, | 0.99449 | 0.99453 | 0.99455 | |
| Dose Rate, | 0.99315 | 0.99331 | 0.99335 | |
| Dose Rate, | 0.99308 | 0.99325 | 0.99329 | |
| Release Height Variation | Dose Rate, | 0.99911 | 0.99837 | 0.99915 |
| Dose Rate, | 0.99871 | 0.99737 | 0.99860 | |
| Dose Rate, | 0.99669 | 0.99454 | 0.99680 | |
| Dose Rate, | 0.92929 | 0.96793 | 0.91879 | |
| Dose Rate, | 0.99766 | 0.99522 | 0.99735 | |
| Dose Rate, | 0.96016 | 0.97869 | 0.96033 | |
| Dose Rate, | 0.91439 | 0.96228 | 0.89660 | |
| Dose Rate, | 0.91297 | 0.96161 | 0.89561 | |
| Atmospheric Condition Variation | Dose Rate, | 0.99927 | 0.99927 | 0.99927 |
| Dose Rate, | 0.99829 | 0.99823 | 0.99823 | |
| Dose Rate, | 0.99307 | 0.99599 | 0.99598 | |
| Dose Rate, | 0.72922 | 0.98483 | 0.98482 | |
| Dose Rate, | 0.99508 | 0.99635 | 0.99634 | |
| Dose Rate, | 0.90956 | 0.98914 | 0.98913 | |
| Dose Rate, | 0.40531 | 0.98011 | 0.98010 | |
| Dose Rate, | 0.34802 | 0.97933 | 0.97932 | |
| Multiple Release Sources | Dose Rate, | 0.99974 | 0.99974 | 0.99974 |
| Dose Rate, | 0.95793 | 0.95600 | 0.95600 | |
| Dose Rate, | 0.92437 | 0.92071 | 0.92071 | |
| Dose Rate, | 0.89899 | 0.89064 | 0.89064 | |
| Dose Rate, | 0.92954 | 0.92524 | 0.92524 | |
| Dose Rate, | 0.90521 | 0.90115 | 0.90115 | |
| Dose Rate, | 0.89292 | 0.88066 | 0.88066 | |
| Dose Rate, | 0.89263 | 0.87926 | 0.87926 |
© 2020 by the authors. Licensee MDPI, Basel, Switzerland. This article is an open access article distributed under the terms and conditions of the Creative Commons Attribution (CC BY) license (http://creativecommons.org/licenses/by/4.0/).
Share and Cite
Becerra, V.M.; Vajpayee, V.; Bausch, N.; Santhosh, T.V.; Vinod, G.; Deng, J. Estimation of Radioactivity Release Activity Using Non-Linear Kalman Filter-Based Estimation Techniques. Energies 2020, 13, 3985. https://doi.org/10.3390/en13153985
Becerra VM, Vajpayee V, Bausch N, Santhosh TV, Vinod G, Deng J. Estimation of Radioactivity Release Activity Using Non-Linear Kalman Filter-Based Estimation Techniques. Energies. 2020; 13(15):3985. https://doi.org/10.3390/en13153985
Chicago/Turabian StyleBecerra, Victor M., Vineet Vajpayee, Nils Bausch, T.V. Santhosh, Gopika Vinod, and Jiamei Deng. 2020. "Estimation of Radioactivity Release Activity Using Non-Linear Kalman Filter-Based Estimation Techniques" Energies 13, no. 15: 3985. https://doi.org/10.3390/en13153985
APA StyleBecerra, V. M., Vajpayee, V., Bausch, N., Santhosh, T. V., Vinod, G., & Deng, J. (2020). Estimation of Radioactivity Release Activity Using Non-Linear Kalman Filter-Based Estimation Techniques. Energies, 13(15), 3985. https://doi.org/10.3390/en13153985

