Analysis of Torque Ripple of a Spoke-Type Interior Permanent Magnet Machine
Abstract
1. Introduction
2. Optimization of the FSCW Spoke-Type IPM Machine
3. Torque Ripple Separation Using Frozen Permeability Method
3.1. Torque Components
3.2. Frozen Permeability Method
3.2.1. Six-Time Frozen Permeability Method
3.2.2. Separation of Torque Components
3.2.3. Extraction of Magnet Flux Linkage Components and
4. Analysis of Torque Ripple Components
4.1. Analysis of the Torque Ripples of the Optimized Design
4.2. Parametric Analysis of the Torque Ripple Components
4.2.1. Harmonics of the Torque Ripple
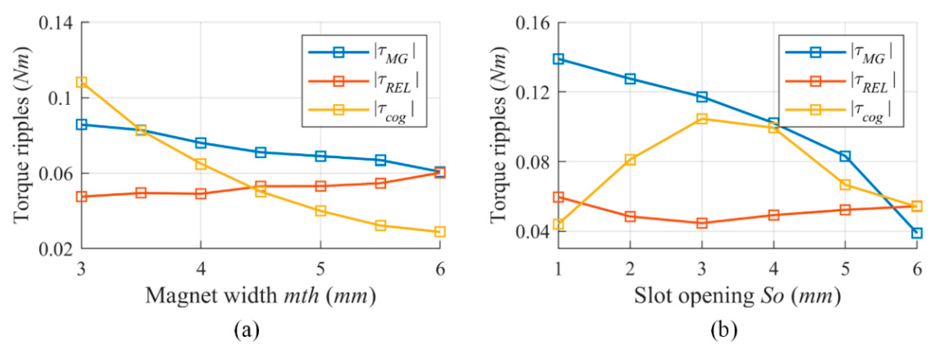
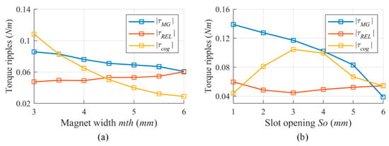
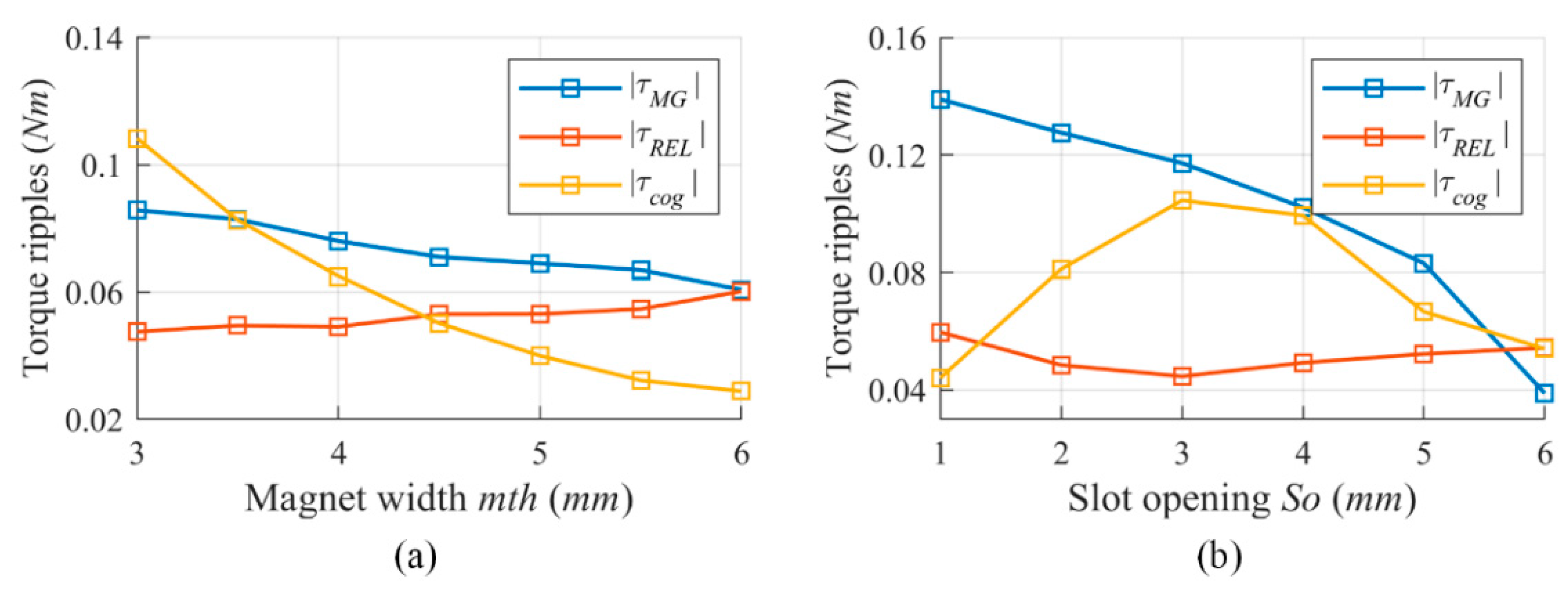
4.2.2. Effect of Geometric Parameters on the Amplitude of Torque Ripples
4.2.3. Effect of Geometric Parameters on the Relative Phase Angle between Torque Ripples
4.2.4. Comparison of the Worst-Case Designs with the Optimum Design
5. Experimental Verifications
6. Conclusions
Author Contributions
Funding
Conflicts of Interest
References
- Yang, Z.; Shang, F.; Brown, I.P.; Krishnamurthy, M. Comparative Study of Interior Permanent Magnet, Induction, and Switched Reluctance Motor Drives for EV and HEV Applications. IEEE Trans. Transp. Electrif. 2015, 1, 245–254. [Google Scholar] [CrossRef]
- Zheng, P.; Wang, W.N.; Wang, M.Q.; Liu, Y.; Fu, Z.X. Investigation of the Magnetic Circuit and Performance of Less-Rare-Earth Interior Permanent-Magnet Synchronous Machines Used for Electric Vehicles. Energies 2017, 10, 2173. [Google Scholar] [CrossRef]
- Gu, W.W.; Zhu, X.Y.; Quan, L.; Du, Y. Design and Optimization of Permanent Magnet Brushless Machines for Electric Vehicle Applications. Energies 2015, 8, 13996–14008. [Google Scholar] [CrossRef]
- Dorrell, D.G.; Hsieh, M.F.; Knight, A.M. Alternative Rotor Designs for High Performance Brushless Permanent Magnet Machines for Hybrid Electric Vehicles. IEEE Trans. Magn. 2012, 48, 835–838. [Google Scholar] [CrossRef]
- Zhao, W.L.; Lipo, T.A.; Kwon, B.I. Torque Pulsation Minimization in Spoke-type Interior Permanent Magnet Motors With Skewing and Sinusoidal Permanent Magnet Configurations. IEEE Trans. Magn. 2015, 51, 1. [Google Scholar] [CrossRef]
- Pouramin, A.; Dutta, R.; Rahman, M.F. Design Optimization of a Spoke-Type FSCW IPM Machine to Achieve Low Torque Ripple and High Torque Density under a Wide Constant Power Speed Range. In Proceedings of the 2018 IEEE Energy Conversion Congress and Exposition (ECCE), Portland, OR, USA, 23–27 September 2018; pp. 6914–6921. [Google Scholar]
- Hwang, K.Y.; Jo, J.H.; Kwon, B.I. A Study on Optimal Pole Design of Spoke-Type IPMSM With Concentrated Winding for Reducing the Torque Ripple by Experiment Design Method. IEEE Trans. Magn. 2009, 45, 4712–4715. [Google Scholar] [CrossRef]
- Bianchi, N.; Bolognani, S.; Pre, M.D.; Grezzani, G. Design considerations for fractional-slot winding configurations of synchronous machines. ITIA 2006, 42, 997–1006. [Google Scholar] [CrossRef]
- Carraro, E.; Bianchi, N.; Zhang, S.; Koch, M. Performance Comparison of Fractional Slot Concentrated Winding Spoke Type Synchronous Motors with Different Slot-Pole Combinations. In Proceedings of the 2015 IEEE Energy Conversion Congress and Exposition (ECCE), Montreal, QC, Canada, 20–24 September 2015; pp. 6067–6074. [Google Scholar]
- Artetxe, G.; Paredes, J.; Prieto, B.; Martinez-Iturralde, M.; Elosegui, I. Optimal Pole Number and Winding Designs for Low Speed-High Torque Synchronous Reluctance Machines. Energies 2018, 11, 128. [Google Scholar] [CrossRef]
- El-Refaie, A.M.; Jahns, T.M. Optimal flux weakening in surface PM machines using fractional-slot concentrated windings. ITIA 2005, 41, 790–800. [Google Scholar] [CrossRef]
- Pouramin, A.; Dutta, R.; Rahman, M.F. Preliminary Study on Differences in the Performance Characteristics of Concentrated and Distributed Winding IPM Machines with Different Rotor Topologies. In Proceedings of the 2017 IEEE Energy Conversion Congress and Exposition (ECCE), Cincinnati, OH, USA, 1–5 October 2017; pp. 3565–3570. [Google Scholar]
- Walker, J.A.; Dorrell, D.G.; Cossar, C. Flux-linkage calculation in permanent-magnet motors using the frozen permeabilities method. IEEE Trans. Magn. 2005, 41, 3946–3948. [Google Scholar] [CrossRef]
- Chu, W.Q.; Zhu, Z.Q. Average Torque Separation in Permanent Magnet Synchronous Machines Using Frozen Permeability. IEEE Trans. Magn. 2013, 49, 1202–1210. [Google Scholar] [CrossRef]
- Yamazaki, K.; Kumagai, M. Torque Analysis of Interior Permanent-Magnet Synchronous Motors by Considering Cross-Magnetization: Variation in Torque Components With Permanent-Magnet Configurations. ITIE 2014, 61, 3192–3201. [Google Scholar] [CrossRef]
- Shuto, D.; Takahashi, Y.; Fujiwara, K. Frozen Permeability Method for Magnetic Field Analysis of Permanent Magnet Motors Considering Hysteretic Property. IEEE Trans. Magn. 2019, 55, 1–4. [Google Scholar] [CrossRef]
- Carraro, E.; Bianchi, N.; Zhang, S.; Koch, M. Design and Performance Comparison of Fractional Slot Concentrated Winding Spoke Type Synchronous Motors With Different Slot-Pole Combinations. ITIA 2018, 54, 2276–2284. [Google Scholar] [CrossRef]
- Bauer, D.D.; Li, J.; Sandalow, D.; Telleen, P.; Wanner, B. US Department of Energy Critical Materials Strategy; US Department of Energy, 2010. Available online: https://www.energy.gov/sites/prod/files/piprod/documents/cms_dec_17_full_web.pdf (accessed on 21 March 2020).
- ICSG. The World Copper Factbook 2017; ICSG: Lisbon, Portugal, 2017. [Google Scholar]
- Ionel, D.M.; Popescu, M.; McGilp, M.I.; Miller, T.J.E.; Dellinger, S.J. Assessment of torque components in brushless permanent-magnet machines through numerical analysis of the electromagnetic field. ITIA 2005, 41, 1149–1158. [Google Scholar] [CrossRef]
- Popescu, M.; Ionel, D.M.; Miller, T.J.E.; Dellinger, S.J.; McGilp, M.I. Improved finite element computations of torque in brushless permanent magnet motors. IEE Proc. Electr. Power Appl. 2005, 152, 271–276. [Google Scholar] [CrossRef]
- Liu, Y.; Zhu, Z.Q.; Howe, D. Direct torque control of brushless DC drives with reduced torque ripple. ITIA 2005, 41, 599–608. [Google Scholar] [CrossRef]
- Farshadnia, M.; Cheema, M.A.M.; Dutta, R.; Fletcher, J.E.; Rahman, M.F. Detailed Analytical Modeling of Fractional-Slot Concentrated-Wound Interior Permanent Magnet Machines for Prediction of Torque Ripple. ITIA 2017, 53, 5272–5283. [Google Scholar] [CrossRef]
- Tangudu, J.K.; Jahns, T.M.; El-Refaie, A.M.; Zhu, Z.Q. Segregation of torque components in fractional-slot concentrated-winding interior PM machines using frozen permeability. In Proceedings of the 2009 IEEE Energy Conversion Congress and Exposition, San Jose, CA, USA, 20–24 September 2009; pp. 3814–3821. [Google Scholar]
- Ansys Inc. ANSYS Maxwell V16 Training Manual; Ansys Inc.: Canonsburg, PA, USA, 2013. [Google Scholar]
- Jaffar, M.Z.M.; Husain, I. FEA based Separation of Torque Components in Interior Permanent Magnet Machines. In Proceedings of the 2019 IEEE Energy Conversion Congress and Exposition (ECCE), Baltimore, MD, USA, 29 September–3 October 2019; pp. 1687–1694. [Google Scholar]
- Pouramin, A.; Dutta, R.; Farshadnia, M.; Rahman, M.F. A Standstill Method to Measure Electromagnetically Induced Torque ripple of Permanent Magnet Synchronous Machines. IEEE Trans. Instrum. Meas. 2020. [Google Scholar] [CrossRef]

















| Ratings/Performance | Units | Value |
|---|---|---|
| Rated power | (hp) | 1 |
| Base speed | (rpm) | 1155 |
| Max. speed | (rpm) | 5000 |
| Current density | (A/mm2) | 5.7 |
| Torque density | (Nm/kg) | 1.5 |
| Torque per magnet weight | (Nm/kg) | 38.48 |
| Efficiency at base speed | (%) | 85.13 |
| (deg.) | 16.4 | |
| Torque ripple | (%) | 1.9 |
| Saliency ratio | - | 1.34 |
| FPM Number | Normalized Excitations | FPM Torques | ||
|---|---|---|---|---|
| id | iq | Magnets | ||
| 1 | 0 | 0 | 1 | |
| 2 | 1 | 0 | 1 | |
| 3 | 0 | 1 | 1 | |
| 4 | 1 | 1 | 0 | |
| 5 | 1 | 0 | 0 | |
| 6 | 0 | 1 | 0 | |
© 2020 by the authors. Licensee MDPI, Basel, Switzerland. This article is an open access article distributed under the terms and conditions of the Creative Commons Attribution (CC BY) license (http://creativecommons.org/licenses/by/4.0/).
Share and Cite
Chu, G.; Dutta, R.; Pouramin, A.; Rahman, M.F. Analysis of Torque Ripple of a Spoke-Type Interior Permanent Magnet Machine. Energies 2020, 13, 2886. https://doi.org/10.3390/en13112886
Chu G, Dutta R, Pouramin A, Rahman MF. Analysis of Torque Ripple of a Spoke-Type Interior Permanent Magnet Machine. Energies. 2020; 13(11):2886. https://doi.org/10.3390/en13112886
Chicago/Turabian StyleChu, Guoyu, Rukmi Dutta, Alireza Pouramin, and Muhammed Fazlur Rahman. 2020. "Analysis of Torque Ripple of a Spoke-Type Interior Permanent Magnet Machine" Energies 13, no. 11: 2886. https://doi.org/10.3390/en13112886
APA StyleChu, G., Dutta, R., Pouramin, A., & Rahman, M. F. (2020). Analysis of Torque Ripple of a Spoke-Type Interior Permanent Magnet Machine. Energies, 13(11), 2886. https://doi.org/10.3390/en13112886

