Comparative Study of the Heat and Mass Transfer Characteristics between Counter-Flow and Cross-Flow Heat Source Towers
Abstract
1. Introduction
2. Theoretical Model
2.1. Description of the Two Types of HST
2.2. Establishment of Mathematical Equations
- (1)
- (2)
- The heat and mass exchange through the tower surface to the environment are negligible;
- (3)
- Heat and mass transfer perpendicular to the flow direction is ignored;
- (4)
- The thermal resistance between the solution and the air occurs on the airside;
- (5)
- The properties of the packing material are uniform and stable;
- (6)
- There is no loss of solute during HST operation;
- (7)
- Both inlet air and solution flow rates are steady and uniform.
2.2.1. Development of Governing Equations
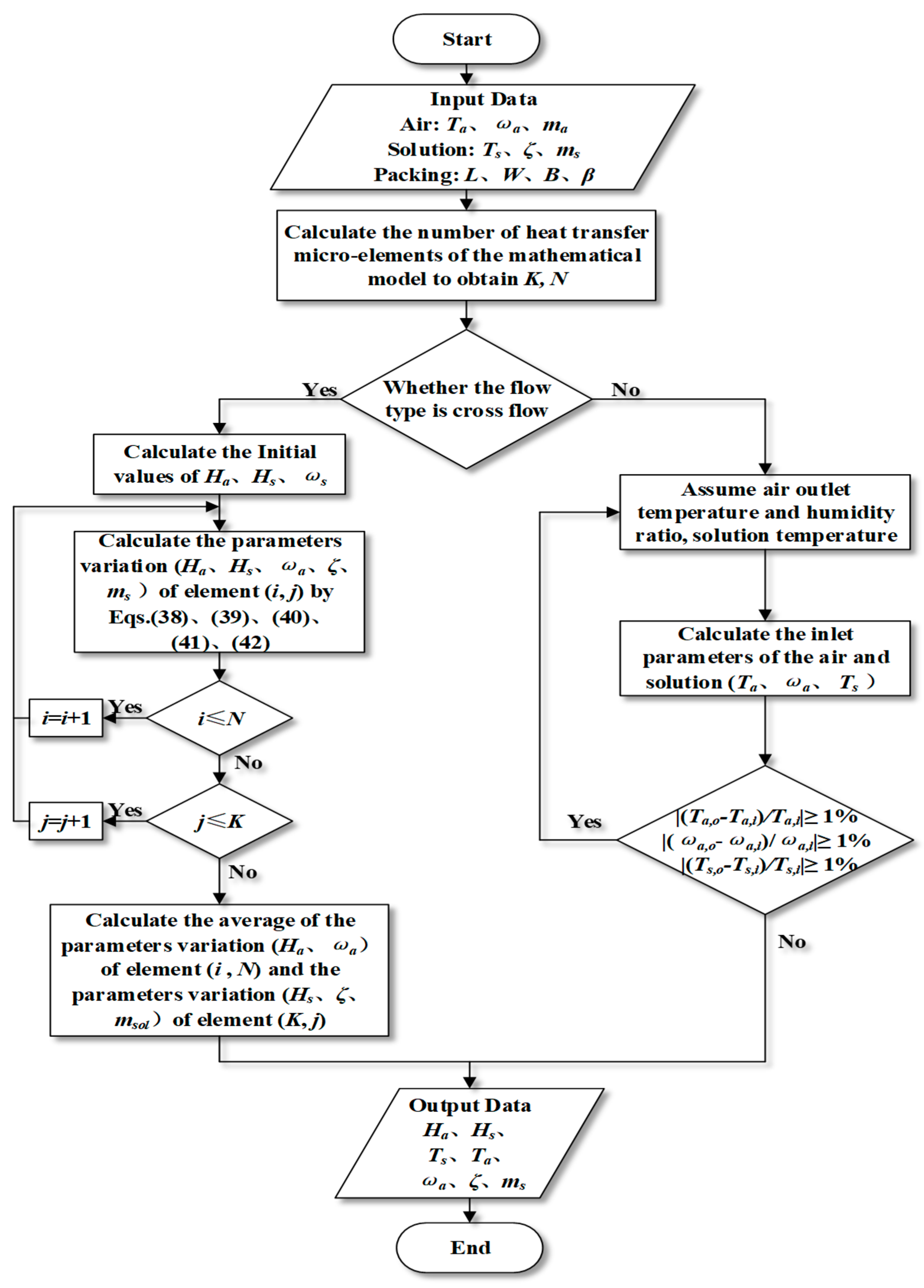
2.2.2. Numerical Methods
2.3. Determination of Other Parameters
2.3.1. Solution Specific Heat
2.3.2. Packing Material NTUm
2.3.3. Heat and Mass Transfer Coefficient
3. Experiment and Model Verification of the HST
4. Parametric Study
4.1. Impact of Inlet Air Parameters on Energy Transfer
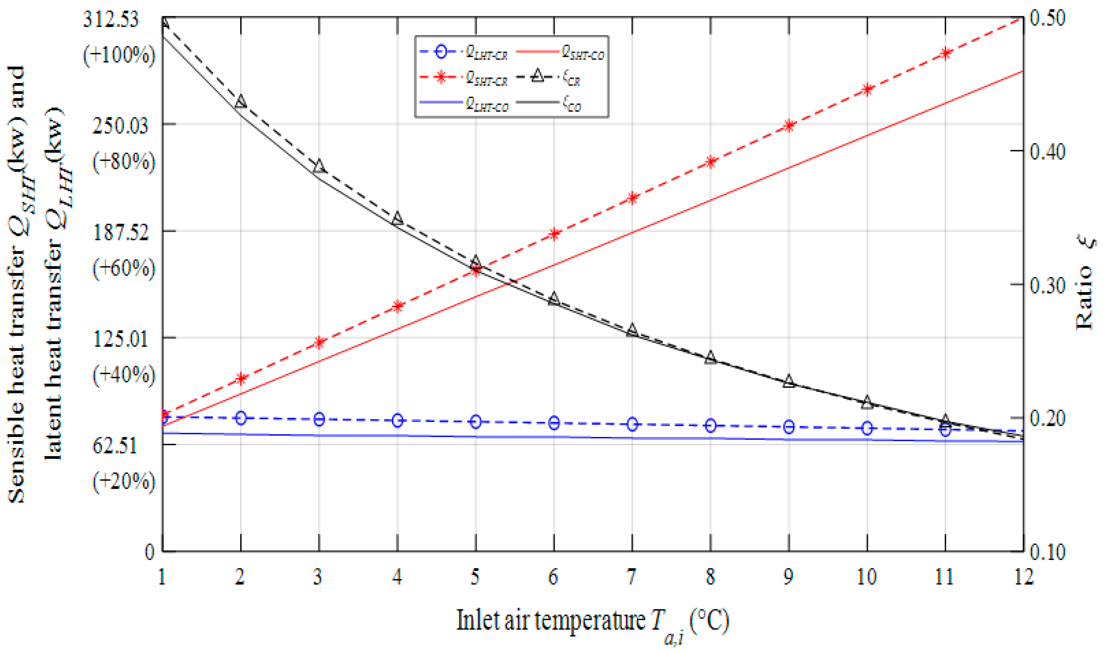
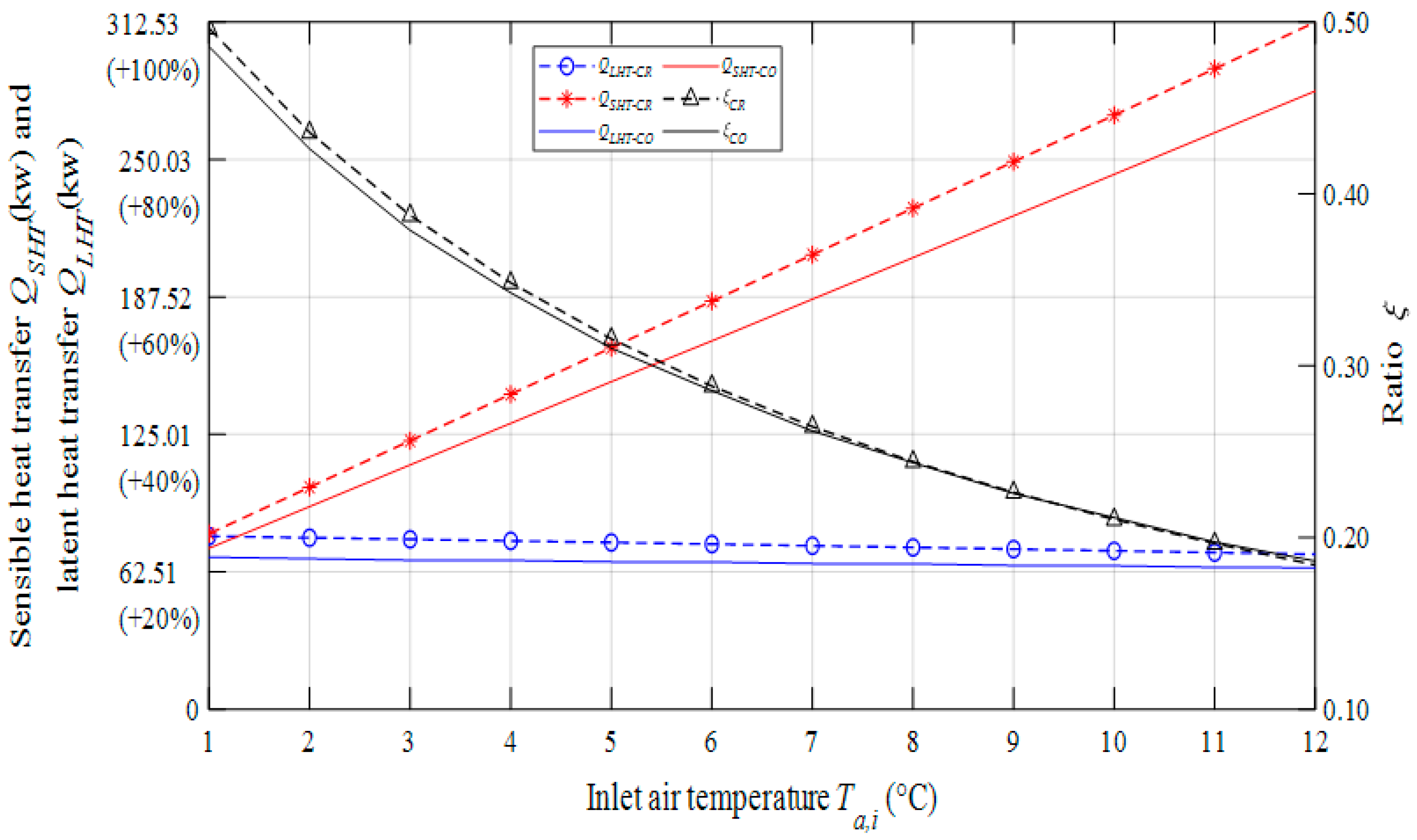
4.1.1. Impact of Inlet-Air Temperature
4.1.2. Impact of Inlet Air Humidity Ratio
4.1.3. Impact of Inlet Air Mass Flow Rate
4.2. Impact of Inlet Solution Parameters on Energy Transfer
4.2.1. Impact of Inlet Solution Temperature
4.2.2. Impact of Inlet Solution Mass Flow Rate
4.3. Impact of Material Parameters on Energy Transfer
4.3.1. Impact of Material Packing Space
4.3.2. Impact of Material Porosity
4.4. Investigation on Solution Dilution Characteristics
5. Conclusions
- A higher air inlet temperature can improve the energy transfer performance of the HST. The above studies illustrated that as the inlet air temperature increases, the SHT increases, while the LHT and ξ are decreased, especially for cross-flow. Besides, the air inlet temperature leads to a significant effect on the SHT and ξ, but has little influence on the LHT. Conversely, when the air humidity ratio increases, the LHT increases, while the SHT and ξ decrease. Moreover, the inlet air humidity ratio causes a pivotal contribution to the LHT and ξ but has little amelioration effect on the SHT. However, the air inlet mass flow rate leads to a functional increase in both SHT and LHT.
- The results have shown that inlet solution temperature greatly decreases the ability of SHT and LHT, and both SHT and LHT decrease when the solution inlet temperature increases. Further, as the inlet solution temperature increases, ξ increases first, then decreases gradually, but a transition point occurs in the solution at −5 °C. In addition, the solution mass flow rate has little influence on SHT and LHT.
- The variation of packing space is opposite to that of packing porosity. The SHT and the LHT are simultaneously reduced as the packing space increases. Meanwhile, the SHT and the LHT increase as the packing porosity increases. The influence of the packing spacing on the energy transfer is higher than that of the packing porosity. Additionally, counter-flow HST is less affected than cross-flow. The results have found that solution material packing space should be as small as possible under demand conditions.
- The mass transfer amount and direction vary with the air relative humidity. The transition air relative humidity of the mass transfer direction is 50% and 60%, respectively, for the counter-flow and cross-flow HST. It also can be concluded that moisture transfer occurs in different directions at different heights, the counter-flow transition surface is located at 0.78 m, while the cross-flow transition area lies between 0.26–1.56 m of the material packing height under 50% air relative humidity.
Author Contributions
Funding
Conflicts of Interest
Nomenclature
| A | Packing material heat and mass transfer surface, m2 |
| Cp | Specific heat of air, |
| Specific heat of water, | |
| D | Material packing space, (m) |
| Da | Diffusion coefficient of water vapor in the air, |
| ds | The equivalent diameter of the packing material, m |
| W | Width of the packing material, m |
| H | Enthalpy, |
| Hi | The sum of the enthalpy entering the control volume, |
| Ho | The sum of the enthalpy flowing out of the control volume, |
| Hs | Solution enthalpy, |
| Hi,j,s | Solution control volume enthalpy in row i and column j, |
| Ha | Air enthalpy, |
| Hi,j,a | Air control volume enthalpy in row i and column j, |
| hc | Heat transfer coefficient, |
| hm | Mass transfer coefficient, |
| Ka | The thermal conductivity of air, |
| K | The grid numbers in the y directions |
| Le | Lewis number |
| L | Length of the packing material, m |
| ma | Air mass flow rate, |
| mi,j,a | Air control volume mass flow rate in row i and column j, |
| Mai | Inlet air mass flow rate, |
| Mmt | Moisture transfer, |
| ms | Solution mass flow rate, |
| mi,j,s | Solution control volume mass flow rate in row i and column j, |
| Ms,i | Inlet solution mass flow rate, |
| N | The grid numbers in the x-directions |
| NTUm | Mass transfer unit number |
| Patm | Local standard atmospheric pressure, kPa |
| Pc | Critical pressure of water, kPa |
| Pf | Solution vapor partial pressure on the boundary layer of the solution, kPa |
| Pr | Prandtl number |
| r | Water latent heat of condensation at 0 °C, |
| Re | Reynolds number |
| Sc | Schmidt number |
| Sh | Sherwood number |
| QSHT | Sensible heat transfer, kW |
| QSHT–Cr | Cross-flow sensible heat transfer, kW |
| QSHT–Co | Counter-flow sensible heat transfer, kW |
| QLHT | Latent heat transfer, kW |
| QLHT–Cr | Cross-flow latent heat transfer, kW |
| QLHT–Co | Counter-flow latent heat transfer, kW |
| Ta | Air temperature, °C |
| Ta,i | Inlet air temperature, °C |
| Tc | The critical temperature of the water, K |
| Ts | solution temperature, °C |
| Ts,o–Cr | Counter-flow outlet solution temperature, °C |
| Ts,o–Co | Cross-flow outlet solution temperature, °C |
| Ts,i | Inlet solution temperature, °C |
| Ts,o | Outlet solution temperature, °C |
| B | Height of the packing material, m |
| ωs | Solution boundary layer humidity ratio, |
| ωs,Co | Counter-flow solution boundary layer humidity ratio, |
| ωs,Cr | Cross-flow solution boundary layer humidity ratio, |
| ωsi,j | Solution boundary layer control volume humidity ratio in row i and column j, |
| ωa | Air humidity ratio, |
| ωa,Co | Counter-flow air humidity ratio, |
| ωa,Cr | Cross-flow air humidity ratio, |
| ωai,j | Air control volume humidity ratio in row i and column j, |
| ωa,i | Inlet air humidity ratio, |
| ζi,j | solution control volume concentration in row i and column j, |
| ξCo | Counter-flow ratio of latent heat transfer to total heat transfer |
| ξCr | Cross-flow ratio of latent heat transfer to total heat transfer |
| Subscripts | |
| a | Air |
| Co | Counter-flow |
| Cr | Cross-flow |
| i | Inlet |
| o | Outlet |
| s | Solution |
| LHT | Latent heat transfer |
| SHT | Sensible heat transfer |
| mt | Moisture transfer |
| P | Constant pressure |
| Superscripts | |
| i | The ith control volume |
| j | The jth control volume |
| Greek symbols | |
| ω | Humidity ratio, |
| ζ | Solution concentration, |
| β | Packing material porosity |
| ρa | Air density, |
| ρs | Solution density, |
| ξ | The ratio of latent heat transfer to total heat transfer |
Appendix A
| Time | |||||||||
|---|---|---|---|---|---|---|---|---|---|
| 14:30 | 11.25 | 2.17 | 0.00627 | 6.91 | 6.58 | 3.48 | 3.5 | 0.00546 | 0.00535 |
| 14:35 | 11.20 | 2.32 | 0.00624 | 7.19 | 7.18 | 3.47 | 3.47 | 0.00570 | 0.00562 |
| 14:40 | 11.30 | 2.15 | 0.00626 | 7.44 | 7.58 | 3.49 | 3.49 | 0.00583 | 0.00578 |
| 14:45 | 11.15 | 2.24 | 0.00621 | 7.54 | 7.33 | 3.5 | 3.5 | 0.00579 | 0.00563 |
| 14:50 | 11.18 | 2.24 | 0.00624 | 7.24 | 7.03 | 3.51 | 3.49 | 0.00567 | 0.00579 |
| 14:55 | 11.20 | 2.16 | 0.00622 | 6.64 | 6.78 | 3.5 | 3.51 | 0.00547 | 0.00563 |
| 15:00 | 11.18 | 2.25 | 0.00619 | 6.51 | 6.27 | 3.49 | 3.51 | 0.00543 | 0.00528 |
| 15:05 | 11.18 | 2.13 | 0.00620 | 6.38 | 6.63 | 3.48 | 3.45 | 0.00539 | 0.00525 |
| 15:10 | 11.10 | 2.12 | 0.00616 | 6.26 | 6.33 | 3.49 | 3.53 | 0.00533 | 0.0052 |
| 15:15 | 11.20 | 2.15 | 0.00623 | 6.18 | 6.32 | 3.51 | 3.50 | 0.00532 | 0.0053 |
| 15:20 | 11.15 | 2.11 | 0.00617 | 6.15 | 6.43 | 3.5 | 3.48 | 0.00531 | 0.00515 |
| 15:25 | 11.25 | 2.23 | 0.00625 | 6.1 | 6.07 | 3.51 | 3.52 | 0.00529 | 0.00514 |
| 15:30 | 11.20 | 2.26 | 0.00621 | 6.08 | 6.19 | 3.53 | 3.52 | 0.00529 | 0.00528 |
| 15:35 | 11.18 | 2.23 | 0.00617 | 6.08 | 6.13 | 3.55 | 3.52 | 0.00529 | 0.00537 |
| 15:40 | 11.22 | 2.25 | 0.00620 | 6.1 | 6.32 | 3.56 | 3.59 | 0.00530 | 0.00537 |
| 15:45 | 11.15 | 2.25 | 0.00616 | 6.13 | 6.39 | 3.57 | 3.56 | 0.00530 | 0.00538 |
| 15:50 | 11.25 | 2.25 | 0.00619 | 6.2 | 6.17 | 3.56 | 3.54 | 0.00533 | 0.00534 |
| 15:55 | 11.20 | 2.12 | 0.00618 | 6.18 | 6.09 | 3.55 | 3.56 | 0.00532 | 0.00535 |
| 16:00 | 11.20 | 2.31 | 0.00618 | 6.13 | 6.03 | 3.54 | 3.57 | 0.00532 | 0.00542 |
| 16:05 | 11.05 | 2.23 | 0.00611 | 6.18 | 6.35 | 3.52 | 3.5 | 0.00533 | 0.00548 |
| 16:10 | 11.27 | 2.14 | 0.00616 | 6.23 | 6.29 | 3.53 | 3.54 | 0.00534 | 0.00537 |
| 16:15 | 11.10 | 2.33 | 0.00613 | 6.26 | 6.30 | 3.55 | 3.58 | 0.00535 | 0.00522 |
| 16:20 | 11.39 | 2.3 | 0.00617 | 6.41 | 6.45 | 3.56 | 3.54 | 0.00541 | 0.00528 |
| 16:25 | 11.49 | 2.3 | 0.00621 | 6.51 | 6.39 | 3.54 | 3.54 | 0.00545 | 0.00543 |
| 16:30 | 11.37 | 2.27 | 0.00614 | 6.56 | 6.26 | 3.52 | 3.51 | 0.00547 | 0.00534 |
| 16:35 | 11.39 | 2.28 | 0.00617 | 6.56 | 6.31 | 3.53 | 3.51 | 0.00547 | 0.00553 |
| 16:40 | 11.39 | 2.2 | 0.00616 | 6.54 | 6.31 | 3.52 | 3.5 | 0.00545 | 0.00561 |
| 16:45 | 11.25 | 2.28 | 0.00614 | 6.54 | 6.40 | 3.53 | 3.56 | 0.00545 | 0.00534 |
| 16:50 | 11.22 | 2.28 | 0.00612 | 6.54 | 6.50 | 3.52 | 3.53 | 0.00545 | 0.00558 |
| 16:55 | 11.15 | 2.28 | 0.00610 | 6.56 | 6.47 | 3.51 | 3.49 | 0.00547 | 0.00535 |
| 17:00 | 10.83 | 2.32 | 0.00610 | 6.48 | 6.16 | 3.52 | 3.52 | 0.00545 | 0.00534 |
| 17:05 | 11.01 | 2.26 | 0.00613 | 6.51 | 6.49 | 3.5 | 3.53 | 0.00546 | 0.00557 |
| 17:10 | 11.08 | 2.15 | 0.00618 | 8.17 | 7.98 | 3.5 | 3.53 | 0.00597 | 0.00607 |
| 17:15 | 11.42 | 2.27 | 0.00621 | 7.04 | 6.81 | 3.51 | 3.49 | 0.00556 | 0.00544 |
| 17:20 | 11.54 | 2.18 | 0.00623 | 7.07 | 6.91 | 3.49 | 3.46 | 0.00557 | 0.0054 |
| 17:25 | 11.32 | 2.29 | 0.00618 | 7.09 | 7.06 | 3.5 | 3.48 | 0.00559 | 0.00562 |
| 17:30 | 11.27 | 2.22 | 0.00618 | 7.12 | 6.97 | 3.52 | 3.51 | 0.00559 | 0.00557 |
| 17:35 | 11.22 | 2.2 | 0.00615 | 7.14 | 7.40 | 3.53 | 3.56 | 0.00561 | 0.00576 |
| 17:40 | 11.20 | 2.22 | 0.00622 | 7.32 | 7.37 | 3.53 | 3.52 | 0.00568 | 0.00563 |
| 17:45 | 11.18 | 2.28 | 0.00623 | 7.34 | 7.58 | 3.54 | 3.51 | 0.00568 | 0.00575 |
| 17:50 | 11.42 | 2.2 | 0.00623 | 7.57 | 7.91 | 3.55 | 3.55 | 0.00577 | 0.00562 |
| 17:55 | 11.42 | 2.17 | 0.00622 | 7.62 | 7.78 | 3.54 | 3.55 | 0.00580 | 0.00589 |
| 18:00 | 11.25 | 2.27 | 0.00617 | 7.65 | 7.76 | 3.56 | 3.56 | 0.00580 | 0.00577 |
| 18:05 | 11.22 | 2.23 | 0.00623 | 7.7 | 7.82 | 3.57 | 3.58 | 0.00581 | 0.00585 |
| 18:10 | 11.30 | 2.27 | 0.00625 | 7.75 | 7.61 | 3.55 | 3.58 | 0.00583 | 0.00571 |
| 18:15 | 11.35 | 2.23 | 0.00626 | 7.8 | 8.11 | 3.53 | 3.55 | 0.00585 | 0.00599 |
References
- Cui, H.; Li, N.; Peng, J.; Cheng, J.; Li, S. Study on the dynamic and thermal performances of a reversibly used cooling tower with upward spraying. Energy 2016, 96, 268–277. [Google Scholar] [CrossRef]
- Cui, H.; Li, N.; Peng, J.; Yin, R.; Li, J.; Wu, Z. Investigation on the thermal performance of a novel spray tower with upward spraying and downward gas flow. Appl. Energy 2018, 231, 12–21. [Google Scholar] [CrossRef]
- Cui, H.; Li, N.; Wang, X.; Peng, J.; Li, Y.; Wu, Z. Optimization of reversibly used cooling tower with downward spraying. Energy 2017, 127, 30–43. [Google Scholar] [CrossRef]
- Huang, S.; Ye, Y.; Han, X.; Zuo, W.; Zhang, X.; Jiang, L. Performance evaluation of heating tower heat pump systems over the world. Energy Convers. Manag. 2019, 186, 500–515. [Google Scholar] [CrossRef]
- Man, Y.; Han, Y.; Hu, Y.; Yang, S.; Yang, S. Synthetic natural gas as an alternative to coal for power generation in China: Life cycle analysis of haze pollution, greenhouse gas emission, and resource consumption. J. Clean. Prod. 2016, 172, 2503–2512. [Google Scholar] [CrossRef]
- Zhang, Q.; Wu, J.; Zhang, G.; Zhou, J.; Guo, Y.; Shen, W. Calculations on performance characteristics of counterflow Reversibly Used Cooling Towers. Int. J. Refrig. 2012, 35, 424–433. [Google Scholar] [CrossRef]
- Chen, X.; Sun, F.; Chen, Y.; Gao, M. New retrofit method to improve the thermal performance of natural draft wet cooling towers based on the reconstruction of the aerodynamic field. Int. J. Heat Mass Transf. 2019, 132, 671–680. [Google Scholar] [CrossRef]
- Jahangiri, A.; Borzooee, A.; Armoudli, E. Thermal performance improvement of the three aligned natural draft dry cooling towers by wind breaking walls and flue gas injection under different crosswind conditions. Int. J. Therm. Sci. 2019, 137, 288–298. [Google Scholar] [CrossRef]
- Tan, K.; Deng, S. A numerical analysis of heat and mass transfer inside a reversibly used water cooling tower. Build. Environ. 2003, 38, 91–97. [Google Scholar] [CrossRef]
- Tan, K.; Deng, S. A simulation study on a water chiller complete with a desuperheater and a reversibly used water cooling tower (RUWCT) for service hot water generation. Build. Environ. 2002, 37, 741–751. [Google Scholar] [CrossRef]
- Zhang, L.; Wei, H.; Zhang, X. Theoretical analysis of heat and mass transfer characteristics of a counter-flow packing tower and liquid desiccant dehumidification systems based on entransy theory. Energy 2017, 141, 661–672. [Google Scholar] [CrossRef]
- Zhang, L.; Liu, X.; Wei, H.; Zhang, X. Experimental study and analysis of heat and mass transfer ability of counter-flow packing tower and liquid desiccant dehumidification system. Energy Build. 2018, 158, 150–161. [Google Scholar] [CrossRef]
- Vo, T.Q.; Kim, B.H. Interface thermal resistance between liquid water and various metallic surfaces. Int. J. Precis. Eng. Manuf. 2015, 16, 1341–1346. [Google Scholar] [CrossRef]
- Guo, Y.; Surblys, D.; Kawagoe, Y.; Matsubara, H.; Liu, X.; Ohara, T. A molecular dynamics study on the effect of surfactant adsorption on heat transfer at a solid-liquid interface. Int. J. Heat Mass Transf. 2019, 135, 115–123. [Google Scholar] [CrossRef]
- Surblys, D.; Kawagoe, Y.; Shibahara, M.; Ohara, T. Molecular dynamics investigation of surface roughness scale effect on interfacial thermal conductance at solid-liquid interfaces. J. Chem. Phys. 2019, 150. [Google Scholar] [CrossRef]
- Tan, K.; Deng, S. A method for evaluating the heat and mass transfer characteristics in a reversibly used water cooling tower ( RUWCT ) for heat recovery. Int. J. Refrig. 2002, 25, 552–561. [Google Scholar]
- Huang, S.; Lv, Z.; Liang, C.; Zhang, X. Experimental study of heat and mass transfer characteristics in a cross-flow heating tower. Int. J. Refrig. 2017, 77, 116–127. [Google Scholar] [CrossRef]
- Wang, Z.; Zhang, X.; Li, Z. Investigation on the coupled heat and mass transfer process between extremely high humidity air and liquid desiccant in the counter-flow adiabatic packed tower. Int. J. Heat Mass Transf. 2017, 110, 898–907. [Google Scholar] [CrossRef]
- Song, X.; Zhang, L.; Zhang, X. NTUm-based optimization of heat or heat pump driven liquid desiccant dehumidification systems regenerated by fresh air or return air. Energy 2018, 158, 269–280. [Google Scholar] [CrossRef]
- Wen, X.; Liang, C.; Zhang, X. Experimental study on heat transfer coefficient between air and liquid in the cross-flow heat-source tower. Build. Environ. 2012, 57, 205–213. [Google Scholar] [CrossRef]
- Huang, Y.; Ge, F.; Wang, C.; Hu, Z. Numerical study on the heat and mass transfer characteristics of the open-type cross-flow heat-source tower at low ambient temperature. Int. J. Heat Mass Transf. 2019, 145, 118756. [Google Scholar] [CrossRef]
- Liang, C.; Wen, X.; Liu, C.; Zhang, X. Performance analysis and experimental study of heat-source tower solution regeneration. Energy Convers. Manag. 2014, 85, 596–602. [Google Scholar] [CrossRef]
- Li, W.; Wang, H.; Wang, J.; Duan, C.; Zhao, Y. Effect mechanism of exit-water temperature distribution characteristics on the anti-freezing of natural draft dry cooling tower. Appl. Therm. Eng. 2019, 161. [Google Scholar] [CrossRef]
- Liu, X.H.; Jiang, Y.; Qu, K.Y. Heat and mass transfer model of cross flow liquid desiccant air dehumidifier/regenerator. Energy Convers. Manag. 2007, 48, 546–554. [Google Scholar] [CrossRef]
- Qi, X.; Liu, Z.; Li, D. Performance characteristics of a shower cooling tower. Energy Convers. Manag. 2007, 48, 193–203. [Google Scholar] [CrossRef]
- Zheng, S. Experimental Study of Heat Transfer Performance of Mechanical Draft Salt-water Cooling Tower.pdf; Zhejiang University: Hangzhou, China, 2012. [Google Scholar]
- Conde, M.R. Properties of aqueous solutions of lithium and calcium chlorides: Formulations for use in air conditioning equipment design. Int. J. Therm. Sci. 2004, 43, 367–382. [Google Scholar] [CrossRef]
- Al-Farayedhi, A.A.; Gandhidasan, P.; Al-Mutairi, M.A. Evaluation of heat and mass transfer coefficients in a gauze-type structured packing air dehumidifier operating with liquid desiccant. Int. J. Refrig. 2002, 25, 330–339. [Google Scholar] [CrossRef]
- Lu, J.; Li, W.; Li, Y.; Zeng, L.; Yang, L.; Xie, L.; Li, Q.; Wang, M. Numerical study on heat and mass transfer characteristics of the counter-flow heat-source tower (CFHST). Energy Build. 2017, 145, 318–330. [Google Scholar] [CrossRef]




















| Coefficient | λ1 | λ2 | λ3 | λ4 | λ5 | λ6 |
|---|---|---|---|---|---|---|
| Value | 0.855 | −1.965 | −2.265 | 0.8 | −955.690 | 3011.974 |
| a | b | c | d | e | f |
|---|---|---|---|---|---|
| 58.5225 | −105.6343 | 47.7948 | 1.63799 | −1.69002 | 1.05124 |
| ξ1 | ξ2 | ξ3 | ξ4 | ξ5 | ξ6 |
| 88.7891 | −120.1958 | −16.9264 | 52.4654 | 0.10826 | 0.46988 |
| Parameters | Position | Instruments | Type | Accuracy | Range |
|---|---|---|---|---|---|
| Air | Flow rate | Rotary Anemometer | Testo | ±0.03 m/s | 0–20 m/s |
| Inlet Ta,i and ωa,i | Temperature and Humidity Recorder | HIOKI 3641-20 | T: ±0.5 °C | T: −20.0 °C–70.0 °C | |
| ω: ±5% | ω: 0.0–100.0% | ||||
| Outlet Ta,o and ωa,o | Temperature and Humidity Recorder | HIOKI 3641-20 | T: ±0.5 °C | T: −20.0 °C–70.0 °C | |
| ω: ±5% | ω: 0.0–100.0% | ||||
| Solution | Flow rate | Ultrasonic Flow meter | DCT 1288 | ±0.5% | −12–12 m/s |
| Inlet Ts,i | Thermometer | Pt 100 | ±1% | −200 °C–650 °C | |
| Outlet Ts,o | Thermometer | Pt 100 | ±1% | −200 °C–650 °C | |
| Inlet ρs | Densitometer | - | ±0.01 | 0.6–2.0 | |
| Outlet ρs | Densitometer | - | ±0.01 | 0.6–2.0 | |
| Data | Data automatic recorder | Agilent 34970A | - | - |
| Simulation Condition | D(m) | β | |||||
|---|---|---|---|---|---|---|---|
| Inlet air temperature | 0–12 | −3 | 40 | 37.7 | 0.0045 | 0.03 | 0.98 |
| Inlet solution temperature | 6 | −10–+3 | 40 | 37.7 | 0.0045 | 0.03 | 0.98 |
| Inlet air mass flow rate | 6 | −3 | 10–80 | 37.7 | 0.0045 | 0.03 | 0.98 |
| Inlet solution mass flow rate | 6 | −3 | 40 | 10–80 | 0.0045 | 0.03 | 0.98 |
| Air inlet humidity ratio | 6 | −3 | 40 | 37.7 | 0.0026–0.0054 | 0.03 | 0.98 |
| Material packing space | 6 | −3 | 40 | 37.7 | 0.0045 | 0.018–0.042 | 0.98 |
| Material porosity | 6 | −3 | 40 | 37.7 | 0.0045 | 0.03 | 0.54–0.98 |
© 2020 by the authors. Licensee MDPI, Basel, Switzerland. This article is an open access article distributed under the terms and conditions of the Creative Commons Attribution (CC BY) license (http://creativecommons.org/licenses/by/4.0/).
Share and Cite
Lv, Y.; Lu, J.; Li, Y.; Xie, L.; Yang, L.; Yuan, L. Comparative Study of the Heat and Mass Transfer Characteristics between Counter-Flow and Cross-Flow Heat Source Towers. Energies 2020, 13, 2674. https://doi.org/10.3390/en13112674
Lv Y, Lu J, Li Y, Xie L, Yang L, Yuan L. Comparative Study of the Heat and Mass Transfer Characteristics between Counter-Flow and Cross-Flow Heat Source Towers. Energies. 2020; 13(11):2674. https://doi.org/10.3390/en13112674
Chicago/Turabian StyleLv, Yifei, Jun Lu, Yongcai Li, Ling Xie, Lulu Yang, and Linlin Yuan. 2020. "Comparative Study of the Heat and Mass Transfer Characteristics between Counter-Flow and Cross-Flow Heat Source Towers" Energies 13, no. 11: 2674. https://doi.org/10.3390/en13112674
APA StyleLv, Y., Lu, J., Li, Y., Xie, L., Yang, L., & Yuan, L. (2020). Comparative Study of the Heat and Mass Transfer Characteristics between Counter-Flow and Cross-Flow Heat Source Towers. Energies, 13(11), 2674. https://doi.org/10.3390/en13112674
