Multi-Scale and Multi-Dimensional Thermal Modeling of Lithium-Ion Batteries †
Abstract
1. Introduction
2. Numerical Model
2.1. Macroscale LIB Model
- (1)
- The concentrated binary electrolyte is assumed
- (2)
- Side reactions that are significant only at relatively high temperatures are ignored
- (3)
- Lithium intercalation/deintercalation kinetics are assumed to be first order in the reactants and described by the standard Butler-Volmer equation
- (4)
- The active materials of the electrode are made up of spherical particles with a uniform size
- (5)
- The volume change during cell operation is insignificant, resulting in constant electrode porosities
- (6)
2.2. Microscale Model for Electrode Particles
2.3. Multi-Scale Modeling and Numerical Implementation
2.4. Initial and Boundary Conditions
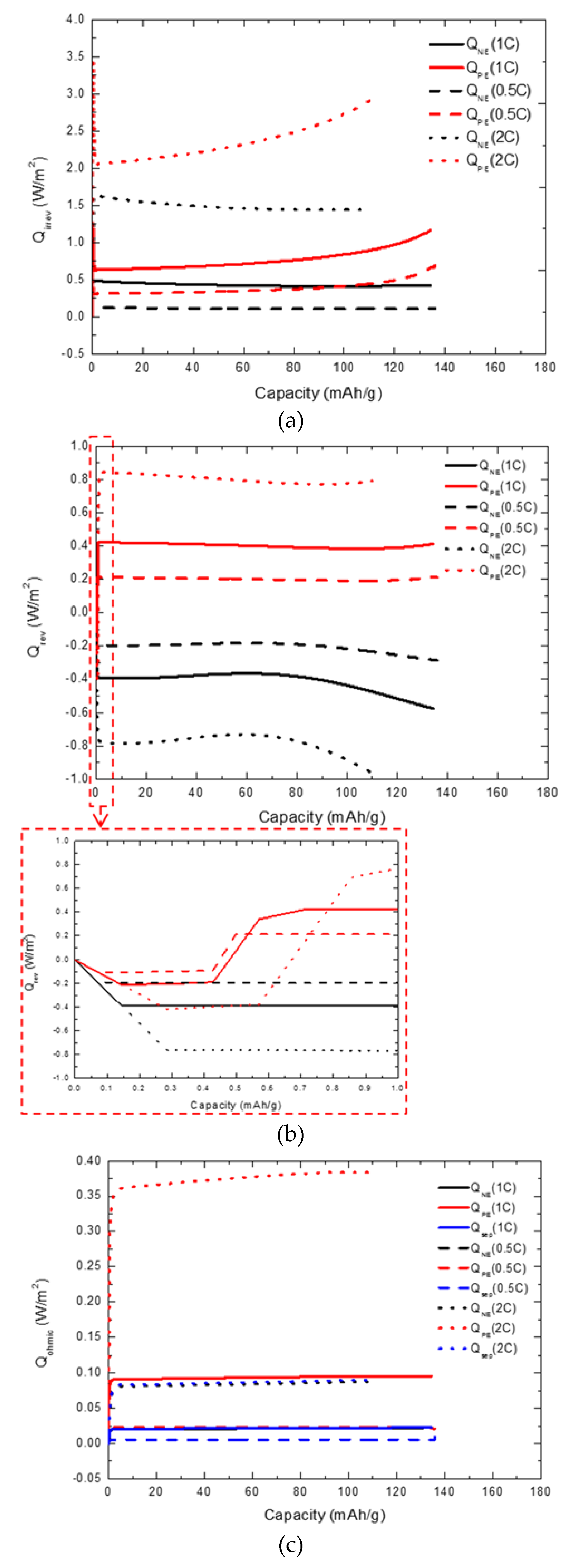
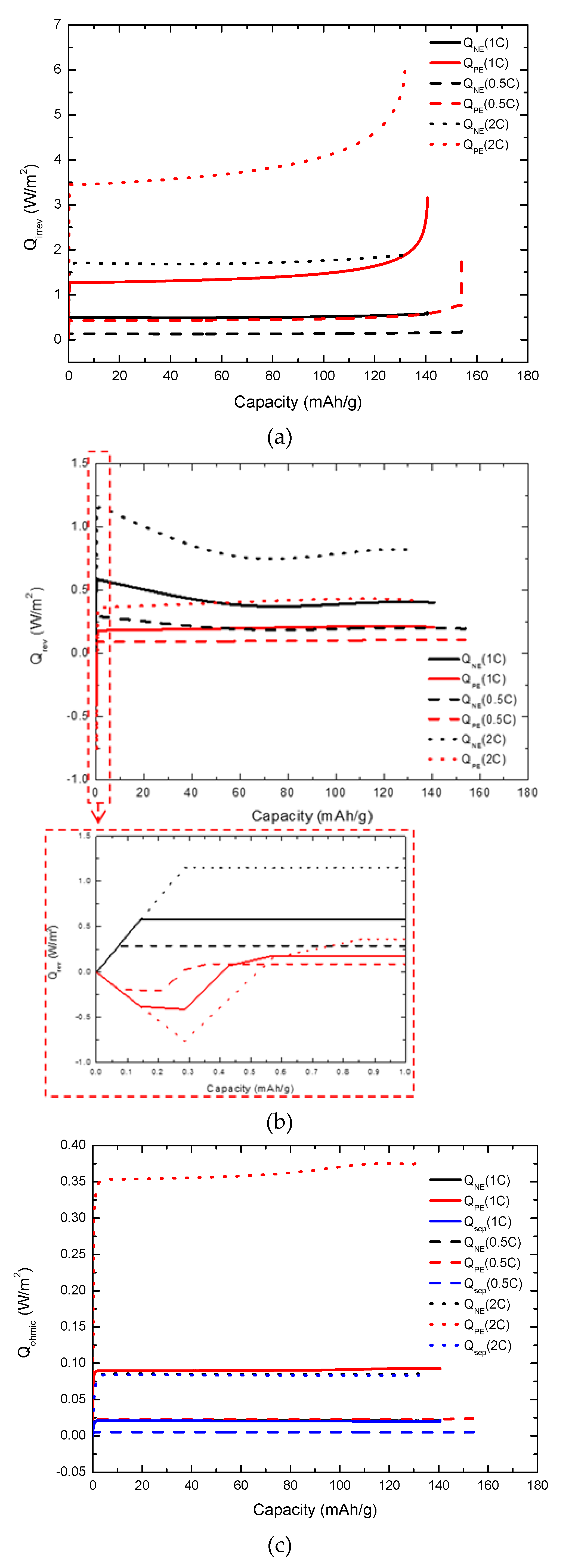
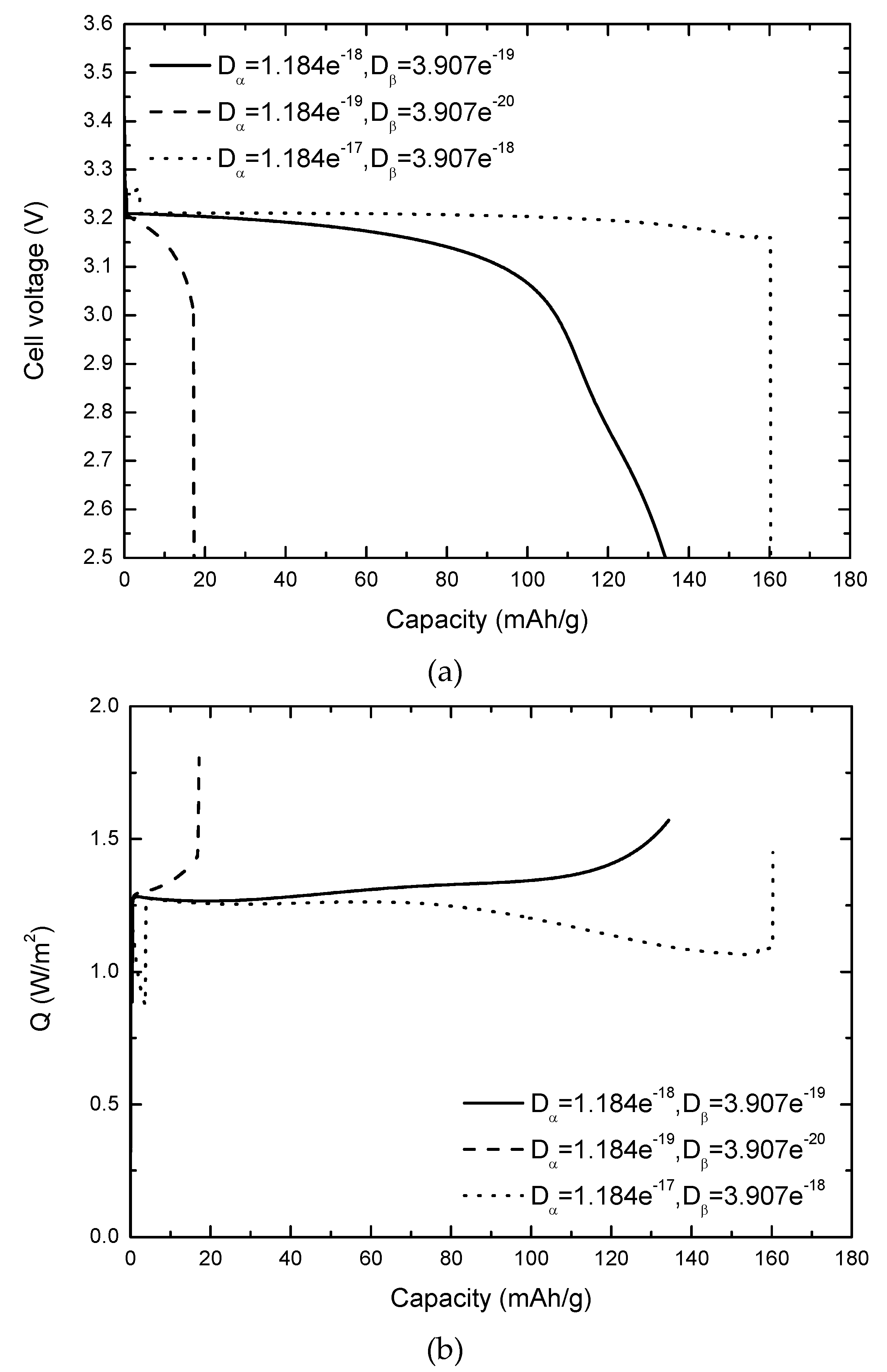
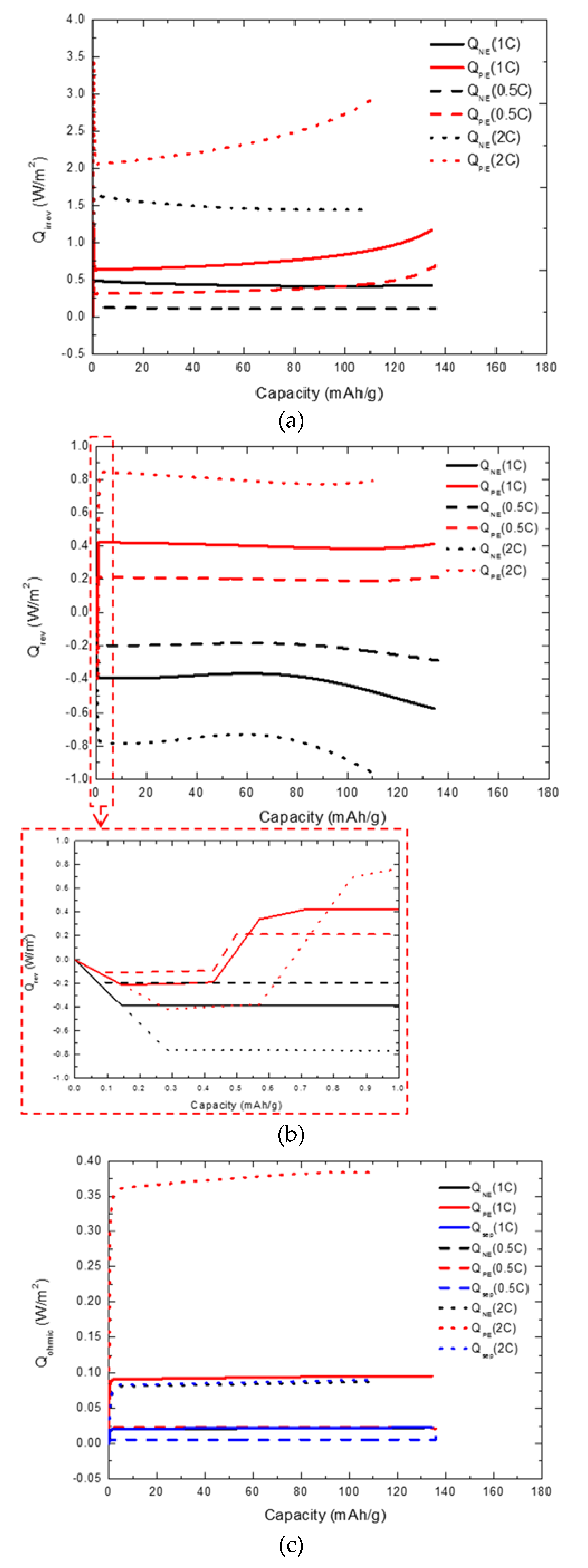
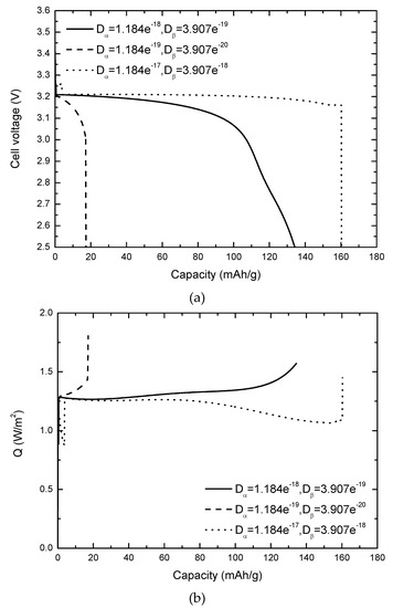
3. Results and Discussion
4. Conclusions
Author Contributions
Funding
Acknowledgments
Conflicts of Interest
Nomenclature
| as | Ratio of the active surface area per unit electrode volume, m2∙m–3 |
| C | Molar concentration, mol∙m–3 |
| cp | Specific heat, J∙mol–1∙K–1 |
| D | Species diffusivity, m2∙s–1 |
| Ea | Reaction activation energy, J∙mol–1 |
| f | Average molar activity coefficient |
| F | Faraday’s constant, 96,487 C∙mol–3 |
| h | Heat transfer coefficient, W∙m–2∙K–1 |
| i | Current density, A∙cm–2 |
| i0 | Exchange current density, A∙cm–2 |
| j | Transfer current density, A∙cm–3 |
| jn | Superficial current density, A∙cm–2 |
| k | Reaction rate constant, A∙m2.5∙mol−1.5 |
| p | Solid phase lithium concentration in the alpha phase, mol∙m–3 |
| q | Solid phase lithium concentration in the beta phase, mol∙m–3 |
| Qheat | Source term in the energy equiation, W∙m–3 |
| Rp | Radius of an electrode particle, μm |
| R | Universal gas constant, 8.314 J∙mol−1∙K−1 |
| r | Radius variable of an electrode particle, μm |
| S | Source term in the transport equation |
| s | Interface position, μm |
| t | Time, s |
| t+ | Transfer number |
| T | Temperature, K |
| U | Open circuit potential of the electrode, V |
| u | Proportional position in the alpha phase |
| v | Proportional position in the beta phase |
| Greek symbols | |
| α | Transfer coefficient |
| ε | Volume fraction |
| η | Surface overpotential, V |
| θ | Dimensionless lithium content |
| κ | Proton conductivity, S∙m–1 |
| ϕ | Phase potential, V |
| ρ | Density, kg∙m–3 |
| σ | Electronic conductivity, S∙m–1 |
| ω | Thermal conductivity, W∙m–1∙K–1 |
| σ | Electronic conductivity, S∙m–1 |
| Superscripts | |
| eq | Equilibrium |
| eff | Effective |
| Subscripts | |
| a | Anodic |
| amb | Ambient |
| avg | Average |
| α | Alpha phase |
| Al | Aluminum |
| β | Beta phase |
| c | Cathodic |
| cc | Current collector |
| Cu | Copper |
| D | Diffusion |
| e | Electrolyte phase |
| i | Component |
| int | Initial |
| max | Maximum |
| NE | Negative electrode |
| PE | Positive electrode |
| ref | Reference |
| s | Solid phase |
| sep | separator |
| T | Temperature |
| 0 | Initial conditions or standard conditions, i.e., 298.15 K and 101.3 kPa (1 atm) |
| Abbreviations | |
| AMG | Algebraic multi-grid |
| LFP | Lithium iron phosphate |
| LIBs | Lithium ion batteries |
| SIMPLE | Semi-implicit pressure linked equation |
| SOC | State of charge |
Appendix




References
- Padhi, A.K.; Nanjundaswamy, K.S.; Goodenough, J.B. Phospho-olivines as positive-electrode materials for rechargeable lithium batteries. J. Electrochem. Soc. 1997, 144, 1188–1194. [Google Scholar]
- Ravet, N.; Chouinard, Y.; Magnan, J.F.; Besner, S.; Gauthier, M.; Armand, M. Electroactivity of natural and synthetic triphylite. J. Power Sources 2001, 97–98, 503–507. [Google Scholar] [CrossRef]
- Dong, Y.Z.; Zhao, Y.M.; Chen, Y.H.; He, Z.F.; Kuang, Q. Optimized carbon-coated LiFePO4 cathode material for lithium-ion batteries. Mater. Chem. Phys. 2009, 115, 245–250. [Google Scholar]
- Oh, S.W.; Myung, S.T.; Oh, S.M.; Oh, K.H.; Amine, K.; Scrosati, B.; Sun, Y.K. Double carbon coating of LiFePO4 as high rate electrode for rechargeable lithium batteries. Adv. Mater. 2010, 22, 4842–4845. [Google Scholar] [CrossRef]
- Li, Y.D.; Zhao, S.X.; Nan, C.W.; Li, B.H. Electrochemical performance of SiO2-coated LiFePO4 cathode materials for lithium ion battery. J. Alloys Compd. 2011, 509, 957–960. [Google Scholar] [CrossRef]
- Wang, J.; Sun, X. Understanding and recent development of carbon coating on LiFePO4 cathode materials for lithium-ion batteries. Energy Environ. Sci. 2012, 5, 5163–5185. [Google Scholar] [CrossRef]
- Hu, L.H.; Wu, F.Y.; Lin, C.T.; Khlobystov, A.N.; Li, L.J. Graphene-modified LiFePO4 cathode for lithium ion battery beyond theoretical capacity. Nat. Commun. 2013, 4, 1–7. [Google Scholar]
- Yu, L.; Cai, D.; Wang, H.; Titirici, M.M. Synthesis of microspherical LiFePO4-carbon composites for lithium-ion batteries. J. Nanomater. 2013, 3, 443–452. [Google Scholar]
- Srinivasan, V.; Newman, J. Discharge model for the lithium iron-phosphate electrode. J. Electrochem. Soc. 2004, 151, A1517–A1529. [Google Scholar] [CrossRef]
- Kasavajjula, U.S.; Wang, C.; Arce, P.E. Discharge model for LiFePO4 accounting for the solid solution range. J. Electrochem. Soc. 2008, 155, A866–A874. [Google Scholar] [CrossRef]
- Srinivasan, V.; Newman, J. Existence of path-dependence in the LiFePO4 electrode. J. Electrochem. Soc. 2006, 9, A110–A114. [Google Scholar]
- Chen, G.; Song, X.; Richardson, T.J. Electron microscopy study of the LiFePO4 to FePO4 phase transition. J. Electrochem. Soc. 2006, 9, A295–A298. [Google Scholar]
- Khandelwal, A.; Hariharan, K.S.; Kumar, V.S.; Gambhire, P.; Kolake, S.M.; Oh, D.; Doo, S. Generalized moving boundary model for charge-discharge of LiFePO4/C cells. J. Power Sources 2014, 248, 101–114. [Google Scholar]
- Khandelwal, A.; Hariharan, K.S.; Gambhire, P.; Kolake, S.M.; Yeo, T.; Doo, S. Thermally coupled moving boundary model for charge-discharge of LiFePO4/C cells. J. Power Sources 2015, 279, 180–196. [Google Scholar] [CrossRef]
- Singh, G.K.; Ceder, G.; Bazant, M.Z. Intercalation dynamics in rechargeable battery materials: General theory and phase-transformation waves in LiFePO4. Electrochim. Acta 2008, 53, 7599–7613. [Google Scholar] [CrossRef]
- Han, B.C.; van der Ven, A.; Morgan, D.; Ceder, G. Electrochemical modeling of intercalation processes with phase field models. Electrochim. Acta 2004, 49, 4691–4699. [Google Scholar]
- Burch, D.; Bazant, M.Z. Size-dependent spinodal and miscibility gaps for intercalation in nanoparticles. Nano Lett. 2009, 9, 3795–3800. [Google Scholar] [PubMed]
- Thomas-Alyea, K.E. Modeling resistive-reactant and phase-change materials in battery electrodes. ECS Trans. 2008, 16, 155–165. [Google Scholar]
- Safari, M.; Delacourt, C. Mathematical modeling of lithium iron phosphate electrode: Galvanostatic charge/discharge and path dependence. J. Electrochem. Soc. 2011, 158, A63–A73. [Google Scholar] [CrossRef]
- Safari, M.; Delacourt, C. Modeling of a commercial graphite/LiFePO4 cell. J. Electrochem. Soc. 2011, 158, A562–A571. [Google Scholar] [CrossRef]
- Andersson, A.S.; Thomas, J.O. The source of first-cycle capacity loss in LiFePO4. J. Power Sources 2001, 97–98, 498–502. [Google Scholar] [CrossRef]
- Laffont, L.; Delacourt, C.; Gibot, P.; Wu, M.Y.; Kooyman, P.; Masquelier, C.; Tarascon, J.M. Study of the LiFePO4/FePO4 two-phase system by high resolution electron energy loss spectroscopy. Chem. Mater. 2006, 18, 5520–5529. [Google Scholar] [CrossRef]
- Meetong, N.; Huang, H.Y.S.; Carter, W.C.; Chiang, Y.M. Size-dependent lithium miscibility gap in nanoscale Li1−xFePO4, Electrochem. Solid State Lett. 2007, 10, A134–A138. [Google Scholar] [CrossRef]
- Delmas, C.; Maccario, M.; Croguennec, L.; Lecras, F.; Weill, F. Lithium deintercalation in LiFePO4 nanoparticles via a domino-cascade model. Nat. Mater. 2008, 7, 665–671. [Google Scholar] [CrossRef]
- Ramana, C.V.; Mauger, A.; Gendron, F.; Julien, C.M.; Zaghib, K. Study of the Li-insertion/extraction process in LiFePO4/FePO4. J. Power Sources 2009, 187, 555–564. [Google Scholar] [CrossRef]
- Liu, Q.; He, H.; Li, Z.F.; Liu, Y.; Ren, Y.; Lu, W.; Lu, J.; Stach, E.A.; Xie, J. Rate dependent, Li-ion insertion/deinsertion behavior of LiFePO4 cathodes in commercial 18650 LiFePO4 cells. ACS Appl. Mater. Interfaces 2014, 6, 3282–3289. [Google Scholar] [CrossRef] [PubMed]
- Xu, M.; Zhang, Z.; Wang, X.; Jia, L.; Yang, L. A pseudo three-dimensional electrochemical-thermal model of a prismatic LiFePO4 battery during discharge process. Energy 2015, 80, 303–317. [Google Scholar] [CrossRef]
- Panchal, S.; Dincer, I.; Agelin-Chaab, M.; Fraser, R.; Fowler, M. Transient electrochemical heat transfer modeling and experimental validation of a large sized LiFePO4/graphite battery. Int. J. Heat Mass Transf. 2017, 109, 1239–1251. [Google Scholar] [CrossRef]
- Panchal, S.; Mathew, M.; Fraser, R.; Fowler, M. Electrochemical thermal modeling and experimental measurements of 18650 cylindrical lithium-ion battery during discharge cycle for an EV. Appl. Therm. Eng. 2018, 135, 123–132. [Google Scholar] [CrossRef]
- Lin, C.; Xu, S.; Li, Z.; Li, B.; Chang, G.; Liu, J. Thermal analysis of large-capacity LiFePO4 power batteries for electric vehicles. J. Power Sources 2015, 294, 633–642. [Google Scholar] [CrossRef]
- Jiang, J.; Ruan, H.; Sun, B.; Zhang, W.; Gao, W.; Wang, L.; Zhang, L. A reduced low-temperature electro-thermal coupled model for lithium-ion batteries. Appl. Energy 2016, 177, 804–816. [Google Scholar] [CrossRef]
- Illingworth, T.C.; Golosnoy, I.O. Numerical solutions of diffusion-controlled moving boundary problems which conserve solute. J. Comput. Phys. 2005, 209, 207–225. [Google Scholar] [CrossRef]
- Ju, G.G.H. Three-dimensional transient modeling of a non-aqueous electrolyte lithium-air battery. Electrochim. Acta 2016, 201, 395–409. [Google Scholar]
- Dreyer, W.; Jamnik, J.; Guhlke, C.; Huth, R.; Moskon, J.; Gaberscek, M. The thermodynamic origin of hysteresis in insertion batteries. Nat. Mater. 2010, 9, 448–453. [Google Scholar] [CrossRef] [PubMed]
- Malik, R.; Zhou, F.; Ceder, G. Kinetics of non-equilibrium lithium incorporation in LiFePO4. Nat. Mater. 2011, 10, 587–590. [Google Scholar] [CrossRef] [PubMed]
- Zhang, X.; Hulzen, M.V.; Singh, D.P.; Brownrigg, A.; Wright, J.P.; Dijk, N.H.V.; Wagemaker, M. Direct view on the phase evolution in individual LiFePO4 nanoparticles during Li-ion battery cycling. Nat. Commun. 2015, 6, 8333. [Google Scholar] [CrossRef] [PubMed]
- Nakamura, A.; Furutsuki, S.; Nishimura, S.; Tohei, T.; Sato, Y.; Shibata, N.; Yamada, A.; Ikuhara, Y. Phase boundary structure of LixFePO4 cathode material revealed by atomic resolution scanning transmission electron microscopy. Chem. Mater. 2014, 26, 6178–6184. [Google Scholar] [CrossRef]
- Jiang, F.; Peng, P.; Sun, Y. Thermal analyses of LiFePO4/graphite battery discharge processes. J. Power Sources 2013, 243, 181–194. [Google Scholar] [CrossRef]
- Wang, C.; Kasavajjula, S.U.; Arce, P.E. A discharge model for phase transformation electrodes: Formulation, experimental validation and analysis. J. Phys. Chem. C 2007, 111, 16656–16663. [Google Scholar] [CrossRef]
- Thorat, I.V.; Joshi, T.; Zaghib, K.; Harb, J.N.; Wheeler, D.R. Understanding rate-limiting mechanisms in LiFePO4 cathodes for Li-ion batteries. J. Electrochem. Soc. 2011, 158, A1185–A1193. [Google Scholar] [CrossRef]

















| Description | Value | Ref. |
|---|---|---|
| Thickness of the separator, δsep | 20 μm | [38] |
| Thickness of the negative electrode, δNE | 59 μm | [38] |
| Thickness of the positive electrode, δPE | 62 μm | [9] |
| Thickness of the Cu current collector in the negative side, δCu | 9 μm | [38] |
| Thickness of the Al current collector in the positive side, δAl | 16 μm | [38] |
| Spherical particle size for negative electrode (RNE,p) | 14.75 μm | [38] |
| Spherical particle size for positive electrode (RPE,p) | 52 nm | [39] |
| Initial concentration of the solid phase lithium concentration in the negative electrode for discharge, C0s,NE,discharge | 25,096 mol∙m−3 | [14] |
| Initial concentration of the solid phase lithium concentration in the positive electrode for discharge, C0s,PE,discharge | 230 mol∙m−3 | [14] |
| Initial concentration of the electrolyte phase lithium concentration, C0e | 1200 mol∙m−3 | [14] |
| Initial concentration of the solid phase lithium concentration in the negative electrode for charge, C0s,NE,charge | 12,548 mol∙m−3 | Assumed |
| Initial concentration of the solid phase lithium concentration in the positive electrode for charge, C0s,PE,charge | 19,902.5 mol∙m−3 | Assumed |
| Initial temperature (T0) | 298.15 K | |
| Operating pressure (P) | 1 atm | |
| Volume fraction for the negative electrode, εe,NE, εs,NE, εf,NE, εNE | 0.017, 0.62, 0.013, 0.35 | [40] |
| Volume fraction for the positive electrode, εe,PE, εs,PE, εf,PE, εPE | 0.065, 0.56, 0.025, 0.35 | [40] |
| Volume fraction for the separator, εe,sep, εsep | 0.5, 0.5 | [40] |
| Description | Value | Ref. |
|---|---|---|
| Diffusion coefficient of the solid phase in the negative electrode, Ds | 9.0 × 10−14 m2∙s−1 | [13] |
| Diffusion coefficient of the α solid phase in the positive electrode, Dα | 1.184 × 10−18 m2∙s−1 | [13] |
| Diffusion coefficient of the β solid phase in the positive electrode, Dβ | 3.907 × 10−19 m2∙s−1 | [13] |
| Conductivity of the solid active materials in the negative electrode, σs,NE | 2 S∙m−1 | [27] |
| Conductivity of the solid active materials in the positive electrode, σs,PE | 0.01 S∙m−1 | [27] |
| Conductivity of the Cu current collector for negative, σs,Cu | 6.33 × 107 S∙m−1 | [27] |
| Conductivity of the Al current collector for positive, σs,Al | 3.83 × 107 S∙m−1 | [27] |
| Thermal conductivity of the separator, ksep | 0.334 W∙m−1∙K−1 | [27] |
| Thermal conductivity of the negative electrode, kNE | 1.04 W∙m−1∙K−1 | [27] |
| Thermal conductivity of the positive electrode, kPE | 1.48 W∙m−1∙K−1 | [27] |
| Thermal conductivity of the Cu current collector for negative, kCu | 400 W∙m−1∙K−1 | [27] |
| Thermal conductivity of the Al current collector for positive, kAl | 160 W∙m−1∙K−1 | [27] |
| Density of the separator, ρsep | 1210 kg∙m−3 | [27] |
| Density of the negative electrode, ρNE | 2660 kg∙m−3 | [27] |
| Density of the positive electrode, ρPE | 1500 kg∙m−3 | [27] |
| Density of the Cu current collector for negative, ρCu | 8900 kg∙m−3 | [27] |
| Density of the Al current collector for positive, ρAl | 2700 kg∙m−3 | [27] |
| Heat capacity of the separator, cp,sep | 1518 J∙kg−1∙K−1 | [27] |
| Heat capacity of the negative electrode, cp,NE | 1437.4 J∙kg−1∙K−1 | [27] |
| Heat capacity of the positive electrode, cp,PE | 1260.2 J∙kg−1∙K−1 | [27] |
| Heat capacity of the Cu current collector for negative, cp,Cu | 385 J∙kg−1∙K−1 | [27] |
| Heat capacity of the Al current collector for positive, cp,Al | 903 J∙kg−1∙K−1 | [27] |
| Activation energy for exchange current density for negative | 4000 J∙mol−1 | [40] |
| Activation energy for exchange current density for positive | 20,000 J∙mol−1 | [40] |
| Activation energy for solid phase Li diffusion coefficient | 4000 J·mol−1 | [40] |
| Activation energy for ionic conductivity of electrolyte | 4000 J·mol−1 | [40] |
| Anodic and cathodic transfer coefficients for an electrode reaction, αa, αc | 0.5, 0.5 | [21] |
| Transfer number, t+ | 0.363 | [20] |
| Faraday constant, F | 96,485 C∙mol−1 | |
| Universal gas constant, R | 8.3143 kJ∙kmol−1∙K−1 | |
| Maximum solid phase concentration for negative, Cs,max,NE | 31,370 mol∙m−3 | [20] |
| Maximum solid phase concentration for positive, Cs,max,PE | 20,950 mol∙m−3 | [20] |
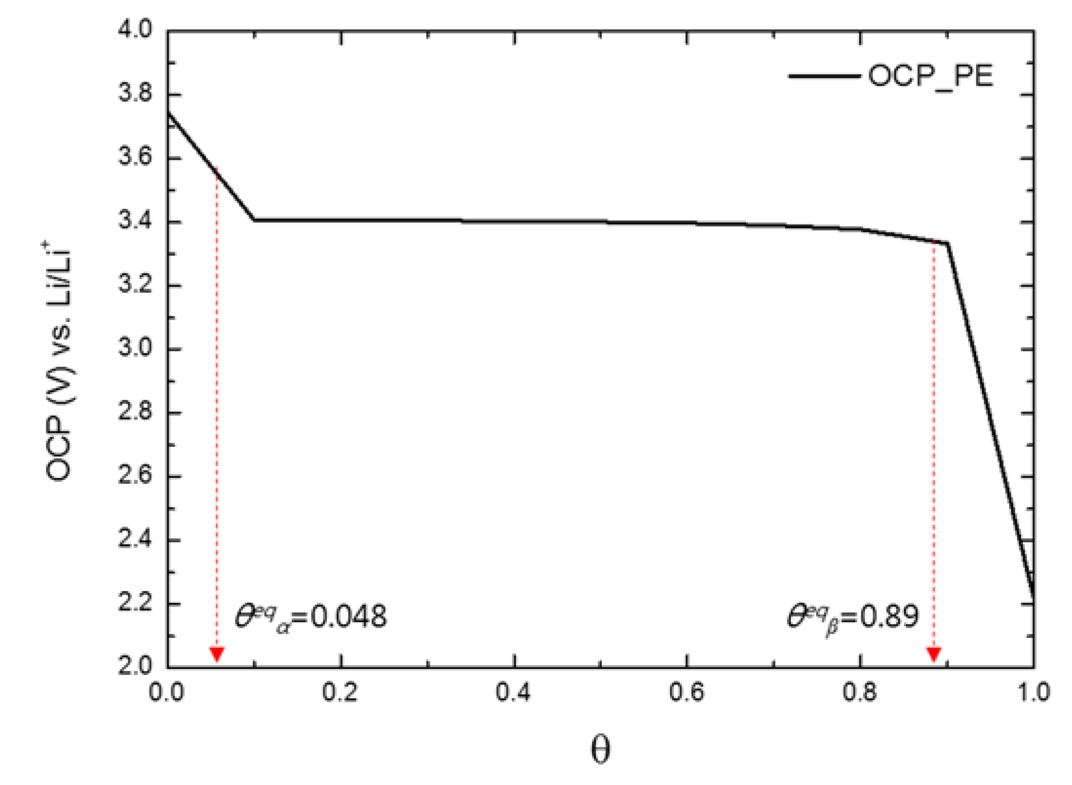
| Equilibrium concentration for the α phase, Ceqα | 0.048Cs,max,NE | [19] |
| Equilibrium concentration for the β phase, Ceqβ | 0.89Cs,max,PE | [10] |
© 2019 by the authors. Licensee MDPI, Basel, Switzerland. This article is an open access article distributed under the terms and conditions of the Creative Commons Attribution (CC BY) license (http://creativecommons.org/licenses/by/4.0/).
Share and Cite
Gwak, G.; Ju, H. Multi-Scale and Multi-Dimensional Thermal Modeling of Lithium-Ion Batteries. Energies 2019, 12, 374. https://doi.org/10.3390/en12030374
Gwak G, Ju H. Multi-Scale and Multi-Dimensional Thermal Modeling of Lithium-Ion Batteries. Energies. 2019; 12(3):374. https://doi.org/10.3390/en12030374
Chicago/Turabian StyleGwak, Geonhui, and Hyunchul Ju. 2019. "Multi-Scale and Multi-Dimensional Thermal Modeling of Lithium-Ion Batteries" Energies 12, no. 3: 374. https://doi.org/10.3390/en12030374
APA StyleGwak, G., & Ju, H. (2019). Multi-Scale and Multi-Dimensional Thermal Modeling of Lithium-Ion Batteries. Energies, 12(3), 374. https://doi.org/10.3390/en12030374
