A Fast Online State of Health Estimation Method for Lithium-Ion Batteries Based on Incremental Capacity Analysis
Abstract
1. Introduction
2. Experiment Setup
3. SoH Estimation Method
3.1. Relationship between the dQ/dV and SoH Experiment
3.2. SoH Estimation Based on a Black Box Model
4. Influence Analysis of Different SoC and dV on SoH
4.1. Influence Analysis of Different SoC Ranges
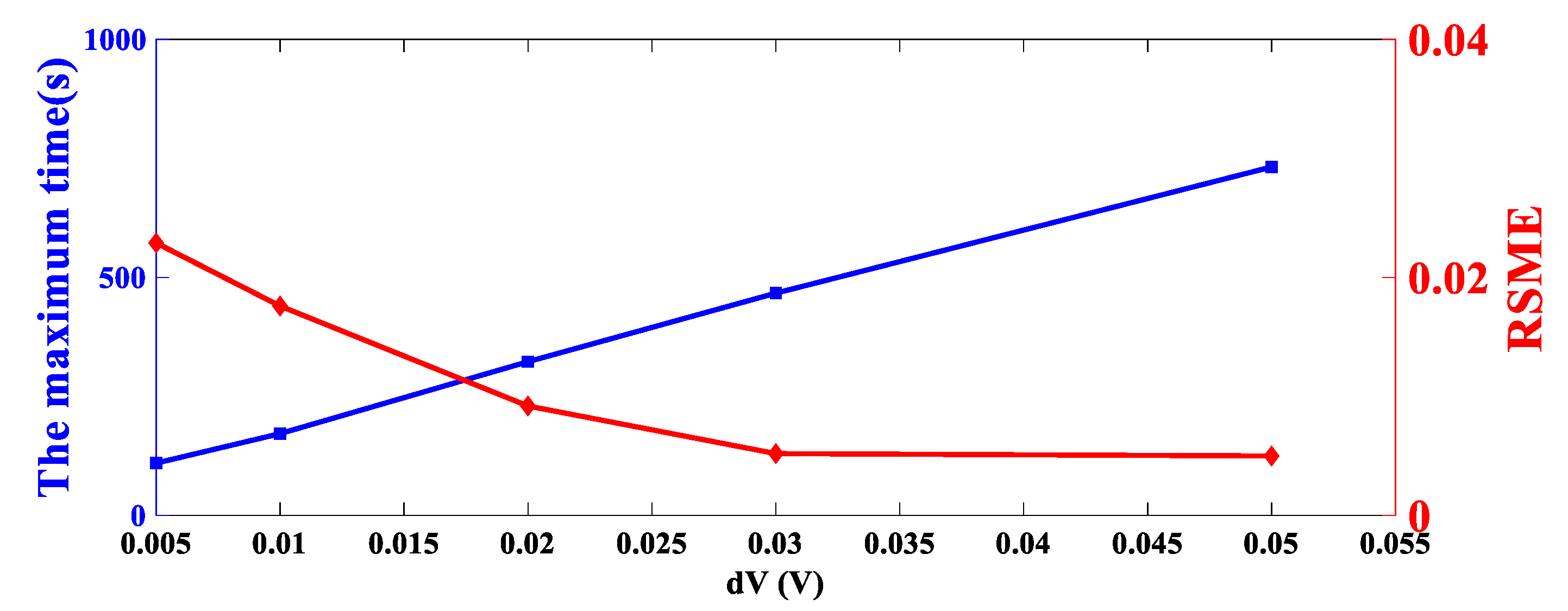
4.2. Reasonable Selection of dV
5. Results and Discussion
5.1. SoH Estimation Results
5.2. Influence of SoC Estimation Error on SoH Estimation Results
6. Future Discussions
- (1)
- Filtering and denoising. The selection of dV is directly related to the estimated efficiency of the SoH estimation. A smaller dV means a shorter SoH estimation time. However, with the decrease of dV, the noise is relatively amplified. If the influence of noise can be reduced or eliminated, then a smaller dV can be selected, and the estimated efficiency of this method can be further improved. A Kalman filter, or other method, will be considered in future works to eliminate noise to the maximum extent.
- (2)
- Further research on the SoH estimation of HEVs. In actual operation, due to fuel economy considerations, the energy management strategy of HEVs tends to maintain SoC at 0.5 [24,25,26]. This method has the best estimation effect when the SoC = 0.5 or so, which means only 2–3 fitting curves are needed for HEVs to obtain a very satisfactory SoH estimation effect. Therefore, the next research direction is to apply the SoH estimation method to HEVs.
7. Conclusions
Author Contributions
Funding
Conflicts of Interest
References
- Gholizadeh, M.; Salmasi, F.R. Estimation of State of Charge, Unknown Nonlinearities, and State of Health of a Lithium-Ion Battery Based on a Comprehensive Unobservable. Model. IEEE Trans. Ind. Electron. 2014, 61, 1335–1344. [Google Scholar] [CrossRef]
- Zhu, R.; Duan, B.; Zhang, C.; Gong, S. Accurate lithium-ion battery modeling with inverse repeat binary sequence for electric vehicle applications. Appl. Energy 2019, 251, 113339. [Google Scholar] [CrossRef]
- Zhou, Z.; Kang, Y.; Shang, Y.; Cui, N.; Zhang, C.; Duan, B.; Naxin, C. Peak power prediction for series-connected LiNCM battery pack based on representative cells. J. Clean. Prod. 2019, 230, 1061–1073. [Google Scholar] [CrossRef]
- Dubarry, M.; Truchot, C.; Liaw, B.Y. Synthesize battery degradation modes via a diagnostic and prognostic model. J. Power Sources 2012, 219, 204–216. [Google Scholar] [CrossRef]
- Kang, Y.; Duan, B.; Zhou, Z.; Shang, Y.; Zhang, C. A multi-fault diagnostic method based on an interleaved voltage measurement topology for series connected battery packs. J. Power Sources 2019, 417, 132–144. [Google Scholar] [CrossRef]
- Jiang, Y.; Jiang, J.; Zhang, C.; Zhang, W.; Gao, Y.; Guo, Q. Recognition of battery aging variations for LiFePO4 batteries in 2nd use applications combining incremental capacity analysis and statistical approaches. J. Power Sources 2017, 360, 180–188. [Google Scholar] [CrossRef]
- Wei, Z.; Zhao, J.; Ji, D.; Tseng, K.J. A multi-timescale estimator for battery state of charge and capacity dual estimation based on an online identified model. Appl. Energy 2017, 204, 1264–1274. [Google Scholar] [CrossRef]
- Von Srbik, M.-T.; Marinescu, M.; Martinez-Botas, R.F.; Offer, G.J. A physically meaningful equivalent circuit network model of a lithium-ion battery accounting for local electrochemical and thermal behaviour, variable double layer capacitance and degradation. J. Power Sources 2016, 325, 171–184. [Google Scholar] [CrossRef]
- Zou, C.; Manzie, C.; Nešić, D. A Framework for Simplification of PDE-Based Lithium-Ion Battery Models. IEEE Trans. Control Syst. Technol. 2016, 24, 1594–1609. [Google Scholar] [CrossRef]
- Yang, D.; Wang, Y.; Pan, R.; Chen, R.; Chen, Z. A Neural Network Based State-of-Health Estimation of Lithium-ion Battery in Electric Vehicles. Energy Procedia 2017, 105, 2059–2064. [Google Scholar] [CrossRef]
- Weng, C.; Cui, Y.; Sun, J.; Peng, H. On-board state of health monitoring of lithium-ion batteries using incremental capacity analysis with support vector regression. J. Power Sources 2013, 235, 36–44. [Google Scholar] [CrossRef]
- Feng, X.; Li, J.; Ouyang, M.; Lu, L.; Li, J.; He, X. Using probability density function to evaluate the state of health of lithium-ion batteries. J. Power Sources 2013, 232, 209–218. [Google Scholar] [CrossRef]
- Yazami, R.; Touzain, P. A reversible graphite-lithium negative electrode for electrochemical generators. J. Power Sources 1983, 9, 365–371. [Google Scholar] [CrossRef]
- Yazami, R.; Reynier, Y. Thermodynamics and crystal structure anomalies in lithium-intercalated graphite. J. Power Sources 2006, 153, 312–318. [Google Scholar] [CrossRef]
- Weng, C.; Feng, X.; Sun, J.; Peng, H. State-of-health monitoring of lithium-ion battery modules and packs via incremental capacity peak tracking. Appl. Energy 2016, 180, 360–368. [Google Scholar] [CrossRef]
- Li, Y.; Abdel-Monema, M.; Gopalakrishnan, R.; Berecibar, M.; Nanini-Maury, E.; Omar, N.; van den Bossche, P.; Van Mierlo, J. A quick on-line state of health estimation method for Li-ion battery with incremental capacity curves processed by Gaussian filter (vol 373, pg 40, 2018). J. Power Sources 2018, 393, 230. [Google Scholar] [CrossRef]
- Weng, C.; Sun, J.; Peng, H. A unified open-circuit-voltage model of lithium-ion batteries for state-of-charge estimation and state-of-health monitoring. J. Power Sources 2014, 258, 228–237. [Google Scholar] [CrossRef]
- Tang, X.; Zou, C.; Yao, K.; Chen, G.; Liu, B.; He, Z.; Gao, F. A fast estimation algorithm for lithium-ion battery state of health. J. Power Sources 2018, 396, 453–458. [Google Scholar] [CrossRef]
- Plattard, T.; Barnet, N.; Assaud, L.; Franger, S.; Duffault, J. Combining a Fatigue Model and an Incremental Capacity Analysis on a Commercial NMC/Graphite Cell under Constant Current Cycling with and without Calendar Aging. Batteries 2019, 5, 36. [Google Scholar] [CrossRef]
- Bloom, I.; Jansen, A.N.; Abraham, D.P.; Knuth, J.; Jones, S.A.; Battaglia, V.S.; Henriksen, G.L. Differential voltage analyses of high-power, lithium-ion cells 1. Technique and application. J. Power Sources 2005, 139, 295–303. [Google Scholar] [CrossRef]
- Cui, X.; He, Z.; Li, E.; Cheng, A.; Luo, M.; Guo, Y. State-of-charge estimation of power lithium-ion batteries based on an embedded micro control unit using a square root cubature Kalman filter at various ambient temperatures. Int. J. Energy Res. 2019, 43, 3561–3577. [Google Scholar] [CrossRef]
- Zhang, H.; Na, W.; Kim, J. State-of-Charge Estimation of the Lithium-Ion Battery Using Neural Network Based on an Improved Thevenin Circuit Model. In Proceedings of the IEEE Transportation Electrification Conference and Expo (ITEC), Long Beach, CA, USA, 13–15 June 2018; pp. 342–346. [Google Scholar]
- Gu, P.; Zhou, Z.; Qu, S.; Zhang, C.; Duan, B. Influence Analysis and Optimization of Sampling Frequency on the Accuracy of Model and State-of-Charge Estimation for LiNCM Battery. Energies 2019, 12, 1205. [Google Scholar] [CrossRef]
- Wu, J.; Ruan, J.; Zhang, N.; Walker, P.D. An Optimized Real-Time Energy Management Strategy for the Power-Split Hybrid Electric Vehicles. IEEE Trans. Control Syst. Technol. 2019, 27, 1194–1202. [Google Scholar] [CrossRef]
- Xu, Q.; Mao, Y.; Zhao, M.; Cui, S. A Hybrid Electric Vehicle Dynamic Optimization Energy Management Strategy Based on a Compound-Structured Permanent-Magnet Motor. Energies 2018, 11, 22129. [Google Scholar] [CrossRef]
- Wang, Y.; Wu, Z.; Chen, Y.; Xia, A.; Guo, C.; Tang, Z. Research on energy optimization control strategy of the hybrid electric vehicle based on Pontryagin's minimum principle. Comput. Electr. Eng. 2018, 72, 203–213. [Google Scholar] [CrossRef]











| Parameter | LiFePO4 Battery |
|---|---|
| Rated capacity | 1500 mAh |
| Charging cut-off voltage | 3.65 V |
| Discharging cut-off voltage | 2.0 V |
| SoC | R2 |
|---|---|
| 0.3 | 0.9913 |
| 0.35 | 0.9875 |
| 0.4 | 0.9787 |
| 0.45 | 0.9916 |
| 0.5 | 0.9931 |
| 0.6 | 0.9519 |
| 0.7 | 0.9602 |
| 0.73 | 0.9553 |
| 0.75 | 0.9658 |
| 0.77 | 0.9592 |
| 0.8 | 0.9718 |
© 2019 by the authors. Licensee MDPI, Basel, Switzerland. This article is an open access article distributed under the terms and conditions of the Creative Commons Attribution (CC BY) license (http://creativecommons.org/licenses/by/4.0/).
Share and Cite
Qu, S.; Kang, Y.; Gu, P.; Zhang, C.; Duan, B. A Fast Online State of Health Estimation Method for Lithium-Ion Batteries Based on Incremental Capacity Analysis. Energies 2019, 12, 3333. https://doi.org/10.3390/en12173333
Qu S, Kang Y, Gu P, Zhang C, Duan B. A Fast Online State of Health Estimation Method for Lithium-Ion Batteries Based on Incremental Capacity Analysis. Energies. 2019; 12(17):3333. https://doi.org/10.3390/en12173333
Chicago/Turabian StyleQu, Shaofei, Yongzhe Kang, Pingwei Gu, Chenghui Zhang, and Bin Duan. 2019. "A Fast Online State of Health Estimation Method for Lithium-Ion Batteries Based on Incremental Capacity Analysis" Energies 12, no. 17: 3333. https://doi.org/10.3390/en12173333
APA StyleQu, S., Kang, Y., Gu, P., Zhang, C., & Duan, B. (2019). A Fast Online State of Health Estimation Method for Lithium-Ion Batteries Based on Incremental Capacity Analysis. Energies, 12(17), 3333. https://doi.org/10.3390/en12173333

