Advanced Thermodynamic Analysis Applied to an Integrated Solar Combined Cycle System
Abstract
1. Introduction
2. System Description and Assumptions
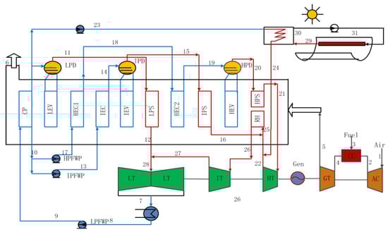
2.1. System Description
2.2. Assumptions
- ■
- Air and exhaust of gas turbine were considered as ideal gases.
- ■
- The combustion was ideal and heat losses had been taken into account in the collectors and exchangers. Besides, all other components had no energy losses.
- ■
- The lower heating value (LHV) of fossil fuel (natural gas) was 49,015 kJ/kg.
- ■
- The ambient temperature and pressure are 20 °C and 1 bar.
3. Thermodynamic Analysis
3.1. Energy Analysis
3.2. Conventional Exergy Analysis
3.3. Advanced Exergy Analysis
4. Results and Discussion
4.1. Model Validation
4.2. Results of Energy and Conventional Exergy Analysis
4.3. Results of Advanced Exergy Analysis
5. Conclusions
- ■
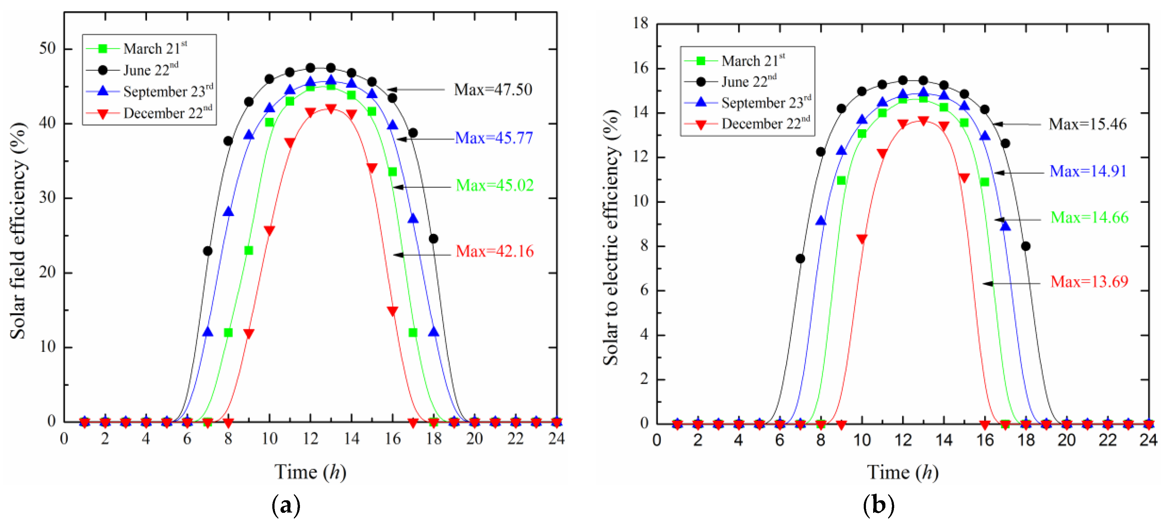
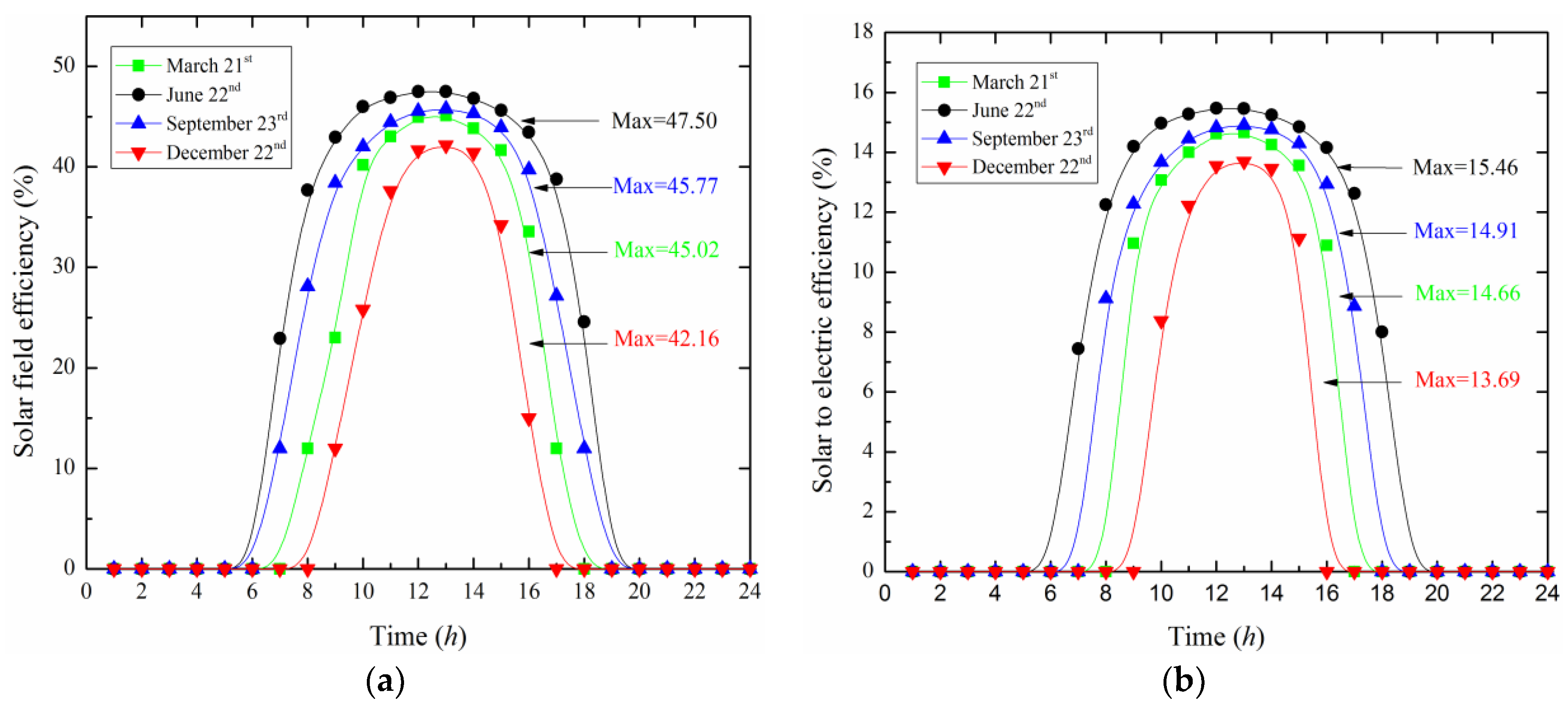
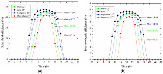
- As the solar irradiation intensity rises, the solar field efficiency reached to 42.16% in winter and 47.5% in summer at noon. The solar-to-electric efficiency got to 13.69% in winter and 15.46% in summer. For overall plant, the exergy efficiency reached from 50.21% to 55.35% in summer and from 50.21% to 52.41% in winter. In contrast, the exergy destruction rate dropped from 49.79% to 44.65% in summer and decreased from 49.79% to 47.59% in winter.
- ■
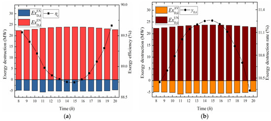
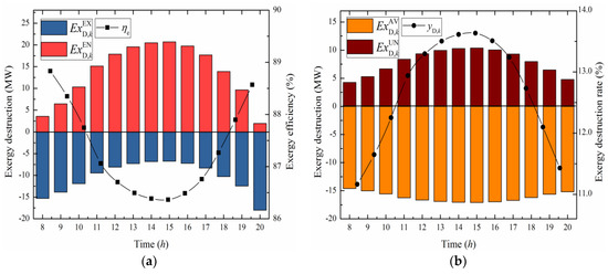
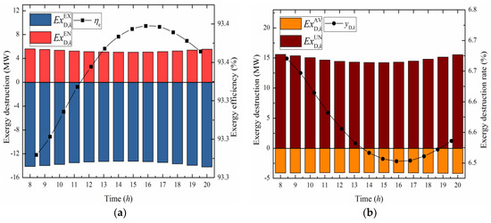
- For Brayton cycle components, with the increased of solar energy input to the ISCC system, the exergy destruction of Brayton cycle components decreased. The exergy destruction of compressor dropped from 19.71 MW to 18.29 MW at 8:00~15:00. Meanwhile, the exergy destruction of CC and gas turbine decreased from 237.82 MW to 214.99 MW and from 31.56 MW to 29.00 MW, respectively. Furthermore, the compressor, CC and gas turbine had the largest exergy efficiency values of 93.45%, 77.75% and 94.61% at 16:00 p.m. However, they showed lowest exergy destruction rate of 6.55%, 22.25% and 5.39%, respectively
- ■
- For Rankine cycle components, the exergy destruction increased with the solar irradiation intensity, the exergy destruction of HRSG raised from 27.14 MW to 29.19 MW at 8:00~15:00. Meanwhile, the exergy destruction of steam turbines enlarged from 18.85 MW to 27.45 MW and the exergy destruction of solar field had a large extended from 14.55 MW to 58.03 MW. Additionally, the HRSG and the steam turbines had largest exergy destruction rate of 11.26% and 13.63% at 15:00 p.m. However, they showed lowest exergy efficiency values of 88.74% and 86.37%, respectively. The solar field had a largest exergy efficiency value of 46.06% at 15:00 p.m.; at the same time, it showed a lowest exergy destruction rate of 53.88%.
Author Contributions
Funding
Conflicts of Interest
Nomenclature
| Abbreviations | |
| AC | Air Compressor |
| CC | Combustion Chamber |
| CCPP | Combined Cycle Power Plant |
| CPH | Condensate Preheater |
| DNI | Direct Normal Irradiance |
| Gen | Generator |
| GT | Gas Turbine |
| HEC | High Pressure Economizer |
| HEV | High Pressure Evaporator |
| HP | High Pressure |
| HPFWP | High Pressure Feed Water Pump |
| HRSG | Heat Recovery Steam Generator |
| HSH | High Pressure Superheater |
| HT | High Pressure Steam Turbine |
| HTF | Heat Transfer Fluid |
| IEC | Intermediate Pressure Economizer |
| IEV | Intermediate Pressure Evaporator |
| IP | Intermediate Pressure |
| IPFWP | Intermediate Pressure Feed Water Pump |
| ISCC | Integrated Solar Combined Cycle |
| ISH | Intermediate Pressure Superheater |
| IT | Intermediate Pressure Steam Turbine |
| LEV | Low Pressure Evaporator |
| LHV | Lower Heating Value |
| LP | Low Pressure |
| LPFWP | Low Pressure Feed Water Pump |
| LSH | Low Pressure Superheater |
| LT | Low Pressure Steam Turbine |
| PTC | Parabolic Trough Collector |
| REH | Reheater |
| Exergy of a stream | |
| Physical exergy | |
| Chemical exergy | |
| Exergy received by the collector | |
| Exergy absorbed by the absorber | |
| Exergy destruction of kth component | |
| Fuel exergy of kth component | |
| Product exergy of kth component | |
| Exergy loss in the system | |
| Endogenous exergy destruction of kth component | |
| Exogenous exergy destruction of kth component | |
| Energy received by the collector | |
| Energy absorbed by the absorber | |
| Incidence angle modifier | |
| Ambient temperature | |
| Solar surface temperature | |
| Collectors surface temperature | |
| Greek Symbols | |
| Intercept factor | |
| Mirror reflectivity | |
| Glass transmissivity | |
| Solar absorptivity | |
| Clean factor | |
| Mirror utilization rate | |
| Exergy destruction rate | |
References
- Zhong, W.; Chen, X.; Zhou, Y.; Wu, Y.; López, C. Optimization of a solar aided coal-fired combined heat and power plant based on changeable integrate mode under different solar irradiance. Sol. Energy 2017, 150, 437–446. [Google Scholar] [CrossRef]
- International Energy Agency (IEA). I.E.A., Concentrating Solar Power Roadmap; IEA: Paris, France, 2010. [Google Scholar]
- Behar, O. A novel hybrid solar preheating gas turbine. Energy Convers. Manag. 2018, 158, 120–132. [Google Scholar] [CrossRef]
- Xu, C.; Wang, Z.; Li, X.; Sun, F. Energy and exergy analysis of solar power tower plants. Appl. Therm. Eng. 2011, 31, 3904–3913. [Google Scholar] [CrossRef]
- Kabir, E.; Kumar, P.; Kumar, S.; Adelodun, A.A.; Kim, K.-H. Solar energy: Potential and future prospects. Renew. Sustain. Energy Rev. 2018, 82, 894–900. [Google Scholar] [CrossRef]
- Zhai, R.; Peng, P.; Yang, Y.; Zhao, M. Optimization study of integration strategies in solar aided coal-fired power generation system. Renew. Energy 2014, 68, 80–86. [Google Scholar] [CrossRef]
- Zhu, Y.; Zhai, R.; Zhao, M.; Yang, Y.; Yan, Q. Evaluation methods of solar contribution in solar aided coal-fired power generation system. Energy Convers. Manag. 2015, 102, 209–216. [Google Scholar] [CrossRef]
- Mabrouk, M.T.; Kheiri, A.; Feidt, M. A Systematic procedure to optimize Integrated Solar Combined Cycle power plants (ISCCs). Appl. Therm. Eng. 2018, 136, 97–107. [Google Scholar] [CrossRef]
- Baghernejad, A.; Yaghoubi, M. Exergy analysis of an integrated solar combined cycle system. Renew. Energy 2010, 35, 2157–2164. [Google Scholar] [CrossRef]
- Zhu, Y.; Zhai, R.; Peng, H.; Yang, Y. Exergy destruction analysis of solar tower aided coal-fired power generation system using exergy and advanced exergetic methods. Appl. Therm. Eng. 2016, 108, 339–346. [Google Scholar] [CrossRef]
- Wang, Y.; Xu, J.; Chen, Z.; Cao, H.; Zhang, B. Technical and economical optimization for a typical solar hybrid coal-fired power plant in China. Appl. Therm. Eng. 2017, 115, 549–557. [Google Scholar] [CrossRef]
- Wang, S.; Fu, Z.; Sajid, S.; Zhang, T.; Zhang, G. Thermodynamic and Economic Analysis of an Integrated Solar Combined Cycle System. Entropy 2018, 20, 313. [Google Scholar] [CrossRef]
- Alqahtani, B.J.; Patiño-Echeverri, D. Integrated Solar Combined Cycle Power Plants: Paving the way for thermal solar. Appl. Energy 2016, 169, 927–936. [Google Scholar] [CrossRef]
- Saghafifar, M.; Gadalla, M. Thermo-economic analysis of conventional combined cycle hybridization: United Arab Emirates case study. Energy Convers. Manag. 2016, 111, 358–374. [Google Scholar] [CrossRef]
- Aldali, Y.; Morad, K. Numerial simulation of the integrated solar/North Benghazi combined power plant. Appl. Therm. Eng. 2016, 108, 785–792. [Google Scholar] [CrossRef]
- Bellos, E.; Tzivanidis, C.; Antonopoulos, K.A. Parametric analysis and optimization of a solar assisted gas turbine. Energy Convers. Manag. 2017, 139, 151–165. [Google Scholar] [CrossRef]
- Najjar, Y.S.H.; Abubaker, A.M. Thermoeconomic analysis and optimization of a novel inlet air cooling system with gas turbine engines using cascaded waste-heat recovery. Energy 2017, 128, 421–434. [Google Scholar] [CrossRef]
- Popov, D. Innovative solar augmentation of gas turbine combined cycle plants. Appl. Therm. Eng. 2014, 64, 40–50. [Google Scholar] [CrossRef]
- Saghafifar, M.; Gadalla, M. Innovative inlet air cooling technology for gas turbine power plants using integrated solid desiccant and Maisotsenko cooler. Energy 2015, 87, 663–677. [Google Scholar] [CrossRef]
- Kelly, B.; Herrmann, U.; Hale, M.J. Optimization studies for integrated solar combined cycle systems. In Proceedings of the Solar Forum 2010 Solar Energy: The Power to Choose, Washington, DC, USA, 21–25 April 2010. [Google Scholar]
- Li, Y.; Yang, Y. Thermodynamic analysis of a novel integrated solar combined cycle. Appl. Energy 2014, 122, 133–142. [Google Scholar] [CrossRef]
- Montes, M.J.; Rovira, A.; Muñoz, M.; Martínez-Val, J.M. Performance analysis of an Integrated Solar Combined Cycle using Direct Steam Generation in parabolic trough collectors. Appl. Energy 2011, 88, 3228–3238. [Google Scholar] [CrossRef]
- Liu, Q.; Bai, Z.; Wang, X.; Lei, J.; Jin, H. Investigation of thermodynamic performances for two solar-biomass hybrid combined cycle power generation systems. Energy Convers. Manag. 2016, 122, 252–262. [Google Scholar] [CrossRef]
- Zhu, G.; Neises, T.; Turchi, C.; Bedilion, R. Thermodynamic evaluation of solar integration into a natural gas combined cycle power plant. Renew. Energy 2015, 74, 815–824. [Google Scholar] [CrossRef]
- Mokheimer, E.M.A.; Dabwan, Y.N.; Habib, M.A.; Said, S.A.M.; Al-Sulaiman, F.A. Development and assessment of integrating parabolic trough collectors with steam generation side of gas turbine cogeneration systems in Saudi Arabia. Appl. Energy 2015, 141, 131–142. [Google Scholar] [CrossRef]
- Rovira, A.; Montes, M.J.; Varela, F.; Gil, M. Comparison of Heat Transfer Fluid and Direct Steam Generation technologies for Integrated Solar Combined Cycles. Appl. Therm. Eng. 2013, 52, 264–274. [Google Scholar] [CrossRef]
- Mohammadi Khoshkar Vandani, A.; Joda, F.; Bozorgmehry Boozarjomehry, R. Exergic, economic and environmental impacts of natural gas and diesel in operation of combined cycle power plants. Energy Convers. Manag. 2016, 109, 103–112. [Google Scholar] [CrossRef]
- Al-Sulaiman, F.A. Exergy analysis of parabolic trough solar collectors integrated with combined steam and organic Rankine cycles. Energy Convers. Manag. 2014, 77, 441–449. [Google Scholar] [CrossRef]
- Adibhatla, S.; Kaushik, S.C. Energy, exergy and economic (3E) analysis of integrated solar direct steam generation combined cycle power plant. Sustain. Energy Technol. Assess. 2017, 20, 88–97. [Google Scholar] [CrossRef]
- Baghernejad, A.; Yaghoubi, M. Exergoeconomic analysis and optimization of an Integrated Solar Combined Cycle System (ISCCS) using genetic algorithm. Energy Convers. Manag. 2011, 52, 2193–2203. [Google Scholar] [CrossRef]
- Zare, V.; Hasanzadeh, M. Energy and exergy analysis of a closed Brayton cycle-based combined cycle for solar power tower plants. Energy Convers. Manag. 2016, 128, 227–237. [Google Scholar] [CrossRef]
- Sorgulu, F.; Dincer, I. Thermodynamic analyses of a solar-based combined cycle integrated with electrolyzer for hydrogen production. Int. J. Hydrogen Energy 2018, 43, 1047–1059. [Google Scholar] [CrossRef]
- Boyaghchi, F.A.; Molaie, H. Sensitivity analysis of exergy destruction in a real combined cycle power plant based on advanced exergy method. Energy Convers. Manag. 2015, 99, 374–386. [Google Scholar] [CrossRef]
- Tsatsaronis, G. Strengths and limitations of exergy analysis. In Thermodynamic Optimization of Complex Energy Systems; Springer: Berlin, Germany, 1999; pp. 93–100. [Google Scholar]
- Wang, L.; Yang, Y.; Morosuk, T.; Tsatsaronis, G. Advanced Thermodynamic Analysis and Evaluation of a Supercritical Power Plant. Energies 2012, 5, 1850–1863. [Google Scholar] [CrossRef]
- Açıkkalp, E.; Aras, H.; Hepbasli, A. Advanced exergy analysis of an electricity-generating facility using natural gas. Energy Convers. Manag. 2014, 82, 146–153. [Google Scholar] [CrossRef]
- Petrakopoulou, F.; Tsatsaronis, G.; Morosuk, T.; Carassai, A. Conventional and advanced exergetic analyses applied to a combined cycle power plant. Energy 2012, 41, 146–152. [Google Scholar] [CrossRef]
- Montes, M.J.; Abánades, A.; Martínez-Val, J.M.; Valdés, M. Solar multiple optimization for a solar-only thermal power plant, using oil as heat transfer fluid in the parabolic trough collectors. Sol. Energy 2009, 83, 2165–2176. [Google Scholar] [CrossRef]
- Bellos, E.; Tzivanidis, C.; Belessiotis, V. Daily performance of parabolic trough solar collectors. Sol. Energy 2017, 158, 663–678. [Google Scholar] [CrossRef]
- Petela, R. Exergy of undiluted thermal radiation. Sol. Energy 2003, 74, 469–488. [Google Scholar] [CrossRef]
- Akbarzadeh, S.; Valipour, M.S. Heat transfer enhancement in parabolic trough collectors: A comprehensive review. Renew. Sustain. Energy Rev. 2018, 92, 198–218. [Google Scholar] [CrossRef]
- Boyaghchi, F.A.; Molaie, H. Advanced exergy and environmental analyses and multi objective optimization of a real combined cycle power plant with supplementary firing using evolutionary algorithm. Energy 2015, 93, 2267–2279. [Google Scholar] [CrossRef]
- Zhai, R.; Li, C.; Qi, J.; Yang, Y. Thermodynamic analysis of CO2 capture by calcium looping process driven by coal and concentrated solar power. Energy Convers. Manag. 2016, 117, 251–263. [Google Scholar] [CrossRef]
- Bellos, E.; Tzivanidis, C. A detailed exergetic analysis of parabolic trough collectors. Energy Convers. Manag. 2017, 149, 275–292. [Google Scholar] [CrossRef]









| Component, k | Real Parameters | Theoretical Parameters [42] | Unavoidable Parameters |
|---|---|---|---|
| Compressor | |||
| CC | |||
| Gas turbine | |||
| Steam Turbines | |||
| Pumps | |||
| Exchangers | |||
| PTC |
| Parameters | Siemens | Simulation | Units |
|---|---|---|---|
| Capability | 390 | 390 | MW |
| High-pressure steam Reheat steam Low-pressure steam | 12.5/566/72.6 2.99/551/85.6 0.45/239/12.3 | 12.6/567/73.8 2.91/551/86.7 0.46/239.9/12.9 | MPa/°C/kgs−1 MPa/°C/kgs−1 MPa/°C/kgs−1 |
| Gas turbine exhaust | 590/643 | 590.6/646 | °C/kgs−1 |
| Exhaust gas temperature | 90 | 90.9 | °C |
| Ambient temperature | 20 | 20 | °C |
| Parameters | Values | Units |
|---|---|---|
| Width | 5.76 [7] | m |
| Length | 150 | m |
| Number of collectors | 280 | - |
| Temperature of feed water | 149.5 | °C |
| Temperature of superheated steam | 358.5 | °C |
| Intercept factor | 0.92 [21,29,38] | - |
| Mirror reflectivity | 0.92 [21,29,38] | - |
| Glass transmissivity | 0.945 [21,29,38] | - |
| Solar absorptivity | 0.9 4 [21,29,38] | - |
| Clean factor | 0.95 [43] | - |
| Mirror utilization rate | 0.91 | - |
| Incidence angle modifier K | 1 [44] | |
| Efficiency of PTCs | 0.65 | |
| Inlet/outlet temperature of HTF | 315.9/395.0 | °C |
| Inlet/outlet pressure of HTF | 5.0/3.5 | MPa |
| Heat loss of pipeline | 20 | W/m2 |
© 2018 by the authors. Licensee MDPI, Basel, Switzerland. This article is an open access article distributed under the terms and conditions of the Creative Commons Attribution (CC BY) license (http://creativecommons.org/licenses/by/4.0/).
Share and Cite
Wang, S.; Fu, Z.; Zhang, G.; Zhang, T. Advanced Thermodynamic Analysis Applied to an Integrated Solar Combined Cycle System. Energies 2018, 11, 1574. https://doi.org/10.3390/en11061574
Wang S, Fu Z, Zhang G, Zhang T. Advanced Thermodynamic Analysis Applied to an Integrated Solar Combined Cycle System. Energies. 2018; 11(6):1574. https://doi.org/10.3390/en11061574
Chicago/Turabian StyleWang, Shucheng, Zhongguang Fu, Gaoqiang Zhang, and Tianqing Zhang. 2018. "Advanced Thermodynamic Analysis Applied to an Integrated Solar Combined Cycle System" Energies 11, no. 6: 1574. https://doi.org/10.3390/en11061574
APA StyleWang, S., Fu, Z., Zhang, G., & Zhang, T. (2018). Advanced Thermodynamic Analysis Applied to an Integrated Solar Combined Cycle System. Energies, 11(6), 1574. https://doi.org/10.3390/en11061574

